●“天体音乐”的发现
应该说,圆形的对称程度要高于椭圆形的对称程度。不过,话说回来,宇宙的完美并非是它的完全对称性,而是对称的少许偏离。后来,人们把这样的美称为“奇异之美”。
在如何看待观测误差(2分)和计算上的误差(8分),后来,开普勒也是深有感触的。他在自己的书中写道:“观测显示,计算差了8分……假如我可以忽视这经度上的8分,我本来足以修正我……所发现的假说。但是,既然它不容忽视,单单这8分便使我走上了彻底改革天文学的道路,这正是本书大部分内容的主题。”
初战告捷,这使开普勒信心大增。他认为,只有在找到各个行星运动的统一关系之后,才能够构造出一个太阳系的整体模型,从而揭示出宇宙的和谐性。正是怀着这种信念,开普勒长年累月地考察了许多因素的各种可能的组合。例如,从第谷的观测数据可以列表:
T与D的关系

其中:T是行星的绕日周期,D是行星距太阳的(平均)距离。天文单位是设定地球距太阳的平均距离为1。
试一试:将T和D的数据平方之,则有:
T2与D2的关系

二者(T2与D2)好像根本就是无关的。如果是在写作业,同学们花的时间不少了那会怎么样呢? ——干脆放弃!但开普勒岂能轻易放弃呢?
再试一试,看看D3会怎样?
D3(与T2)的关系
![]()
幸运的是,D3与T2竟然相等!这样,他终于发现,行星公转周期的平方同它们到太阳的平均距离的立方成正比。
这里的单位分别是年和天文单位,如果它们的单位改变了,D3与T2就不相等了。可将D3/T2就设为K。即:
![]()
这样,第三定律可表达为:任何两颗围绕太阳运行的行星,其周期的平方与到太阳的平均距离的立方成正比。
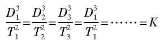
我们不妨再做一个小小的“游戏”,即:
![]()
看看这个指数,它们恰好是2/3。这不就是一个五度音程对应的比值嘛!正是一个和谐的比值。
五度音程是在八度音程之外最和谐的音程。看到这样的结果,开普勒一定是心花怒放。从古希腊毕达哥拉斯和柏拉图就一直向往的宇宙和谐的思想,这样的和谐规律终于被开普勒找到了!为此,他为第三定律起了名称——和谐定律。这个定律也常常被称为“半立方定律”,也叫周期定律。在1619年出版的书,书名也叫《世界的和谐》,在书中,开普勒公布了这个重要的发现。
宇宙的“音乐”是美妙的,但它的构成被开普勒找到了。后来,英国作曲家霍尔斯特(1874~1934)写了《行星》组曲,他惟妙惟肖地描绘了众行星(7个行星)的神态。如果人们有机会遨游在太阳系中,每经过一个行星,也许会体会到那和谐但又不同的音乐。我们如有机会聆听霍尔斯特的作品时,是否想到开普勒的研究,是否会体会到宇宙中那种和谐的气氛呢?
1630年11月17日,开普勒在贫困和病中去世。他被安葬在公墓中,墓碑上刻着他生前给自己留下的碑文:
我曾观测苍穹,今又度量大地,灵魂遨游太空,身躯化为尘泥。
开普勒关于行星运动定律的研究,为牛顿创立他的天体力学理论奠定了基础。