2.3.2 参数论证方法
正确选择地震采集参数的过程,实际上是对客观的地震地质条件与地震勘探机理的一个不断深入的认识过程。地震数据采集参数主要分为激发参数、排列参数和接收参数。激发参数分析包括激发井深的确定;排列参数包括接收排列最小、最大炮检距,面元大小,接收道距,偏移孔径等;接收参数包括接收组合距计算和组合特性分析。这些参数是地震数据采集的关键,选择得好与坏,将直接决定能否得到好的原始单炮地震资料。因此,采集参数分析是一项十分重要的工作,必须科学地、系统地进行论证分析,以便得到最佳的采集参数。
1.激发参数
激发参数主要是确定最佳的激发井深,以保证激发能量可最大限度地向地下传播,且有一个宽频带的激发子波。要得到最佳的激发参数,首先要进行表层结构的调查。表层结构一般可通过小折射、微测井方法来调查清楚。表层调查的目的对激发分析来说,是要了解地下潜水面,因为在潜水面下(胶泥层中)最有利于地震波的激发。潜水面在工区中常常是变化的,激发深度也应该随着变化,才能够得到最好的激发效果;其次,需要进行虚反射分析,即激发的子波一部分直接向地下传播,另一部分向上(潜水面)传播后再反射向地下传播。把这两部分能量叠加在一起,从而改变了原始激发子波的能量和频带,井深选择合适,子波的能量能够加强,频带影响小;反之,子波的能量减弱,频带影响大。激发参数分析即要查明潜水面,并在潜水面下适当的深度激发,以避免虚反射的影响,保证最佳激发效果。
2.排列参数
排列参数论证包括满足地质目的层位勘探的最大炮检距Xmax和最小炮检距Xmin,满足地质体的横向分辨率,不出现空间假频采样的道间距、炮点距和面元大小,论证满足地质解释足够信噪比的覆盖次数,从而确定最佳的面元大小、道间距、炮点距、覆盖次数、方位角特性以及最大和最小炮检距的范围。
1)面元与道距
合理选择面元既会减少野外采集费用又可以保证接收到的地震波在三维空间的频率,限制假频干扰,提高成像质量,提高地震资料横向分辨率,控制小的地质异常。面元大小取决于:不能出现空间假频,勘探地质目标的大小。
地下共中心点(Common Midpoint,CMP)网格密度必须满足空间采样定律要求,水平界面反射面元大小由式(2—22)、式(2—23)确定。

式中,bx、by为CMP点距;
rms为均方根速度;fmax为反射波最高频率。当bx=by时,是正方形面元;当bx≠by时,是矩形面元。
为了保证陡倾构造的正确成像,在计算面元的尺寸时,还应该把地层倾角因素的影响考虑进去,如式(2—24)、式(2—25)所示。

式中,bx、by为CMP点距;θx、θy为地层视倾角;
rms为均方根速度;fmax为反射波最高频率。
另外,两个绕射点的距离若小于最高频率的一个空间波长,它们就不能分辨,根据经验法则,每个优势频率的波长至少应保证2个采样点,这样才能得到较好的横向分辨率。这种情况下,面元边长可以表示为:

式中,bx为CMP点距;
int为层速度;fp为反射波优势频率。
而道距大小一般选取CMP面元大小的2倍,即:

2)最大炮检距
在设计最大炮检距时,要视工区的实际情况和具体要求,分别考虑以下内容:应近似等于最深反射层的深度;主要目的层应避开直达波的干涉;应小于深层临界折射炮检距;应使所接收到的反射波来自反射系数稳定段;避免来自目的层的反射波因动校正拉伸而被室内处理切除掉,满足速度精度的要求等。
(1)反射系数稳定与最大炮检距
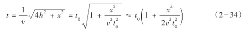
对纵波勘探来说,要求地震波靠近法线入射。为此,从稳定反射系数考虑,应避免因入射角过大而引起的反射畸变和寄生折射,最大炮检距应满足式(2—29):
![]()
式中,α是反射波对地面的入射角(一般为20°);φ是地层倾角;正负号分别代表上、下倾放炮。
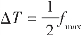
(2)动校正拉伸与最大炮检距
动校正拉伸过大会使地震波频率畸变,同时也会降低地震剖面的有效覆盖次数,因此,设计最大炮检距要充分考虑它的影响,以防止那些不能被用于资料处理的记录道被采集进来。
用动校正拉伸百分比来衡量动校正引起的波形畸变,定义如下:
![]()
根据动校正近似公式:

则拉伸百分比为:

从而可求出最大炮检距:(https://www.daowen.com)
![]()
(3)速度求取精度与炮检距
设计排列参数时必须考虑速度精度的要求,以避免由于采集排列长度太短,不足以压制各种干扰波而导致速度分析精度降低的所谓“采集”误差。
根据反射时距曲线公式:

设速度误差为Δ,则引起的时间误差为:

取
为速度分析时可检测到的最小时差,则:

式中,x是所要求的炮检距;t0是双程旅行时;fmax是反射波最高频率;是叠加速度;Δ是允许的速度误差。令k=Δ/,则:

(4)最大炮检距对观测形式的要求
通常一个工区的最大有效炮检距在不考虑采用广角反射成像时,基本上是一定的,这样也就限定了每一炮的最佳检波点的接收范围为一个圆形。现有的常采用的正交观测系统和非正交观测系统中的排列片均呈条带状,当考虑在纵向提高覆盖次数时,因排列长度受最大有效炮检距的限制,不能延长过多,因此在不考虑缩小接收道距的情况下,存在一个最大值,这样要想提高覆盖次数,就只能在横向上考虑了,排列片的宽度同样也受到最大炮检距的限制。如果在排列片的纵横向均采用最佳接收长度,即全三维式的正方形排列,由于反射点与排列片的带状不同呈圆形,而存在排列片的4个接收角区的排列基本上为无用道,这样就会造成不必要的浪费,宽三维观测系统也会出现同样的问题。因此在设计观测系统时,应当考虑一个最佳的经济适用平衡点。除此之外,并不希望采用较长的接收列进行接收,因为在有足够的信噪比的情况下,近炮点的接收排列的分辨率较远排列的分辨率高。
3)最小炮检距
最小炮检距指接收排列的最小偏移距离。在原则上,最小炮检距应当足够小,最大不能超过浅层目的层的深度,以便保证对浅层目的层有适当的覆盖次数。近道受到震源和面波的影响比较严重,但为构建表层的P波和S波静校正速度模型,通常选择0.5个道间距。
4)偏移距
偏移距的选择应以处理时能将信号从干扰中分离出来为目的,因此,它与有效波和干扰波的差异情况有关。一般来讲,都以能压制多次波及避开震源干扰为主要考虑对象。
由时距曲线方程:

可以计算出速度为
S的反射波与速度为
m的多次波在最大炮检距xmax和最小炮检距xmin两处的时差。在多次波发育地区,为了将信号从多次波中分离出来,就要保证多次波与信号在最大炮检距处的时差减去在偏移距处的时差的差值大于或等于多次波视周期TS,即:

式中,xmin是偏移距。
5)覆盖次数
高分辨率资料采集的重要任务之一就是要提高高频信噪比。叠加振幅特性曲线中压制带的平均值的大小与叠加次数有关系,叠加次数越高,压制平均值越小,压制效果越好,所以增加叠加次数对于提高信噪比是有利的,经n次叠加后,信噪比增加
倍。并且n次叠加的统计效应比n个检波器组合要好得多。因为组合是对同一次激发的、由几个检波器接收信号的叠加,各检波器接收的随机干扰是同一震源在同一时间产生的。而多次叠加中,共反射点道集的各道记录是不同时间、不同地点激发的,其随机干扰更符合互不相关这一要求。在多次覆盖中,覆盖次数对分辨率的影响主要反映在信噪比上,因此,覆盖次数应根据记录的原始信噪比和地质任务对剖面信噪比的要求来确定,并不是覆盖次数越多越好,因为在资料采集中使用了较多覆盖次数以后,一旦在资料处理过程中存在速度误差,不仅低频响应加强,而且还有可能使多次波进入通放带而不受压制。另外,覆盖次数的具体选择还应与经济投入和生产成本结合起来综合考虑。
6)接收线距
通常,人们根据Fresnel半径公式来确定纵波勘探的接收线距,一般在不大于纵波垂直入射Fresnel半径情况下,尽可能减小接收线距,小的接收线距有利于CCP覆盖次数的分布。
7)最大非纵距
对于三维观测系统,非纵观测和纵向观测的共中心点存在时差,不同的非纵距有不同的时差,其叠加速度也不同。非纵观测误差随地层倾角和非纵距的增大而增大。非纵距原则是保证三维资料来自同一面元内不同非纵距及方位角的道在整个道集内能同相叠加。则最大非纵距Ymax应满足:
![]()
式中,为平均速度;θ为主要目的层的非纵方向的最大倾角;t0为主要目的层旅行时间;Δt为非纵观测误差(一般要求Δt≤T/8)。
3.接收参数
由多个检波器组合在一起进行接收,是为了增强接收地震信号的能量,同时能够很好地压制随机噪声。对于环境的噪声干扰(如刮风、跑车等),可将检波器埋置到表层20 ~30 cm处来避开环境噪声干扰。在实际勘探中,存在多种规则的干扰波(如面波、折射干扰、侧面障碍物反射等),其干扰波特点是具有一定的方向、能量、视速度和视波长。这些规则干扰波如果不在接收过程中被压制掉,那么在后续的处理中就无法将其剔除,从而影响最终地震资料的品质。要压制规则干扰波,首先必须了解干扰波的特点,可采用方形排列的接收来调查干扰波的方向及速度等特性,然后计算组合距参数,原则是在保护有效波不被压制的条件下,最大限度地压制干扰波。最后,根据干扰波的方向和视波长,设计出最好的组合图形,使干扰波得到压制。同时,也应考虑野外施工的可操作性。