5.4.3 基于HTI各向异性反演的地应力参数求取
式(5—68)建立了地层水平应力差分比(DHSR)与杨氏模量、泊松比及法向柔度之间的直接关系,根据建立的应力参数与本构参数之间的定量关系,通过各向异性参数可以间接求取地应力差分比DHSR,如图5—37所示。

图5—37 应力参数和弹性参数关系
Zong等(2013)通过弹性参数之间的关系转换,建立了地层水平应力差分比(DHSR)与纵波模量M、剪切模量μ及法向弱度ΔN之间的关系

其中,M=λ+2μ。
Shaw等(2004)建立的HTI介质散射系数RS(θ)近似方程为:

式中,θ为入射角;φ为方位角,指的是测线方向与HTI介质对称轴方向夹角;M为纵波模量;μ为横波模量;ΔN为法向弱度;ΔT为切向弱度。则HTI介质反射系数的近似方程可表达为:
![]()
其中:

利用式(5—96),结合方位地震反演,可得到纵波模量、横波模量、法向弱度、切向弱度等参数。基本反演流程如图5—38所示。

图5—38 方位地震资料叠前反演流程
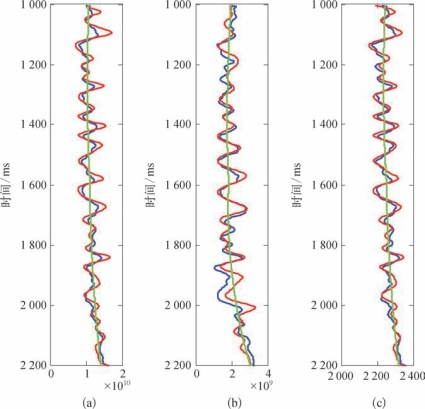
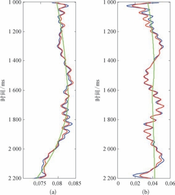
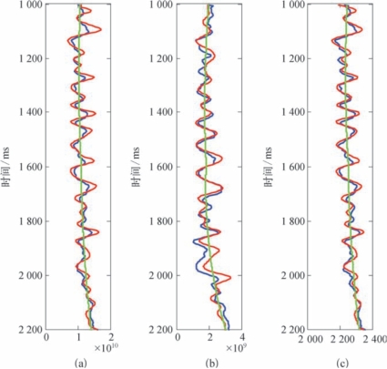
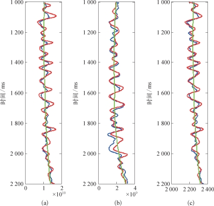
图5—39至图5—44展示了方位地震反演模型测试结果,其中图5—39和图5—40分别为无噪声情况下纵波模量、横波模量、密度、法向弱度和切向弱度的反演结果;图5—41和图5—42分别为加噪10%情况下纵波模量、横波模量、密度、法向弱度和切向弱度的反演结果;图5—43和图5—44分别为加噪20%情况下纵波模量、横波模量、密度、法向弱度和切向弱度的反演结果,图中结果表明,该反演方法具有较好的稳定性。(https://www.daowen.com)

图5—39 无噪声情况下(a)纵波模量、(b)横波模量及(c)密度的反演(蓝色代表实际模型,绿色代表初始模型,红色代表反演结果)

图5—40 无噪声情况下(a)法向弱度、(b)切向弱度的反演(蓝色代表实际模型,绿色代表初始模型,红色代表反演结果)

图5—41 加噪10%的情况下(a)纵波模量、(b)横波模量及(c)密度的反演(蓝色代表实际模型,绿色代表初始模型,红色代表反演结果)

图5—42 加噪10%的情况下(a)法向弱度、(b)切向弱度的反演(蓝色代表实际模型,绿色代表初始模型,红色代表反演结果)

图5—43 加噪20%的情况下(a)纵波模量、(b)横波模量及(c)密度的反演(蓝色代表实际模型,绿色代表初始模型,红色代表反演结果)

图5—44 加噪20%的情况下(a)法向弱度、(b)切向弱度的反演(蓝色代表实际模型,绿色代表初始模型,红色代表反演结果)

图5—45 地层应力参数预测技术路线
由构建的应力场地震岩石物理参数定量表达,确立由宽方位纵波反射地震数据求取地层应力参数的技术路线,如图5—45所示。关键技术包括各向异性弹性阻抗反演、弹性参数和应力参数转换关系、利用应力参数划分有利压裂区域。基于地震岩石物理得到的弹性参数和应力参数的转换关系是利用纵波反射地震数据进行应力场预测的基石。通过建立HTI各向异性介质的弹性阻抗,利用井提供的先验信息约束,进而求取各向异性参数。需要注意的是,随着未知量的增多,对数据的要求就增加,因此,高质量的叠前宽方位地震数据是HTI各向异性弹性阻抗反演及地应力参数预测的先决条件。
页岩气储层具有强非均质性和各向异性特征。页岩气储层的非均质性和各向异性特征必然会引起各种地震属性参数的变化,包括由岩性、裂缝、应力、流体饱和度、孔隙压力相互作用所引起的地下地震波速度以及各种弹性参数的变化等。不平衡的水平应力和垂向上排列的裂缝会引起地震速度或振幅随激发—接收方位的不同而变化。页岩气储层的强非均质性和各向异性特征给页岩气储层应力场预测带来新的挑战。通过建立地层应力场与地震弹性参数、各向异性参数等之间的定量关系,可实现页岩地层应力场地震岩石物理参数的定量表征。在构建有效的数学物理模型的基础上,通过页岩地层方位各向异性地震反演,进一步获得地层水平应力变化率,作为地层是否可压裂成网的有力证据,实现页岩地层可压裂性评价。