3.3  材料模型

3.3 材料模型

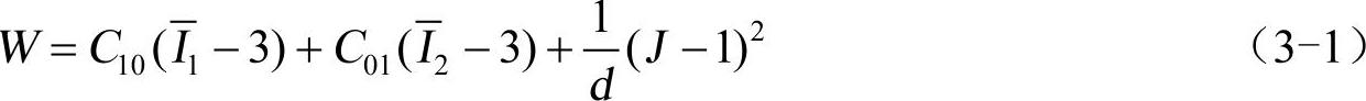
计算中圆形刚性轴和刚性匹配件假设为刚体。方形密封圈的弹性模量为14.04MPa,泊松比为0.4999,方形密封圈的超弹本构关系采用两参数Mooney-Rivlin模型,其应变能势函数为

978-7-111-41679-1-Chapter03-2.jpg

式中,C10和C01为材料常数;978-7-111-41679-1-Chapter03-3.jpg为第一应变偏量不变量;978-7-111-41679-1-Chapter03-4.jpg为第二应变偏量不变量;d为材料不可压缩参数。计算中需要用户输入三个参数,即C10C01和d。本实例中三个参数的取值分别为C10=55.2MPa、C01=-32.5MPa和d=0.0001mm。