18.3.1 轮胎的本构模型
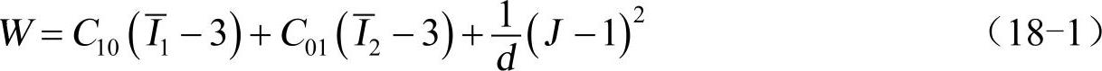
轮胎的弹性模量为6894.8MPa、泊松比为0.5、密度为2.768E-9ton/mm3。假设轮胎的应力-应变符合双参数Mooney-Rivlin模型,其应变能势函数:

式中,W为应变能势函数;I1为第一应变偏量不变量;I2为第二应变偏量不变量;C10和C01为材料常数;d为材料不可压缩参数。
材料的初始切变模量:
μ=2(C10+C01) (18-2)
材料的初始体积模量:

式中,d=(1−2ν)/(C10+C01) 。
计算中,C10=0.551584 MPa,C01=0.137896 MPa,d=0。