第15章 周环反应

第15章 周环反应

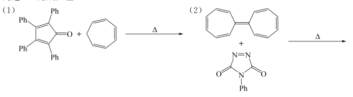
问题1 完成反应

图示

问题2 完成反应

图示

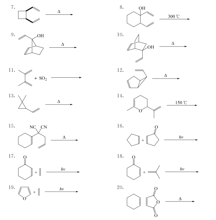
问题3 完成反应

图示

问题4 完成反应

图示

问题5 完成反应

图示

问题6 完成反应

图示

问题7 解释反应

图示

问题8 完成反应

图示

问题9 完成反应(https://www.daowen.com)

图示

习题

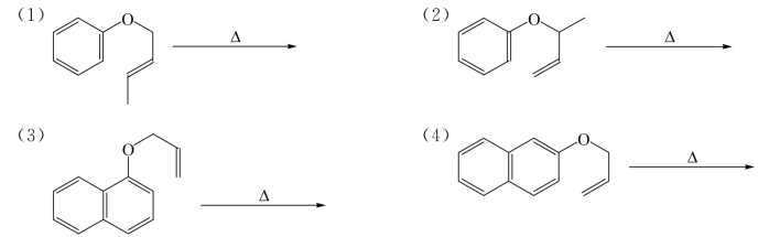
一、完成反应

图示

图示

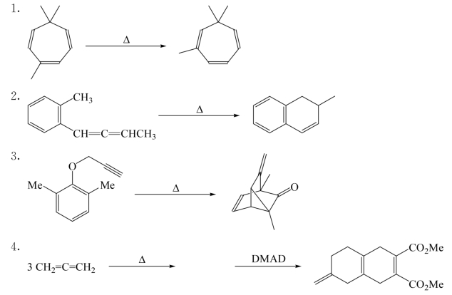
二、如何实现下列转换?

图示

三、解释实验事实

光活性化合物Ⅰ受热转化成化合物Ⅱ,实验显示不旋光.为什么?

图示

四、解释反应

图示

五、合成设计

1.用两种方法合成5-己烯醛:

图示

3.以苯酚为基本原料合成:

图示