爱因斯坦与相对论
阿尔贝特·爱因斯坦1879年3月14日生于德国乌尔姆。
爱因斯坦是地道的犹太人,父亲叫赫尔曼·爱因斯坦,母亲婚前名叫波琳·科赫,生了两个孩子,爱因斯坦是老大。
不算成功的早年 1岁时爱因斯坦随父母搬到了慕尼黑,他早年看上去根本不是一个聪明孩子,3岁还不会说话,也不喜欢说话,总是一个人默默无言地待着,很少和同龄的小伙伴们玩耍。
7岁时爱因斯坦上了附近一所天主教学校,在这里爱因斯坦第一次尝到了作为犹太人的不幸——他被周围的大多数人排斥、蔑视甚至仇恨,这在他童年的心灵里留下了沉重的阴影。他在学校里的表现也十分一般,甚至相当差,据说老师都称他是朽木不可雕,母亲每每捏着他的成绩单摇头叹息。
大约9岁时,爱因斯坦进了路易波德高级中学,表现与在小学时差不多,是老师最不喜欢的那类学生,后来终于被赶出了学校。
但爱因斯坦一点也不在乎,他离开了学校,到意大利与家人团聚去了,因为他的父母这时候已经搬到意大利去了。这是1895年的事。
他与父母生活了一段时间后,又到瑞士去了,他是去读大学的,报考了著名的瑞士联邦工业大学,位于美丽的苏黎世。虽然他数学成绩出色,然而其他学科,如外语、动物学、植物学等都不行,加之连中学文凭都没有,因此名落孙山。
于是他到了一座叫阿劳的小镇,在一间全瑞士最好的中学之一补习,顺利拿到了中学毕业文凭,得以免试进入瑞士联邦工大,这是1896年春天的事。
在这里的经历还使他对瑞士这个国家产生了极大的好感。于是他放弃德国籍,申请加入瑞士籍。
爱因斯坦进的是工大的教育系,这个系毕业后可以进中学当教师,这正是爱因斯坦将来想从事的职业。还有,这个教育系主要培养数学和物理老师,实际上是数学—物理系。
有三个词能够最好地表达他在大学里的生活态度与生活方式:独来独往,无所依傍,自行其是。
当然他在学校里也有几个好朋友,如格罗斯曼与米列娃,但大多数时候来来去去时总是单独一人,经常是一副心不在焉的样子,甚至在老师面前也这样,因此颇不讨老师的喜欢。这种生活方式的恶果很快就要显现出来了。
1900年7月,爱因斯坦大学毕业了,他总的成绩还是不错的,同班同学几乎都留了校,他也很想这样,但没能如愿,因为没有导师愿意要他当助手。
他得找工作了,想在瑞士找工作当然最好成为瑞士公民,所以毕业不到半年后他就正式成了瑞士公民。
爱因斯坦几乎跑遍了小小的瑞士,给许多大学发出了求职信,都如石沉大海,直到1902年,才在同学格罗斯曼父亲的帮助下谋到了一份正式的差事——位于伯尔尼的瑞士专利局三级技术专家,负责专利申请的初审,年薪3500瑞士法郎。
这时候爱因斯坦想到要解决终身大事了,而他早已经有了女朋友,就是大学同学米列娃。虽然她长得不漂亮,腿还有点跛,但要知道,一个贫穷的犹太人在瑞士有多少选择的余地呢?1904年5月,他有了长子汉斯,汉斯成了一个出色的水利学家。
这时候爱因斯坦有两个朋友莫里斯·索洛文和哈比希特,三个人经常在一起海阔天空地聊天,后来他们给自己的组合取了一个很气派的名字——奥林匹亚学院。在约3年的时间里,这个“学院”一直存在着。
奇迹般的1905年 正是在奥林匹亚学院,爱因斯坦向成员们介绍了正在他脑子里酝酿的新理论,就是后来的相对论。
1905年时,由于索洛文与哈比希特先后离开了伯尔尼,奥林匹亚学院只好解散了,但爱因斯坦度过了不平凡的一年,他在这年发表了6篇论文:
3月,他完成了关于光量子学说的论文《关于光的产生和转化的一个启发性观点》。4月,他完成了博士论文《分子大小的新测定法》,在伯尔尼印刷后,再被递交予苏黎世大学。论文被题献给“我的朋友,格罗斯曼先生”。它是关于分子的布朗运动的。5月,关于布朗运动的另一篇论文《热的分子运动论所要求的静液体中悬浮子的运动》被《物理学年鉴》接受。6月,他完成了《论运动物体的电动力学》,在这篇文章里提出了狭义相对论,同样递交给了《物理学年鉴》。
9月,他完成了第二篇关于狭义相对论的论文《物体的惯性同它所包含的能量相关吗?》,其中包括著名的质能关系式E=mc2。
12月,完成关于布朗运动的又一篇论文。
这6篇论文涉及三大主题:光量子学说、布朗运动与相对论,分别在三个领域取得了划时代的成就。这不能不说是整个科学史的奇迹,也是人类智慧的奇迹,能够与之媲美的只有牛顿在1665年到1667年间待在家里的那段日子所取得的科学成就。
同样令人惊奇的是,当他们取得如此伟大的成就时都是如此年轻:牛顿24岁,爱因斯坦26岁。相对论我们将在本章的最后专门谈,这里只说说他在其他两个方面的创造性观念,即光量子学说与布朗运动。
光量子学说就是光在空间传播的光不是连续的,而是一份一份的,每一份叫一个光子,每个光子的能量与它的频率成正比,而与它的振幅无关。爱因斯坦的光量子理论能够很好地解释光电效应,证明了光乃是粒子,同时它还奠定了量子力学的理论基础。
布朗运动指的是在许多物理现象中,一些微小粒子经常做的小而无规则的运动。爱因斯坦认为,布朗运动起源于构成物质的分子间的碰撞,使作用在这些微粒两侧的压力之间产生无规则的差异,从而使微粒产生运动。爱因斯坦的这个理论后来得到了证明,它的证明者因此获得了1926年的诺贝尔物理学奖,不过理论的提出者爱因斯坦没有分享到荣誉。
爱因斯坦教授 1907年,爱因斯坦向伯尔尼大学提出申请,希望担任它的编外讲师,到下一年申请才得到批准,他的成绩也终于开始得到承认,这年他应邀参加了日内瓦大学建校350周年庆典,并在庆典上被授予名誉博士学位。
1909年他被正式聘为伯尔尼大学的编外教授,薪水相当于副教授,因此离开了专利局。
在苏黎世,他那没有详细的备课,仿佛是由当场沉思而来的讲课给许多学生留下了深刻的印象。其中一位听过他1910到1911年课的学生后来回忆道:“在这里,我们亲眼看见科学成果是通过什么样的独创方法产生的。”
仅仅一年后,捷克的布拉格日耳曼大学请他担任正教授,那时候教授按惯例是要竞聘的,最好还要有一些有影响的科学家的推荐。当时最著名的物理学家普朗克对爱因斯坦的推荐是这样的:“如果爱因斯坦的理论被证明是正确的——这也是我所期望的,那么他应该被看作是20世纪的哥白尼。”

爱因斯坦
1911年3月,他到了布拉格,但在这里的生活很短暂,这年11月他就去参加了在布鲁塞尔举办的第一次索尔维会议。索尔维会议在物理学界是鼎鼎有名的,它是物理学家聚会的最高殿堂。最初由一个富有且热爱物理学的比利时人索尔维出资主办,宗旨是邀请世界上最优秀的物理学家定期聚会,以探讨物理学的最新进展。参加索尔维会议是一个物理学家能够得到的最大的荣誉之一,在物理学家们眼里它甚至比诺贝尔奖更难。因为有的物理学家可能是诺贝尔奖获得者,但并不能列入索尔维会议的受邀者之列。例如华裔科学家获得诺贝尔物理学奖的已经有5位,但参加过索尔维会议的只有杨振宁一人。
1912年,爱因斯坦又回到了瑞士,这次他成了瑞士联邦工大的教授,主持那里的物理学讲座。在工大,爱因斯坦又见到了已经是该校数学教授的老朋友格罗斯曼,他帮助爱因斯坦了解当时少有人知道的非欧几何,这对于爱因斯坦建立完善的相对论体系是不可或缺的一步。
在这里爱因斯坦与格罗斯曼开始就相对论的另一部分——广义相对论——进行最初的探讨。
第二年,他们合作发表了《广义相对论纲要和引力理论》,广义相对论诞生了!
这些成果的发表使爱因斯坦已经隐约成为当代最伟大的物理学家,他接到了另一份邀请,来自德国正准备建立的威廉皇帝物理研究所,德国人决心要使之成为全世界最好的物理研究所,发展最先进的物理学理论。为达到这个目标,第一步就是要物色最好的物理学家来研究所,负责这件事的就是普朗克,他接受这个任务后,第一个想到的就是爱因斯坦。
于是,在1913年春天,普朗克来到了苏黎世,十分诚恳地邀请爱因斯坦去柏林,给他提供的条件是这样的:他将被任命为即将成立的威廉皇帝物理研究所所长,并将被选入普鲁士科学院,还将被聘为柏林大学教授,他在那里将有讲课的权力,而且可以讲授他自己选定的任何内容,但没有讲课的义务。同时,如果他愿意,他也可以在别的大学或者机构兼职。更重要的是,对于他的研究方向不做任何规定,他可以研究自己感兴趣的任何课题,对此德国科学界乃至政府都会提供尽可能的帮助。
这样的条件无疑是无比优厚的,爱因斯坦也懂得这个邀请的含义,但他要普朗克让他好好想想,过一段时间后再来苏黎世一次。他们约定,爱因斯坦将去火车站接他们,届时如果他手执一束红花就表示接受,手执白花就表示拒绝。
到了那天,当普朗克忐忑不安地到了苏黎世火车站时,看见了月台上手执一束红花的爱因斯坦。
爱因斯坦这样选择的原因是明显的:还有什么地方有更好的研究条件、能够找到更好的研究伙伴呢?据当时的一个著名物理学家朗之万的说法,全世界只有12个人懂得相对论,其中8个在柏林。
1914年,爱因斯坦一家四口正式来到了柏林。但没多久他的妻子米列娃就带着孩子们回苏黎世去了。
他到柏林后不过四个来月,第一次世界大战就爆发了。我们知道,第一次世界大战共打了4年,从1914年到1918年,在这4年里爱因斯坦基本上都待在柏林,他在这段时间里主要做了两件大事:一是求和平,二是搞科研。
爱因斯坦天生爱好和平,就像他天生厌恶战争一样,他很快与另一个反战斗士联系上了,就是著名作家罗曼·罗兰。1915年,爱因斯坦乘着去苏黎世看孩子的机会在瑞士与罗曼·罗兰见了面,后来爱因斯坦又联署了《告欧洲人书》,呼唤珍惜欧洲的文明,呼吁和平。这是爱因斯坦签署的第一个政治性文件。
第二座高峰 战争似乎对爱因斯坦的科学研究干扰不大,他在1915到1917年间走上了另一个创造的高峰。在这第二个高峰期,爱因斯坦在三个方面取得了开创性的进展。
第一个方面是广义相对论。这时候,他开始努力宣讲自己的广义相对论思想,他的思想也得到了越来越多的支持。到1915年11月,他终于完成了广义相对论的逻辑框架,并在次年的一期《物理学年鉴》上发表第一篇系统阐述广义相对论的论文《广义相对论基础》。后来这篇文章出版成书,成了爱因斯坦的第一部专著。这年底他又完成了《狭义相对论与广义相对论浅说》,通俗地介绍了他的相对论思想。一下子让大众着了迷,也使他赢得了更多的崇拜者。
第二个方面是量子理论。我们知道爱因斯坦是光量子学说的提出者。他在1916年又回到了这个题目上,他一连发表了3篇内容有些相似的量子学说论文,其中提到了有关原子与分子的自发与受激辐射等内容。
所谓“原子与分子的自发与受激辐射”就是指分子或者原子当它们从高能态回到低能态时会放出有各种颜色的光来,这就是它们的“受激”而放光。倘若一个原子在受激的瞬间,有一个一定波长的光与之冲击,这原子就可以受激发射出与入射的光波类型相同而强度更高的光。而且这过程可以不断地重复,当重复到一定程度时,就会产生极强的光束。这种光束就是激光。
激光对于我们生活的重要性不言而喻,我们看的光盘,无论是VCD、CD或者电脑光碟,还有如激光打印机、激光复印机、光纤通信等,都是用激光技术制造出来的。事实上激光的用途远不止此。这一切都是以爱因斯坦的量子理论为基础的。
第三个方面是宇宙学。它与爱因斯坦的广义相对论有关,或者说是广义相对论用之于宇宙探索的结果。1917年,爱因斯坦发表了第一篇有关宇宙学的论文《根据广义相对论对宇宙学所做的考察》。在这里他提出了一个极为新颖的观念:宇宙在空间上是“有限无边”的。到那时为止,所有有关宇宙有多大的说法都是纯粹或者几乎纯粹的猜想。但爱因斯坦在这里运用他的广义相对论对宇宙进行了科学的推理。他推出的结论有二:一是宇宙是有限无边的,二是宇宙在膨胀之中。对于第一点,我这里暂不做解释。对于第二点,在前面讲多普勒效应时我已经说过,现在科学家们根据多普勒效应已经发现了宇宙的红移,由之得出了著名的“膨胀的宇宙”和“大爆炸宇宙学说”,迄今都是最流行的宇宙模型与宇宙形成理论。
时间已经到了1918年,第一次世界大战在这年的11月结束了,这时候战败的德国一片荒芜,德国人连饭都吃不饱,更不用提搞科研了。于是,瑞士两所最好的大学,瑞士联邦工大与苏黎世大学,联合向爱因斯坦发出了邀请,希望他回到瑞士来,条件随他自己定。
但爱因斯坦几乎毫不犹豫地拒绝了瑞士人的邀请,这令人想起了这样一句西方俗语:“为个人利益的智慧是老鼠的智慧,它们总是能赶在房子倒塌之前离开它。”爱因斯坦绝不是那样的老鼠。
不过,紧接着的1919年,爱因斯坦有许多时间待在苏黎世,他一方面在苏黎世大学作了一系列演讲。另一方面,他的个人生活有了一个根本性的转折,这个转折就是离婚。
离婚与再婚 他与米列娃的婚姻生活从来谈不上幸福和谐,主要是双方性格的冲突导致米列娃一直对爱因斯坦不满,这种不满积聚的结果是当爱因斯坦要她搬去柏林时,她去了不久就带着孩子们回了苏黎世,夫妻俩正式分居。到1919年2月,他回到苏黎世正式与米列娃解除了事实上久已破裂的婚姻。
3个多月后,他与一直在照顾他的堂姐结婚了,她的两个女儿也正式通过法律改姓爱因斯坦。这样爱因斯坦就有4个孩子了,两个亲生儿子,2个续弦带来的女儿。
怎么评价爱因斯坦的离婚呢?这对于一个科学家毕竟不是平常事。
我的观点是:这是一场平常人——在这一点上爱因斯坦并不是一个像在科学领域内一样不平常的人——的平常而不幸的婚姻,如此而已。
登上神坛 1919年也是爱因斯坦登上科学神坛的一年,因为他的广义相对论得到了证实。原来,爱因斯坦在他的理论里指出了三个“效应”,或者说三个预言,其中的第二个,即“引力场能够导致光线的弯曲”,首先得到了证明。
这次证实是英国著名的天文学家兼物理学家爱丁顿做的,他是相对论最忠实的信仰者与最深入的研究者之一,现在还流传着有关他的一则轶事,据说某次有人对他说,他是世界上真正懂得相对论的3个人之一。爱丁顿却露出困惑的表情。人问他怎么回事,他说我正在想那另外一个人是谁呢!他对相对论的最大贡献是提出了验证光线弯曲的办法。
我们知道,所谓光线的弯曲就是当光受到天体巨大的引力作用时,它就像经过天体的其他物体一样会被天体吸引过去,至少其前进的路线会被弯曲。然而,由于我们能够看到的天体,例如太阳、月亮或者星星们,本身就是带光的,因此光线经过它们时根本看不出来,更甭提能看出它是不是弯曲了。(https://www.daowen.com)
然而,爱丁顿提出了一个巧妙的法子能够看出来。他是这样想的:我们知道,太阳有巨大的引力,而且相对而言距地球又很近,因此当光线经过它时,不但会产生相当大的弯曲,而且因为距离近的缘故,相对而言这种弯曲也容易观察到,所以最好的办法是观察经过太阳时光线的弯曲。但太阳是如此之亮,在太阳还亮着时是不可能观察到经过它的光束的。爱丁顿又想了一个更巧妙的法子:在日全食时观察太阳。这时,太阳整个儿被遮住了,经过它旁边的光束当然能够看出来。不过,我们可不要以为真的是去看哪一束具体的光,那是没办法看的。爱丁顿想到的法子是拍照:先在晚上拍下天空某一区的照片,这时候太阳没有在天空,因此星光没有受到太阳的强大引力作用。当日全食发生时,那时太阳就在天空,不过看得见星星,当太阳经过早前那个在晚上拍星星照片的区时,再将这时候这个区的星星拍下来。
由于此时太阳正在天空,星光经过它的旁边时,必定会受到它的强大引力,因而光线会弯曲。如果爱因斯坦的预言正确的话,这时候看到的星星的位置应该与前一天没有太阳在天空时拍下的位置有所不同。这就像我们看到一个铁钉本来在某处,后来,有一块磁铁经过它旁边,虽然铁钉没有被磁铁吸走,但磁铁经过它时已经把它吸得动了一下。当我们再去看这个铁钉的位置时,它与前面的位置已经有所不同了。如果我们将这前后的情景也拍下照片来,就会在两张照片上看到铁钉前后位置的改变。
现在星光也是这样的情形,只要将两张照片一对照就会看到星星的位置是不是改变了。当然,事情并不如我前面说的一样简单,好像任何一次日全食都可以进行这样的验证似的。它需要许多条件,例如必须在日全食时太阳附近刚好有一颗星星,而且必须是一颗比较亮的星,这样才好辨认其精确的位置。这样的机会并不多,一是日全食本来就很难看到,二是它通常只持续一分钟左右,这时候它旁边也不一定有一颗亮星。
这样的机会虽然很难得,但在1919年5月29日正好来了。不过,它只在南半球能够看到。爱丁顿知道这是一次历史性的检验,百年难遇。他进行了细致的准备,派出了两支考察队,一支去非洲的几内亚,一支去巴西。
结果是,如我们前面所说的情景,两个地方都拍到了两张这样的照片,一对照,发现与爱因斯坦所预言的星星位置的改变,即位移度,正好一致。
这样的验证对于科学家们的冲击之大可想而知,因为这意味着他们必须改变毕生以来的许多基本观念,例如对时间与空间的基本理解,这简直等于要他们彻底改造自己的世界观呢。对科学家如此,对普通人也是这样。
不久,大名鼎鼎的英国皇家学会与皇家天文学会举行了一次联席会议。皇家学会主席、著名物理学家汤姆逊爵士在开幕词中介绍了在几内亚和巴西进行的验证后,说出了这样的话:“这次发现的不是一个遥远的孤岛,而是新的科学思想的整个大陆。这是自牛顿时代以来最伟大的发现。”
这一惊天动地的发现很快在新闻界传开了,《泰晤士报》《纽约时报》等大小报纸顿时大张旗鼓地将之公布于世,用的都是赫然醒目的大标题:“科学的革命”“天上的光全是歪的,爱因斯坦的理论胜利了”等,大肆宣扬新的宇宙理论、新的时间与空间。时间能够静止甚至倒流、空间是弯曲的,诸如此类的说法一时大行其道。报纸上的话儿自然会传到普通大众耳朵里,对他们产生的冲击之大也可想而知,民众顿时将爱因斯坦当成了改造世界的上帝,狂热地崇拜起来。
在科学界爱因斯坦也得到了无数的荣誉,如各大学的荣誉博士和各个科学院、学会的院士或者会员,包括全世界几乎所有最知名的大学和学会,如剑桥大学、牛津大学、巴黎大学、哈佛大学、普林斯顿大学、英国皇家天文学会、俄罗斯科学院等等。还有各种的勋章奖章,像美国的巴纳德勋章、英国的科普利奖章、德国的普朗克奖章、英国皇家天文学会的金质奖章等,甚至还有纽约市的金钥匙奖。
不过最重要的还是诺贝尔奖,爱因斯坦于1922年的某天得知他被授予诺贝尔奖的消息,那时他正在海上去日本讲学的途中。不过他没有亲自去拿奖,而是由德国驻瑞典大使代表他出席。他的嘉奖状上写着这样的话:“赠给A.爱因斯坦,由于他对理论物理的研究,尤其是发现了光电效应,特此嘉奖。”
具有讽刺意味的是,他的相对论连提都没有提,而光电效应的发现只是爱因斯坦许多重要成果中并不那么起眼的一项。如果他这样的成果也能得到诺贝尔奖的话——无疑那也是有资格得奖的——那么爱因斯坦应该得到多少个诺贝尔奖!
爱因斯坦这时候的名声可谓如日中天,其名声之响亮在科学家中可谓空前绝后。然而,是不是他的生活中就是充满了这种火辣辣的阳光呢?不是,相反,这时候一场邪恶的风暴正向他袭来——沙文主义与反犹主义。
第一次世界大战之后,德国的民族沙文主义与反犹主义日益猖獗。过去,德国报刊一向是将爱因斯坦称为“德国科学家”的,后来慢慢地,他被称为犹太人了,他讲课时甚至在课堂里遭到了反犹分子的骚扰。
为了躲避骚扰与迫害,早在1932年爱因斯坦就接受了美国普林斯顿高等研究院教授的职位,不久永远地离开了德国。到达美国后,爱因斯坦就任了他在普林斯顿高等研究院的职位,并且在普林斯顿的图书馆街5号安了家。
普林斯顿高等研究院是一个独特的、专门从事最高层次的科学研究的有特色的研究机构,这里没有学生,只有专门的研究科学家,他们不要上课,但拿着不菲的薪水,可以全心全意地研究自己感兴趣的任何问题。每个科学家还可以配备自己的研究助手,助手们同时也得到科学家的指导,称得上是其弟子。
爱因斯坦在普林斯顿的生活十分简单。每天早晨,他从家里出发到研究院去上班,在那里与他的助手们见见面,问问他们的研究进展,然后步行回家。他还经常在他用红砖砌就的不起眼的房子周围散步,几乎再也不去其他地方,日复一日、年复一年地步行去研究院,他在林荫道上踽踽独行的身影成为普林斯顿一景。
原子弹现在我们要来谈谈爱因斯坦一生最后那件对人类历史影响巨大的事。
事情起源于1939年第二次世界大战的正式爆发,这年7月,两位物理学家找到了爱因斯坦,向他报告了一个可怕的消息:德国人正在积极研究原子弹。爱因斯坦对原子裂变可能产生的巨大能量一清二楚,顿时明了这种可能性的可怕——要是纳粹制造成功原子弹,对世界将产生毁灭性的后果。
他答应提供帮助。几天后,两位物理学家又起草了一封信件,是写给当时的美国总统罗斯福的,他们再次找到爱因斯坦,爱因斯坦便应他们之请在信上签下了自己的鼎鼎大名,正式建议罗斯福下令制造原子弹。
不久罗斯福总统下达了指令。第二年,爱因斯坦又给罗斯福总统寄去了一封信,再次提醒他,使规模巨大的原子弹制造工程——曼哈顿计划——正式启动了,而且快速进展。
然而有证据表明,这之后不久爱因斯坦就后悔了,他想到了这事可能带来的严重后果。无论如何,这种武器一旦制造出来,将对人类带来的灾难是何等的可怕!这是一种不折不扣的毁灭性灾难啊!
果不其然,德国人的原子弹研究没有想象的顺利,直到第二次世界大战结束,连原子弹的影子都没有。然而,到1945年时,美国人却已经成功地制造出了原子弹,1945年日本人受到了原子弹的攻击,伤亡惨重。
虽然晚年爱因斯坦竭力想让美国政府放弃原子弹,但既然已经从瓶子里放出了这个魔鬼,就再也收不回去了。这是爱因斯坦一生最引为痛苦之事,就像他自己后来所言:“是的,我掀了按钮……”
爱因斯坦死于1955年,他将生命中的最后10年投入了反核事业。爱因斯坦早就给自己订下遗嘱,遗嘱中要求不要举行宗教仪式,同样不要举行任何官方追悼仪式。甚至他下葬的时间、地点也不能公开,只要少数几位至爱亲朋送他前往火葬场。他的骨灰则要被撒在空中。他的大脑被从他硕大的头颅中取出来,以备将来科学研究之用。
狭义相对论 我们现在要来谈谈爱因斯坦最伟大的成就——相对论,相对论包括狭义相对论与广义相对论,我们这里只介绍相对容易理解的狭义相对论。
讲狭义相对论,我们要从一个现象讲起。以前,在中学物理里,我们已经学过参照系。例如,我们坐着一列以每小时100公里的速度行驶的列车,这时候,我们这些坐在列车上的人是怎么运动的呢?或者说我们的运动速度是多少呢?很简单,只要找一个参照系就行了。
例如,现在我们以列车为参照系,那么我们的运动速度就是0,因为我们坐在列车上,对于列车上的座位等我们是静止不动的。但若换一个参照系就不是这样的了。例如,现在我们换了车窗外面的树林作参照物,我们的运动速度就由0变成了100公里/小时。如果我们站起来,以每小时10公里的速度往车头走,这也就是相对于列车我们的速度是10公里/小时,而相对于列车外的树林,我们的速度将是110公里/小时。
这就是所谓的“古典速度合成原理”,这也是经典力学中的基本原理。在这里,只要两个参照系彼此间是以匀速相对运动,经过一些非常简单的运算,也就是我们上面那些运算,就可以把速度、距离之类从其在一个参照系中的量变换成在另一个参照系中的量。这种变换被称为“伽利略变换”,因为是伽利略第一个进行了这种变换。
然而,这种在牛顿力学甚至我们日常经验之中理所当然的东西在另一种力学,即电动力学中,就不对了。
我们在前面讲物理学是什么时讲过何谓电动力学,电动力学就是研究电磁场的基本属性、运动规律以及电磁场与带电物质间的相互作用的物理学分支。这里的电磁场也可以改为电磁波,或者更具体地改为光,因为光也是一种电磁波。
我们知道,电磁波(包括光)的主要特点之一是运动速度非常快,达到每秒钟约30万公里,一般简称为“c”。当它代替我们坐在列车上时,会出现什么样的情形呢?是不是仍然会像我们人坐在列车上一样,当列车以每秒100公里的速度运动,那么,相对于列车,光速度就是30万公里,而相对于列车外的树林,光速就是(30万+100)公里呢?
答案是否定的。具体而言就是说,光速对任何参照系,例如列车或者列车外的树林,其速度是完全一样的。更进一步地说,光速对于任何参照系速度都是一样的,无论哪个参照系的运动状态如何。这就是著名的“光速不变原理”,它也是狭义相对论的两个基本假设之一。
看得出来,这与我们的日常经验是大相违背的,而且听起来简直荒谬。如果将之拿到日常经验之中,就是说我坐在以时速100公里运动的列车上,然后我在列车上以每小时10公里的速度往前跑,那么我不但相对于列车的速度是每小时10公里,相对于列车外的树林的速度仍然是每小时10公里,简直岂有此理吧!
然而这是真的,狭义相对论之特殊意义就在于它提出了一个与人们的日常经验完全不同的理论,然而却又被众多科学实验证明是科学的。也因此,倘然您真想了解狭义相对论,就要彻底打破以前的旧观念,树立新观念。而且,狭义相对论所要打破的何止是这个旧观念!在它随之而来的结论里,进一步将人类千年以来对时间、体积、质量的概念通通打破了!
从狭义相对论得出的一个基本结论是:任何物体的运动速度都不可能达到或超过光速。为什么这么说呢?我们在后面将可以看到,倘若物体的运动速度达到甚至超过光速,将导致不可能的事情发生。
狭义相对论得出的另一个结论是:运动物体的长度、运动时间与质量都是不固定的,而与物体的运动速度有关。
我们分别来看这三个结论。
第一个是长度。现在我们设有一根棍子,它静止时的长度为l0,现在它以速度v沿着棍子所指的方向运动。这时候,它的长度将缩短。具体的计算公式是:
。
从这个公式中可以看出,假如物体以光速运动,即v=c,那么它的长度将缩短为0,即l=l0。如果它静止,即v=0,它的长度就是静止时的长度,即l=l0。
当然,相对论认为,任何物体的运动速度都不可能超过光速,因此物体的长度为0这种不可思议的状态是不可能的。
这两种结果都没多大意思,但如果物体以很大、但小于光速来运动,我们就能看出差异了。例如,物体以光速的
来运动,即
,这时候就可以算出来,棍子的长度约等于它静止时长度的一半。
第二个是质量。与运动物体的长度缩小不同,它的质量将增大。物体运动速度与质量之间的公式是这样的:
。
从上面的公式可以看出来,物体的运动速度越大,它的质量也就越大。当物体的速度等于光速时,其质量将是无穷大。因为它实际上是m0乘以无穷大。只要这个m0不是0,其乘积当然必是无穷大了。
我想这个理由是最好的证明物体的运动速度不可能超过光速的理由。物体的长度为0甚至后面的时间为0都好理解,似乎也可能存在,然而质量变得无穷大却似乎超越我们所能理解的限度呢,要知道就是太阳的质量也是有穷的呢!不过这种现象在宇宙中似乎真的存在,就是黑洞,其体积趋向于无穷小,质量却可能趋向于无穷大。
关于运动物体的质量将增加已经不是一种猜想,而是已经得到了证明。物理学家们已经观测到,当电子高速运动时,其质量比静止时要大得多。
最后一个是时间。与长度的缩短相似,运动物体的时间将变慢。举个例子来讲,现在我们准备两根棍子,每根棍子上都绑着一块手表,它们上面的时间是精确同步的,例如都指向2000年1月1日1时1分1秒。现在一根棍子开始运动。这时这根运动着的棍子会发生什么现象呢?除了长度将变短、质量将变大之外,另一个结果是它上面的时钟将“走慢”。
这也可以用公式来表达。我们现在设静止时闹钟上的时间为t0,现在它以速度为v运动,它上面的时间t将产生的变化即如下公式:
。
从这个公式可以看出,假如物体以光速运动,即v=c,那么它的时间将缩短为0,即t=0,时间将静止不动。
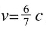
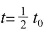
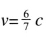
依据这个公式,我们还可以算出来,如果物体以光速的
来运动,即
,这时候
。即运动的棍子上的时钟比静止时慢一半。
时间能够变慢吗?这简直是太神奇了吧!正是这样。而且这已经被证明了呢!
一个最直接的证明是1971年,两位科学家带着极为精密的原子钟乘坐非常快的喷气式飞机绕地球飞行,当他们在原起飞的机场着陆时,将飞机上的原子钟与原来放在机场的另一架原子钟进行比较,发现飞机上的时钟的确变慢了一点,而且经测量后与上述公式里经运算后应该变慢的数值一致。
此外,科学家们后来又观测到,同一种粒子,当它基本静止时的寿命与当它以高速运动时的寿命大不相同,后者比前者要长得多。
我还可以打个让人兴奋的比喻:假设一艘宇宙飞船能够以光速的99.995%航行,这时它的寿命将要长100倍。也就是说,假如20岁的您乘着这艘飞船漫游宇宙,漫游了整整一年——根据飞船上的时钟——之后,您想念女朋友了。于是飞回了地球。当您走下飞船时,您会发现什么呢?您会发现:您的女朋友早已去世。连您的侄子,您弟弟的儿子,也已经80岁高龄了!而您自己,根据地球人的时间,已经120岁高龄了!
我们中国人古代的说法是“天上的一日等于人间的一年”,这其实是可以用科学的办法实现的呢,只要您坐上足够快的飞船就行了。进一步说,只要您的飞船够快,无限接近光速,时间也就流逝得越慢,最后,达到“飞船方一日,世上已千年”也是可能的呢!
更有甚者,西方的幻想家们根据这个公式竟然想让时间倒流。看过《未来战士》或者《回到未来》吧?前者由施瓦辛格主演,后者的导演是大名鼎鼎的斯皮尔伯格。电影里头就讲了人类能够用科学的法子在过去与未来之间飞来飞去,简直就像从客厅到卧室,再从卧室到客厅一样方便呢!
这样做到的办法其实很简单:只要用超光速运行就可以了!即t>c。这时候,幻想家们说,时间将出现负值,即时光将倒流!这就意味着人类的“返老还童”不再是幻想哩!
也许您还会问:要是t=0呢?会有什么结果?那结果当然很简单啦,就是时间将静止不动,用一句更通俗的话来说,我们将“长生不老”了!
除了上面这三个结论外,狭义相对论另外还有一个特殊而重要的结论,那就是质量与能量之间的关系式,即E=mc2。根据这个公式,1克物质如果完全转化为能量约相当于15000吨黄色烈性炸药,等于1945年美国在日本广岛投下的原子弹的威力。
以上就是由狭义相对论得出来的几个惊世骇俗的结论,每一个都与我们过去习以为常的老观念相对立。在这里,长度、质量甚至时间都成了不固定的东西,成了由物体的运动速度来决定的东西,而且在质量与能量之间有那种神秘而可怕的联系,实在太奇怪了!我想,它们在人类的心灵里激起的爆炸威力也不亚于一颗原子弹吧!