分析化学、物理化学与生物化学
分析化学是用分析的方法来解决问题的化学分支。因此,分析化学与其说是化学的一个分支,毋宁说是研究化学的一种方法。
分析化学 分析化学的方法主要有三种:定性分析、定量分析、结构分析。
定性分析指的是分析对象中含有哪些成分,这经常是整个化学分析的第一步。这个分析可能是比较简单的,例如如果所要分析的对象只是一种普通的化合物。但也可能非常复杂,例如要分析一整车矿石中所含的矿物成分。总之,只要我们不知道眼前物质是由一些什么样的成分组成的,就要靠定性分析来帮忙了。
与定性分析相对应,定量分析所要分析的就是物质的量了。定量分析通常在定性分析之后进行,即当定性分析分析出对象中所含的物质种类后,再对每种成分的量进行分析。这个量又包括质量、纯度等不同的内容。
结构分析则是更进一步的分析。当我们通过定性与定量分析知道分析对象中所含的成分之后,这些成分通常已经是某单独种类的化合物,然后再对这个化合物进行更进一步地深入分析,包括分析其分子结构等。这些就是结构分析所要做的工作了。
在这三步分析完成之后,我们对所要分析的对象的化学性质就会有相当详细的了解。
物理化学 物理化学就是用物理学的方法来研究化学,它实际上是物理学与化学之间的边缘学科。
物理化学的内容也很丰富,包括许多分支,是今天化学领域内的显学,主要有三个,即化学热力学、化学动力学、结构化学。
化学热力学主要是研究化学反应的热效应问题与能量变化的问题。我们知道,大量化学反应都伴随着热量与能量的变化。最明显的例子就是燃烧,例如煤与汽油等的燃烧,它们就是一种化学反应,与化学反应同时产生的是大量的热与光。这时,通过对热与光等物理现象的研究,就能够对前面的化学反应做出研究,例如:该化合物为什么会发热发光?与它的何种化学性质有关?等等。这就像看到苹果落地而研究使之落地的万有引力一样,都是由果而溯因的研究。
研究化学反应,不但要研究反应能否进行的问题,还要研究反应进行得有多快,反应速度如何,这就是化学动力学要解决的问题了。
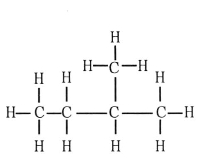
结构化学就是从物质的结构入手去研究其化学性质。物质的性质与其结构有密切的关系,就像“异构”现象一样,例如有三种“戊烷”,其构成分子的原子种类与数目是完全一样的,只是由于结构不同,使得化学性质产生了大变化,成为三种不同的化合物,如下图:

新戊烷(https://www.daowen.com)

异戊烷

正戊烷
钻石与石墨也是如此。实际上,几乎所有化合物之所以具有某种性质都与其内在结构有关,这种内在结构可能与其分子之内原子的结构或者与各分子之间的相互作用有关,甚至有可能更进一步与分子中的原子结构有关,不过这已经不属于化学领域而进入原子物理学的领域了。
生物化学 生物化学是研究发生在生物体内的化学反应过程以及参与这些化学反应的物质性质的科学。从这里看得出来,生物化学有两个大的研究对象:一是参加这些化学反应的物质,二是在生物体内进行的化学反应过程。
我们先来看第一个对象,即生物体内参加化学反应的物质。这些物质包括两大类有机化合物:第一类是构成生物细胞基本成分的有机化合物,如蛋白质、脂肪、碳水化合物等。第二类是在生命活动中起关键性作用的化学反应中的关键性化合物,如核酸、维生素、激素等。
例如蛋白质,它是一种结构分子,在生物的细胞之内扮演着关键性的角色,细胞所有功能的发挥都离不开它。作为一种分子,蛋白质也像一般有机物的分子一样,有其化学结构,它主要由氨基酸分子构成,其成分包括碳原子、氢原子、氧原子、氮原子等,一个氨基酸分子的结构图如下:

这里的R代表一个特别的侧链,正是这个侧链区别了各个氨基酸。
我们再来看第二个对象,即在生物体内进行的化学反应过程。这些化学反应过程又包括两类:第一类是发生在生物细胞内的生物化学反应,例如蛋白质的合成、物种遗传性状的传递等。这些反应与我们一般见过的化学反应大为不同,一是极为复杂,许多到现在为止对于人类还是神秘莫测的,二是相互之间有密切的关联。
第二类是生物体内能量储存与释放时发生的化学反应过程,还有生物化学反应中酶的作用以及催化酶的作用等。
这些都涉及了生命活动的核心,是以科学的方法去研究生命的奥秘。