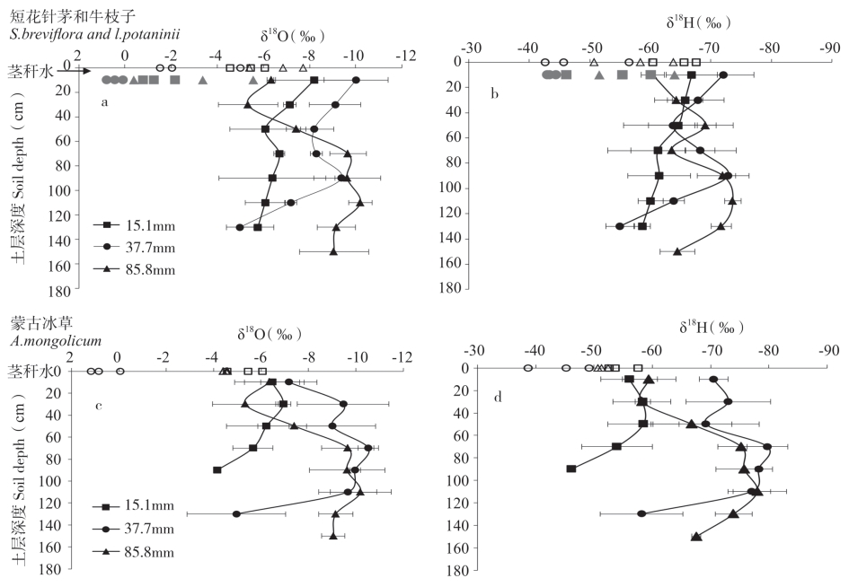
3.2.5 优势植物水分利用来源的直观分析
图3-5 所示,4 种植物在37.7mm 降水后其茎秆水δ18O(-46.28‰)和δ2H 值(-1.1‰)趋于正值,显著大于少量降水和大量降水后的茎秆水δ18O 和δ2H 值,也显著大于同一测定期土壤水分的δ18O 和δ2H 值,与同期雨水的δ18O 和δ2H 值相近或相交,直观分析判断其可能利用的水分为雨水补给的浅层土壤水。在少量降水后,短花针茅茎秆水δ18O 和δ2H 值与土壤20 ~60cm 剖面水分δ18O 和δ2H 值相交(图 3-5-a,3-5-b);蒙古冰草茎秆水δ18O 和δ2H 值与土壤0 ~20cm 剖面水分δ18O 和δ2H 值相交(图3-5-c,3-5-d);甘草茎秆水δ18O 和δ2H 值与0 ~40 cm、60 ~80 cm 土层水δ18O 和δ2H 值相交(图 3-5-e,3-5-f),牛枝子茎秆水δ18O 和δ2H 值与80 ~100 cm 土层水δ18O 和δ2H 值相交(图 3-5-a,3-5-b)。大量降水事件后,短花针茅茎秆水δ18O 和δ2H 值与土壤0 ~40 cm 剖面水分δ18O 和δ2H 值相似或相交(图 3-5-a,3-5-b);蒙古冰草茎秆水δ18O 和δ2H 值与土壤20 ~40 cm 剖面水分δ18O 和δ2H 值相似或相交(图 3-5-c,3-5-d);甘草茎秆水δ18O 和δ2H 值与0 ~20 cm 土层水δ18O 和δ2H 值相交(图3-5-e,3-5-f);牛枝子茎秆水δ18O 和δ2H 值与20 ~40 cm 土层水δ18O 和δ2H 值相交(图3-5-a,3-5-b)。

(https://www.daowen.com)
图3-5 不同植物的茎秆水与土壤剖面水分的氢氧同位素组成
Fig 3-5 The δ2H and δ18O values of soil water in different depths, stem water of 4 plant sepcies
注:在(a)(b)图中灰色实心表示牛枝子茎秆水,黑色空心图例表示短花针茅茎秆水。
Note: The red signal in the a, b figure represents stem water of L.potaninii, the black hollow signal in the a, b figure represents stem water of S.breviflora.