4.2.3 不同降水期优势植物δ13C 值与水分利用效率的变化
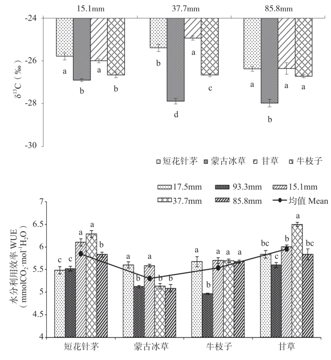
植物生长季不同降水期4 种优势植物叶片δ13C 值的测试结果显示(图4-2),2016年17.5 mm 降水期不同植物δ13C 值顺序为:甘草(-26.30‰ ±0.25‰)>牛枝子(-26.62‰ ±0.34‰)>蒙古冰草(-26.78‰±0.22‰)>短花针茅(-27.05‰±0.25‰),且甘草的δ13C 值显著高于其他4 种植物;93.3 mm 降水期不同植物δ13C 值顺序为甘草(-26.87‰±0.21‰)>短花针茅(-27.04‰±0.19‰)>蒙古冰草(-27.90‰ ±0.09‰)>牛枝子(-28.23‰ ±0.06‰),其中,甘草、牛枝子和蒙古冰草的δ13C 值显著偏负,其均值分别降至-26.87‰、-28.23‰和-27.90‰,降幅在0.57 ~1.61。整体来看,在同一时期4 种植物δ13C 值的种间差异均达到显著水平(P <0.05),不同降水期,牛枝子、蒙古冰草和甘草的δ13C 值变化显著(P <0.05),而短花针茅则无显著变化(P >0.05)。2017年,随着降水量增多,短花针茅、甘草和蒙古冰草δ13C 值变化显著(P <0.05),呈减少趋势,而牛枝子δ13C 值平缓减少且变化不显著。在37.7 mm 降水期,甘草的δ13C 值显著偏正,为最大值(-24.94‰),其次为短花针茅(-25.09‰);在85.8 mm 降水期,蒙古冰草δ13C 值最小(-28.15‰)。整体分析,不同植物δ13C 值为甘草>短花针茅>牛枝子>蒙古冰草。
三因素方差分析结果表明(见表4-2),年度、降水量及物种对植物叶片δ13C 值均有极显著影响(P <0.01),4 种植物之间的δ13C 值有显著的种间差异(P <0.01),年度与降水量之间无显著交互效应,年度与物种、降水量与物种以及三者之间对植物δ13C 值均有显著交互效应(P <0.01)。Duncan′s 法多重比较结果显示,甘草和短花针茅的δ13C值显著大于牛枝子和蒙古冰草的。
在图4-2 中,不同降水期对不同植物长期WUE 也具有显著的影响,随着降水量的增加,4 种植物的WUE 呈降低趋势,其中,甘草和短花针茅的WUE 变化趋势一致,在2017年15.1 mm 降水期和85.8 mm 降水期的WUE 均高于2016年同期;牛枝子的WUE 在2016年不同降水期之间差异显著,在2017年的差异不显著;蒙古冰草的WUE 在2 个年度都随着降水增多呈线性降低。不同物种间的WUE 具有明显的种间差异,甘草和短花针茅的WUE 最高,其次为牛枝子和蒙古冰草。
表4-2 植物δ13C 值组成在年度、降水量与物种之间的方差分析
Table 4-2 ANOVA of the δ13C commposition between year, precipitation and species(https://www.daowen.com)



图4-2 不同优势植物在不同降水期的δ13C 值与WUE 变化
Fig.4-2 Changes of the δ13C value and WUE among plant species in different precipitation periods
注:不同小写字母表示各处理在0.05 水平上的显著性差异,下同。
Note: Different lowercase letters indicate significant difference among species at 5% level.(Below is same)