期末检测

期末检测

______月____日 共______题 对______题 错______题……时间______分

期末检测(1)

一、计算

1.直接写得数。

2.竖式计算。

二、应用题

1.一个三角形的面积是16平方厘米,它的底边是4厘米,这条底边上的高是多少厘米?

2.一条长廊有24米,每隔3米放一盆花,两旁都放,而且两端要放,一共需要多少盆花?

3.一个等腰直角三角形的一条直角边是5cm,它的面积是多少?

期末检测(2)

一、计算

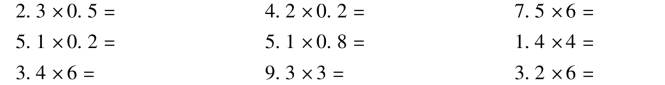
1.直接写得数。

3.竖式计算。

二、应用题

1.同学们去植树,女生植了84棵,比男生植的2倍少16棵,男生植了多少棵?(用方程)

2.甲、乙两车从相距225千米的两地相对开出,经过2.5小时相遇,甲车每小时行驶48千米,乙车每小时行驶多少千米?(用方程)

3.爸爸跑步1.28千米,是小李3.65倍,小李跑了多少千米?(保留两位小数)

期末检测(3)

一、计算

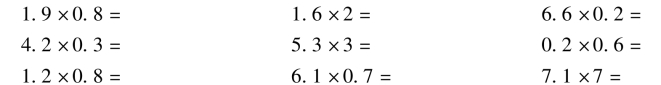
1.直接写得数。

2.简便计算。

二、应用题

1.一块平行四边形地,高50米,比底少72米,它的面积是多少?

2.一个蛋糕店每天用50千克面粉,运来的面粉计划6.5天用完;实际用了10天,实际每天用多少千克?

3.用一根长18厘米的铁丝正好围成一个长方形(长、宽都是整厘米),计算它的面积。

期末检测(4)

一、计算

1.直接写得数。

2.递等式。

二、应用题

1.蜘蛛每小时爬行1.9千米,乌龟每小时爬行0.32千米,蜘蛛的速度是乌龟的几倍?(保留两位小数)

2.把70千克大米,分装在5.7千克一袋的小袋里,需要这样的袋子多少个?

3.做一个大蛋糕用0.8千克面粉,一批面粉够做720个蛋糕。改进技术后每个蛋糕节约用面粉0.2千克,这批面粉可以做多少个蛋糕?

期末检测(5)

一、计算

1.直接写得数。

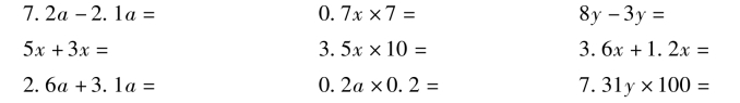
2.解方程。

二、应用题

1.求下列图形的面积。(单位:厘米)

期末检测(6)

一、计算

1.直接写得数。

2.解方程。

二、应用题

1.按要求涂一涂。

(1)摸出白色球的可能性大。

(2)摸出黑色球的可能性大。

(3)摸出白色球和黑色球可能性一样大。