二、海水淡化能耗
(一)能耗逐步下降
降低海水淡化的总能耗,从而降低淡化水的成本,一直是人们的追求目标,也是几十年来海水淡化技术研究和开发的重要内容之一。近年来,海水淡化的能耗,特别是海水反渗透淡化的能耗,由于不断改进能量回收技术,总能耗已从40年前的26.4kW·h/m3,下降到4kW·h/m3以下,将进一步下降到3kW·h/m3。现有大、中型海水反渗透淡化工程,其高压部分的能耗已降到2.2kW·h/m3左右。海水淡化已不是高能耗、高运行费的技术。
例如,美国南加州MWD海水淡化示范工程,设计的效数高达30级,相应运行的最高温度110℃以上,目的在于提高造水比(大于20),降低比能耗。经过几十年的研究和开发,无论是多级闪蒸、低温多效蒸馏还是反渗透膜,比能耗均有明显的下降。图5-1表明了能耗下降过程的幅度。

图5-1 美国MWD海水淡化工程30年能耗降低示意图
图5-1表明,就能耗而言,无论哪种蒸馏法,均无法与反渗透法竞争,因为已商业运行的海水淡化反渗透系统,如Baha Ms的1.36万m3/d淡化厂,由于采用压力转换器(PE),高压泵的能耗只有2.6kW·h/m3。即使高效节能的低温多效蒸馏,各种水泵的能耗要在2kW·h/m3以上,而多级闪蒸则高达4kW·h/m3以上,再加上加热蒸汽的热能,低温多效蒸馏总能耗大约9kW·h/m3,多级闪蒸高达14kW·h/m3以上;而佛罗里达海水淡化反渗透工程,预计总能耗为3.7~4.28kW·h/m3(能量透平回收,而非压力转换器回收能量)。
(二)反渗透法的节能方式
根据1995年调查统计,全世界淡化市场(含苦咸水淡化)中,反渗透法占了市场份额的88%。降低海水反渗透淡化系统的制水成本,是反渗透技术成功应用的关键,而表5-4中数据说明(以1000m3/d的反渗透海水淡化系统为例),能耗在制水成本中所占比例居主导地位,要想降低反渗透法的制水成本,首先要解决降低能耗的问题。
反渗透海水淡化系统通常采用的回收率为30%~40%,我国海水水质中溶解总固体(TDS)含量为34.4g/L,当反渗透系统回收率为40%时,则反渗透浓盐水中TDS含量为57.333g/L,相应的浓盐水压力(能量)约为6.0 MPa。如此高的浓盐水压力,如果通过某种装置回收其能量并传递给进水,则可降低高压泵的出口压力,也降低了整个系统的能耗。
表5-4 反渗透海水淡化的制水成本

1.能量透平装置(TURBO)
在20世纪80年代中期,回收浓盐水的能量通过能量透平装置(TURBO)来实现。TURBO是一种同轴涡轮机驱动离心泵的装置,涡轮机叶轮从浓盐水中提取能量并转化为机械能,机械能通过离心泵叶轮传递于进水。TURBO的能量传递效率随着进水流量的增大而增大,所以对于大型的海水淡化系统,有更高的能量回收率。采用TURBO作为能量回收装置的反渗透工艺如图5-2所示。

图5-2 采用TURBO的反渗透海水淡化系统
1—高压泵;2—TURBO;3—反渗透装置;4—产出淡水;5—浓盐水排放
若淡水产量为1000m3/d,则工艺流程中各点的状态量如表5-5所示。
表5-5 采用TURBO的反渗透系统工艺各点状态量

注 进水流量为2500m3/d,相对应的TURBO的能量回收效率为60%。
由表5-5数据可知,TURBO回收的压力为d、b两点的压力之差(2.04MPa),这样大幅降低了高压泵的出口压力,也降低了反渗透海水淡化的能耗和吨水成本。
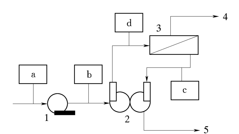
2.压力转换器(PE)
压力转换器(PE)作为一种新型的能量回收装置出现于20世纪90年代,其较高的回收效率为反渗透法的节能带来相当可观的经济效益。压力转换器是通过活塞的往复移动把浓盐水的能量传递给进水,且活塞用于阻止浓盐水与进水的混合。在国外,已有很多大型的海水淡化系统采用压力转换器进行能量回收,其能耗仅为2.4kW·h/m3(国内已有的海水反渗透淡化系统其能耗约为5~6kW·h/m3)。采用压力转换器为能量回收装置的海水淡化反渗透工艺如图5-3所示。

图5-3 采用PE的反渗透海水淡化系统
1—高压泵;2—反渗透装置;3—压力转换器;4—补偿升压泵;5—产出淡水;6—浓盐水排放
若淡水产量为1000m3/d,则工艺流程中各点的状态量如表5-6所示。
表5-6 采用PE的反渗透系统工艺各点状态量

由表5-6的数据可知,压力转换器的转换效率为98%,而一旦采用压力转换器作为能量回收装置,高压泵的进水流量仅是反渗透系统淡水的流量,另一部分进水的能量通过压力转换器获得,明显降低了高压泵的负荷,从而也降低了一次性投资和吨水能耗。
相同产水量的反渗透海水淡化系统,采取不同的能量回收方式,节省的能耗是不同的。表5-7表明了采取不同能量回收方式下的能耗对比情况。采用能量透平装置,虽然可以回收部分浓盐水的能量(压力),但其回收效率较低;而采用压力转换器作为回收能量装置,其回收效率可达94%以上,显然,压力转换器更有优势。
表5-7 不同能量回收方式下的能耗对比
