6.1.1 土壤的物理性质
1.土壤的机械组成
土壤中的一个个固态颗粒(绝大部分是矿物)称为土粒。土粒按其大小可分为若干组(在同一组内其成分具有相似性),称为土粒颗粒分级。土壤中各粒级之间的组合比例(相对含量),称为土壤的机械组成或土壤质地。它是土壤的一种较稳定的自然属性,影响到土壤的吸水、持水、输水和给水等水理性质,因此被普遍用来作为反映土壤物理性质的特征。
土壤的固体物质由大小不同的矿物颗粒组成,其粒径相差很大,从几微米到几厘米。不同粒径的颗粒,物理性质差别很大,按土壤颗粒的粒径大小,可将土粒分为砂粒、粉粒和黏粒。砂粒(粒径2~0.02mm),比表面积(单位重量土粒的表面积)小,土粒间接触点小、孔隙大,因此,透水性强、毛管上升高度小、遇水不膨胀、干燥时不收缩、无黏着性;粉粒(粒径0.02~0.002mm),颗粒较小、比表面积大、孔隙较小、透气透水性不强、毛管上升高度较大;黏粒(粒径小于0.002mm),颗粒很细、比表面积很大、形成的孔隙甚小而量大、透气透水性很弱、毛管上升高度大,但上升速度缓慢、遇水膨胀、干燥收缩。
天然土壤并不是由单一粒径的土粒组成,而是由各种颗粒的土粒组合而成。按土壤颗粒的大小及其组合情况,土壤质地大致可分为砂土、壤土和黏土3大类。砂土,砂粒含量在80%以上,粒间孔隙一般较大、透水性强、持水能力弱、毛管孔隙较大、毛管上升高度较小,因孔隙较大,有利于水汽扩散运行,水分蒸发较快;黏土,粘粒含量在60%以上,颗粒间孔隙很小,孔隙相互沟通形成曲折的毛细管孔隙,其透水性差,但持水性强、土壤水分运行缓慢、毛管上升高度大;壤土,含砂粒和黏粒,介于上述两者之间,是我国大部分地区常见的土壤,其水分物理性质也介于上述两者之间,透水性、持水性均属中等。
2.土壤结构
土壤结构是指土壤颗粒的排列形式,它是影响土壤水分物理特性的重要指标。任何土壤颗粒之间都有孔隙。这些孔隙有大有小,连续或不连续,均取决于土壤颗粒的类型和排列形式。土壤颗粒紧密结合在一起,形成一种团聚体,称为团粒结构。土壤又由很多团聚体所组成。而土壤颗粒的排列形式会因土壤团聚体的数量及性质而有所不同。这样,土壤的结构就直接影响土壤的孔隙特性,从而影响到土壤的持水、透水等水分物理性质。例如团粒结构的土壤可以使土壤孔隙度提高到55%~65%,甚至更高。团聚体的大小和形状可分成很多类型,土壤颗粒和团聚体的类型与排列不同,构成了土壤孔隙不同的分布状况。团粒和团粒之间存在着许多非毛管孔隙,这些大的孔隙是良好的水流通道。毛管的大小和分布状况,是土壤水运动的重要条件。
3.土壤物理特性的基本指标
土壤的密度和容重是衡量土壤物理特性的基本指标,另外还有一些特征数值,分述如下。
(1)土壤密度ρ。指单位体积内(除掉孔隙)干燥土粒实体的质量,即

式中 ρ——土壤密度,kg/m3;
m——土壤质量,kg;
V0——除掉孔隙的土粒实有体积,m3。
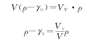
(2)土壤干容重γ0。在自然条件下,单位体积(包括孔隙在内)的干土重量,简称容重,表示为

式中 γ0——土壤干容重,kg/m3;
V——土壤体积,m3;
Ws——自然条件下土壤体积V中的干土重量,kg。
(3)土壤孔隙比e。指土样中的孔隙体积与固体颗粒体积的比值。
(https://www.daowen.com)
式中 e——孔隙比;
VV——土样中的孔隙体积,m3;
Vs——土样中固体颗粒体积,m3。
(4)孔隙度(率)np。指土样中的孔隙体积VV占土样体积V的百分比。

式中 np——孔隙度,%;
V——土样体积,m3。
np与e可以互相转换,即

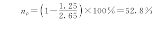
一般情况下不直接测定土壤孔隙度,可以用土壤密度ρ和容重γ0来求np。由于土壤密度与容重之差值等于孔隙部分所相当的土壤重量,即

所以 
例如,测得土壤密度为2.65t/m3,容重为1.25t/m3,则

自然条件下,孔隙不是被水充填就是为空气所占据,土壤中水分形态、特性及运行都与土壤孔隙的特性有着密切关系,所以,土壤孔隙是土壤物理特征的综合反映。
土壤孔隙率的大小,还不足以反映孔隙对水分运行的作用。例如黏土的孔隙度比砂土大,但孔隙的直径小,所以黏土的持水能力强,透水性弱;砂土则相反。从水分运行的观点来看,孔隙可分为以下3种类型:
1)无效孔隙(孔径小于0.001mm)。这种小孔隙只要几个或几十个水分子就可以将它堵塞,孔隙中的水分子受到很大的吸力而保持在孔隙中,所以它既不通水汽,所持的水分子也不参与水分的运行,故称为无效孔隙。
2)毛管孔隙(孔径为(0.001~8mm)。它能产生显著的毛管力作用,有相当大的持水和输水能力。
3)非毛管孔隙(孔径大于8mm)。其孔隙不具有毛细管作用,不能保持水分,但却是水和空气的良好通道。
土壤孔隙率与土壤的类型、耕作情况、植被情况和离地面的深度有关,一般在30%~60%之间变化。位置越深,土壤越密实,孔隙率越小,但通常在地面80cm以下孔隙率的变化就不大了。