7.3.3 流域汇流计算
流域汇流计算实质上是依据净雨过程推求出口断面流量过程,目前进行汇流计算有多种方法,如系统分析方法、概念性模型和数学物理方法等,共同点在于反映流域汇流过程的基本特性。因而,了解流域内净雨转化为出口断面流量过程的特性是流域汇流计算的基础。
下面以延河支流杏子河流域1964年8月3—6日实测雨洪过程为例,分析该流域净雨转化为出口断面洪水流量过程的特征。该流域面积为820km2,最大河长约67km。图7.27对比了该次暴雨洪水的净雨过程与相应的洪水过程线。由图可知,洪峰出现时间比雨峰滞后。一般把洪峰滞后于雨峰的现象称为洪水过程线的平移。由于出流过程的历时远大于净雨历时,且时间滞后,出流流量均化,这种现象称为洪水过程的坦化。现有实测资料均表明,无论流域大小、气候和下垫面状况如何,洪水过程线与相应的净雨过程而言,普遍存在着平移和坦化现象。不同流域、不同气候与下垫面条件的差异仅在于平移和坦化程度不同。因而,流域汇流计算需要揭示这种现象的机理,并模拟其特征。
1.流域的调蓄作用
一次降雨过程中,随着净雨量的增大,坡面、河网中蓄存的水量也增大。对于涨洪时段而言,净雨输入量值大于洪水流出量值。净雨停止时,坡面漫流也随之停止,这一时刻流域蓄存水量达到最大值。此后,河网汇流还将延续一段时间,在这一时段内流域蓄存水量会逐步减少。这种流域蓄存水量随着净雨过程先增加随后又减少的现象称为流域的调蓄作用。分析流域的净雨输入与出口断面的流量输出过程,可以获得直观概念,如图7.27所示。在涨洪时段内,流域蓄存水量增加。在退水时段内流域蓄存水量逐渐减少。流域这种调蓄作用是洪水过程的平移和坦化现象的原因。

图7.27 杏子河1964年8月雨洪过程
基于下面两方面的原因,流域具有调蓄功能。一方面,雨水从各个地点降落到流域上,这些雨水质点距离出口断面远近各不相同,即使流域内不同地点的净雨质点具有相同流速,同一时刻形成的净雨也不可能同时流达出口断面。距离出口断面远的净雨质点就会暂时滞留在流域中,引起时段内流域蓄存水量的变化,导致洪水过程线的平移和坦化。另一方面,流域内各个地点的水流条件,如比降、糙率等各不相同,因此各个地点的净雨质点运动速度各不相同。所以,即使净雨质点所处位置与出口断面的距离相同,同一时刻形成的净雨也不可能同时流达出口断面。流速慢的净雨质点就会暂时滞留在流域中,引起洪水过程线的平移和坦化。

图7.28 等流时面积分布示意图
[图中各点的集合表示汇流面积A(t-τ)]
当τ时刻的净雨强度为I(τ)时,从上述分析可知,由于流域的调蓄作用,τ时刻产生的净雨不可能全部在同一时刻流达出口断面。仅流达时间为t-τ的那一部分净雨质点对t时刻的出流量有贡献,组成了t时刻出流量的一部分,如图7.28所示,因而有

由于所有0至t时段的净雨都对t时刻出流量有贡献,所以t时刻出流量Q(t)应为式(7.51)在0~t区间上的积分,即

应用变量代换,上式可以写为

式(7.53)就是径流成因公式,表明不同时刻t流达出口断面的流量Q(t)不同,是由τ对应的所有汇流时间相等点上t-τ时刻的净雨所形成的。∂A(τ)/∂τ-τ在汇流理论中称作汇流曲线,它是由净雨推算流量过程的关键。
2.流域蓄泄关系
流域蓄泄关系指流域蓄存水量与净雨输入和洪水出流量之间的关系,基于这种关系,可以推导出描述洪水过程线平移和坦化的数学表达式。
设流域蓄存水量为s(t),净雨输入为I(t),洪水出流量为Q(t),在dt时段内流域水量平衡方程则为
![]()
由于式中I(t)为已知,而Q(t)和s(t)均为未知函数,因而需要建立s(t)与I(t)、Q(t)的关系,将此关系式与式(7.54)联立,才能得出描述洪水过程线平移和坦化的数学表达式。经推导,此数学表达式为

或
式中 I(m)——入流对时间的m阶导数;
Q(n)——出流对时间的n阶导数;
am、bn——系数。
式(7.56)表达了一般性流域蓄泄关系,也是流域汇流中应用广泛的方程。在式(7.56)中若至少一个系数是I和Q的函数,则为非线性流域蓄泄方程,否则为线性方程。特殊情况下,式(7.56)中仅b0不为零,则简化为
![]()
它与水库的蓄泄方程相同,因而当流域蓄泄关系呈这一形式时,称相应的流域调蓄作用为“水库”作用。
流域的总蓄量s包括地表蓄量(河网蓄量sr,湖泊水库和洼地蓄量sl,坡面滞蓄量sp)以及地下蓄量sg,即
![]()
对式(7.58)求导即可得出流域蓄水量的变化率为

通常,河网蓄量和地下蓄量的变化率dsr/dt和dsg/dt对流域总蓄量变化率贡献较大,特别是在地下水蕴藏量丰富地区dsg/dt不可忽视;坡面滞蓄量的变化率dsp/dt较小,当流域中没有大的湖泊水库或洼地时dsl/dt也不大。
3.流域汇流的面积-时间曲线
假定流域中任一地点雨水的流速都相同,则任一地点净雨水质点流达出口断面的时间就取决于它与出口断面的距离。依据这一假定,将流域内汇流时间相等的点连接起来,称为等流时线,如图7.29(a)所示。它表明在同一等流时线上的净雨质点将同时流达出口断面。进一步假定,处于两条相邻等流时线之间的所有净雨质点将在这两条等流时线的时距Δτ内流达流域出口断面,而称相邻两条等流时线之间的面积为等流时面积Δω。
以等流时面积Δω为纵坐标,以流达出口断面时间为横坐标,根据等流时线图就可以绘出等流时面积分配曲线,如图7.29(b)所示。当把纵坐标选为Δω/Δτ时,即可绘出面积-时间曲线,如图7.29(c)的柱状线所示。当等流时线时距Δτ趋于无穷小时,流域汇流的面积-时间曲线就成为一条连续曲线,如图7.29(c)中的虚线所示。如果以累积等流时面积为纵坐标,可得到累积面积-时间曲线,如图7.29(d)中的柱状线所示。当Δτ趋于无穷小时,累积面积-时间曲线也是一条连续曲线,如图7.29(d)中虚线所示,此曲线方程为

图7.29 等流时线与面积-时间曲线示意图

在假定流域内流速分布均一的前提下,面积-时间曲线形态就取决于流域形状。例如,矩形流域的面积-时间曲线为一水平直线,羽形流域的面积-时间曲线为一单峰曲线,葫芦形流域因两端大中间小其面积-时间曲线呈双峰状,分别如图7.30(a)、(b)、(c)所示。

图7.30 流域形状与面积-时间曲线
由面积-时间曲线的物理概念可知,τ时刻形成的净雨对t时刻出流量有贡献的等流时面积为∂ω(t-τ)/∂τ,于是t时刻的部分出流量为
![]()
积分式(7.61)得到t时刻的流量
,即

对比式(7.52)和式(7.62)可以看出,二者形式完全相同。但二者在概念上的差异在于,对于t时刻流量有贡献的净雨来自不同地点。前者认为流域内各点流速不同,τ时刻形成的净雨而t时刻流达出口断面的净雨质点散布于流域内,没有一定规律(图7.28),这些点的集合构成了形成Q(t)的汇流面积。后者由于采用了流速分布均一假定,Q′(t)是由等流时面积上的净雨形成的,而等流时面积的分布有一定规律且与流域形状有关。
4.流域汇流系统分析

图7.31 系统与流域汇流系统示意图
(1)系统概念与流域汇流系统。通过某种关系将输入与输出联系起来的结构装置或者过程都可以称为系统,其基本概念如图7.31(a)所示。系统的形式多种多样,既可以是具体的仪器装置、电路结构,也可以是物理、化学乃至生物过程;系统的输入与输出方式也多种多样,既可以是物质,也可以是能量、信息;系统的作用在于将输入转化为输出,或者说输出是系统对于输入的响应。系统有静态与动态之分,因而研究系统必须具备参照时间。研究和应用系统的目的在于预测输出。
参照上述系统概念,可将流域汇流过程视为一种系统,其输入是净雨过程,输出是流域出口断面的洪水过程线;系统的功能则是流域的调蓄作用,如图7.31(b)所示。流域出口断面的洪水过程Q(t)即为流域系统对净雨过程I(t)的响应,简称流域响应,并可表示为
![]()
式中 Φ——运算符,表示输入与系统响应之间的特定关系。
依据流域汇流过程的物理特性推断,这一系统是一种具有因果关系的、守恒的和高阻尼的物理系统。
流域的调蓄作用可用式(7.56)表达,将其代带入流域水量平衡方程式(7.54)有

将微分算子D=d/dt引入上式,则有

式(7.65)为流域汇流系统的一般表达式。
依据系统特性,流域汇流系统又可以分为以下几种类型。
1)线性与非线性流域汇流系统。当流域汇流系统满足叠加和倍比假定时,为线性系统,否则为非线性系统。所谓叠加假定指n个输入之和所产生的总系统响应等于每个输入所产生的响应的代数和,这意味着各输入所产生的响应之间互不干扰,用数学式表达为

而倍比假定指若某一输入的n倍加之于系统,产生的响应等于原输入产生响应的n倍,即
![]()
若式(7.65)的系数am、am-1、…、a0及bn、bn-1、…、b0之中只要有一个是I和Q的函数,此方程所表达的就是非线性流域汇流系统;若所有系数都是常数,即为线性流域汇流系统。
2)时变与时不变流域汇流系统。若式(7.65)的系数am、am-1、…、a0及bn、bn-1、…、b0中,至少有一个系数是时间t的函数时,为时变流域汇流系统;当上述所有系数均为常数时,则为时不变流域汇流系统。
3)集总和分布式流域汇流系统。当把流域作为一个整体采用同一组系数进行汇流计算时,称之为集总流域汇流系统;把流域按照一定要求划分为单元(块),各单元采用不同输入或不同系数进行汇流计算,然后再按照一定方式汇总为流域出口断面流量过程时,称为分布式流域汇流系统,或称为分散式流域汇流系统。
实际流域汇流计算中常常采用几种类型的组合以反映流域汇流系统的基本特性。例如,集总时变非线性流域汇流系统,分布式时不变线性流域汇流系统,等等。
研究流域汇流系统的主要目的在于由净雨输入推求或预测流域的洪水出流过程。目前,求解流域汇流系统有3种途径,即黑箱子分析方法、概念性模型和数学物理方法。黑箱子分析方法特点在于忽略问题的物理过程,仅仅依据已有的输入和输出资料,了解系统作业的特性;例如,水文情报预报中的经验单位线。概念性模型应用简化的物理概念单元,如渠道、水库等,组合构成描述系统的模型,例如随后将要讨论的杜格(Dooge)模型。一般认为,数学物理方法最有前途,因为这种方法从物理途径出发建立微分方程,应用数学方法求其特定条件下的解,物理意义明确,数学解法严格,例如应用圣维南(Saint-Venant)方程组求解明渠非恒定流问题以及目前尚在研究中的分布式物理水文流域模型。
(2)瞬时单位线。当系统的输入为单位脉冲函数δ时,系统所形成的输出称为脉冲响应函数。对于流域汇流系统,当输入为单位瞬时脉冲净雨时,所形成的输出则称为流域瞬时单位线(Instantaneous Unit Hysrograph,IUH)。所谓单位瞬时脉冲净雨指在流域上分布均匀,历时趋于零且强度趋于无穷大,而净雨量(净雨强度乘以净雨历时)为1个单位的输入过程。依据水量平衡原理可知,流域瞬时单位线的总面积等于1个单位。
将上述δ函数的定义代入式(7.65)就得到流域瞬时单位线的数学表达式
![]()
式中 u(0,t)——流域瞬时单位线。
当式(7.68)中的系数am(m=1,2,…,M)和bn(n=1,2,…,N)均为常数时,所描述的流域汇流系统为线性时不变系统。若初始条件为零,式(7.68)的拉普拉斯变换为
![]()
式中 A(P)/B(P)为系统的传递函数,而A(P)、B(P)分别为
A(P)=am Dm+1+am-1 Dm+…+a0 D-1(https://www.daowen.com)
B(P)=bn Dn+1+bn-1 Dn+…+b0 D+1
由于L[δ(t)]=1,所以

再取式(7.70)的Laplace逆变换,可得

由此可知,流域瞬时单位线就是流域汇流系统传递函数的拉普拉斯逆变换。于是,流域瞬时单位线也称为流域瞬时响应函数或核函数。
对于线性时不变系统,取零为初始条件,式(7.65)的拉普拉斯变换为
![]()
将式(7.70)代入式(7.72),得到
![]()

图7.32 卷积公式的物理概念
而式(7.73)的Laplace逆变换为

式(7.74)就是线性时不变系统在零初始条件下的解,又称为卷积公式。因卷积具有可交换性,式(7.74)也可写为

从式(7.75)推导可知,如果流域汇流系统为线性时不变系统时,若流域瞬时单位线已知,即可由净雨过程求得出口断面的径流过程线。式(7.74)或式(7.75)描述了流域上均匀分布净雨所形成的t时刻出口断面流量Q(t),物理概念如图7.32所示。
对比式(7.53)与式(7.75)可知
![]()
式(7.76)表明,流域瞬时单位线是汇流面积随时间的变化率,即:汇流面积是由散布于流域各处,具有不同运动速度但能同时流达出口断面的净雨质点组成的。再对比式(7.62)与式(7.75),则有

式(7.77)则表明,在流域内各处净雨质点汇流速度相同的特例中,流域瞬时单位线为面积-时间曲线。可见,流域瞬时单位线主要取决于流域地貌结构和净雨质点的汇流条件。
目前应用广泛的流域瞬时单位线是Nash模型,它将流域对洪水的调蓄作用设想为n个调蓄功能相同的串联水库,且每一水库的蓄水量s与出流量Q均为线性关系,其数学方程为

式中 Г(n)——n的伽玛函数,Γ(n)=(n-1)!;
其余符号同前。

图7.33 克拉克模型示意图
由式(7.78)可看出,瞬时单位线的形状取决于参数n、K,它们反映了流域的调蓄特征。参数n、K值一般由瞬时单位线的矩来确定,而矩又与净雨和流量过程线有关。具体如何确定将在水文情报预报中介绍。
(3)克拉克(Clark)模型。Clark模型的主导思想是将流域调蓄作用分两阶段模拟,先按时间-面积曲线调蓄,再按单一线性水库调蓄,如图7.33所示。由于单一线性水库的调蓄作用可通过水量平衡方程与线性蓄泄关系确定,即

联立上述二式,则有
![]()
式(7.79)为一阶常微分方程,在初始条件为零时,所相应的流域瞬时单位线为
![]()
由式(7.62)、式(7.80)及卷积公式,可得出Clark模型的瞬时单位线方程

式中 τm——面积-时间曲线的底宽,即流域汇流时间。
式(7.81)表明,只要获得面积-时间曲线的具体形式,就可以确定Clark瞬时单位线数学方程。最简单特例是流域为矩形,其面积-时间曲线为
![]()
将此式代入式(7.81)得到矩形流域的Clark瞬时单位线方程

5.线性分布式流域汇流模型
自然界的河川流域中,降雨的空间分布和时间分配一般都不均匀,造成了净雨的空间分布和时间分配变化;同时由于流域内各处的植被、土壤、地形和地质条件各不相同,使得各处的地表、壤中和地下径流也各不相同;而且流域各个部分对净雨的调蓄作用也有明显差异,这些因素的共同作用导致流域汇流过程极其复杂。

图7.34 暴雨空间分布对流域汇流影响示意图
同一流域两次降雨面平均降雨量基本相同,但流域降雨空间分布不同,一次暴雨中心在上游,而另一次暴雨中心在下游,所形成的洪水过程线差异较大,如图7.34所示。另一径流实验场集水面积仅0.024km2,两次总雨量分别为24.8mm和26.6mm,大致相当,而雨强差异较大,前者为22.4mm/h而后者仅为4.7mm/h,所形成的洪峰和过程线形状大不相同,地下径流所占比例也不相同,如图7.35所示。两个不同流域比较,甲流域1203km2,乙流域1072km2;甲流域降雨量48mm,乙流域39mm;二者植被状况大体相近,但下垫面前者为土壤,后者为有裂隙溶洞的石灰岩;造成洪峰及地下径流比例差异较大,前者洪峰为577m3/s,后者为342m3/s;前者地下径占17.4%,后者占43.1%,如图7.36所示。综上所述,将流域作为一个整体,采用前面所述汇流计算途径较难处理流域内净雨的空间和时程变化,及各种水源成分及流域调蓄作用的差异。

图7.35 雨强对汇流影响示意图

图7.36 不同下垫面流域雨洪过程示意图
分布式流域汇流模型把流域划分为若干块,称为子流域或单元面积,并使各个单元内的植被、土壤、地形和地质条件尽可能均一。这样,每一单元可采用各自的降雨过程,通过产流计算出各自的净雨过程,而处理了流域内净雨的空间变化问题,每一单元可采用各自的蓄泄关系并考虑单元内水库、塘坝作用,从而也处理了个单元净雨时程分配和调蓄作用问题。显然,单元面积越小,就越接近实际降雨和净雨分布情况,汇流过程模拟也就越准确。由于线性分布式流域汇流模型考虑因素相对全面,应用较为灵活,且较为适合现有资料条件。线性分布式流域汇流模型的基本结构如图7.37所示。

图7.37 线性分布式流域汇流模型结构框图
线性分布式流域汇流模型有多种形式,单元可按照雨量测站控制面积划分,也可按照天然小流域划分;各单元内汇流计算以及各单元流量向流域出口断面的演进亦可采用不同线性方法。下面仅讨论几种典型方法。
(1)改进的克拉克(Clark)模型。前面所述Clark模型应用面积-时间曲线做第一次调蓄计算时,由于各等流时面积上的净雨输入相等,故属于集总模型。若需要考虑流域内净雨空间分布不均匀对汇流的影响,则可将每个等流时面积作为一个单元,分别采用各自的净雨进行汇流计算,即各单元的净雨不同,就构成简单的线性分布式流域汇流模型,其概念如图7.38所示。
设各等流时面积分别为a1、a2、…、ai、…、an,计算时段长为相邻两等流时线的时距。当流域内降雨空间分布不均匀时,Δt时段内各单元面积上的净雨量并不一定相等。设第j时段各单元面积上,即各等流时面积上的净雨量分别为I1j、I2j、…、Iij、…、Inj,这里I的第一个下角标表示单元序号,第二个下角标表示净雨时段序号。按照等流时线的概念,由第j时段净雨所形成进入线性水库的流量过程应为

图7.38 改进的Clark模型示意图

这一流量过程通过单一线性水库再进行一次调节计算,得到第j时段净雨形成的流域出口断面流量过程Qj(t)。若净雨有m个时段,可依次由上式得出Q1(t)、Q2(t)、…、Qj(t)、…、Qm(t)。根据线性系统可叠加性,流域出口断面的总流量过程Q(t)应为各个时段净雨所形成的流量过程之和,即

改进的克拉克模型通过按等流时面积划分单元面积而考虑了净雨的空间变化,但流域的调蓄作用仍是集总的,未能考虑各单元面积调蓄作用的差异。
(2)杜格(Dooge)模型。将流域按照等流时面积与线性串联水库相结合,相当于具有旁测入流的线性串联水库,就构成了Dooge模型,其基本概念如图7.39所示。

图7.39 Dooge模型概念示意图
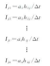
与Clark模型相似,第i块等流时面积为ai(i=1,2,…,n),计算时段为两相邻等流时线的时距,而第j时段内第i块等流时面积上的净雨量为hij(i=1,2,…,n;j=1,2,…,m)。不同之处在于各单元的出流所经历的调蓄不同。
对于第j时段而言,第1块等流时面积上的出流Ij1=a1h1j/Δt平移1Δt至出口断面经第1个线性水库调蓄后形成流域出口出流Q1j(t);第2块等流时面积上的出流Ij2=a2h2j/Δt平移2Δt至出口断面经前2个串联线性水库调蓄后形成流域出口出流Q2j(t);……第i块等流时面积上的出流Iji=aihij/Δt平移iΔt至出口断面经前i个串联线性水库调蓄后形成流域出口出流Qij(t);……第n块等流时面积上的出流Ijn=anhnj/Δt平移nΔt至出口断面经前n个串联线性水库调蓄后形成流域出口出流Qnj(t)。依据线性系统的可叠加性,可知所有单元出流经调蓄后共同构成第j时段净雨所形成的流域出流过程Qj(t),即

当一次雨洪若有m个时段净雨,流域出口断面的总流量过程又由各个时段净雨形成的流域出流叠加而成,即

合并上述二式,则有

由于杜格模型不仅通过划分单元考虑了净雨的空间变化,还通过各等流时面积出流所经历串联水库数目考虑了净雨流程不同所受到调蓄作用的差异;从而更完善了一步。
(3)流域降雨径流模型。天然流域通常由若干互不嵌套的小流域组成。进行流域汇流计算时,按照小流域划分单元,再利用河网根据水流方向将这些单元联系起来,就构成了流域降雨径流模型,如图7.40所示。流域水文模型多数还属于概念性模型,即在一定程度上反映了流域汇流过程的物理概念,但未能完全以数学物理方式严格描述汇流过程。

图7.40 流域水文模型结构示意图
按照等流时面积划分单元的方式,虽然具有各单元面积上的净雨同时流达流域出口断面的优点,但等流时面积一般较为狭长,很难满足净雨均匀的要求,因而效果不能令人满意。按照小流域划分单元,在一定程度上将会有所改进。
各单元流域的汇流可因地制宜采用不同方法。一般单元流域可采用瞬时单位线或经验单位线方法进行汇流计算;形状特殊单元,因其面积-时间曲线呈双峰,则可采用等流时线方法进行汇流计算。山区雨洪汇流多具有非线性特征,应尽可能依据资料条件作非线性修正。