10.1.1 湖泊的形成与形态特征
在地质作用(如地壳升降)及外力因素(如冰川移动、河流冲淤、风力侵蚀等)的影响下,地表形成洼地,称为湖盆,当洼地的集水面积上有降水、地表或地下水补给时,水就积蓄于洼地之中,若补给量大于损失和排出量(蒸发、下渗、外流)或处于平衡状态,洼地中经常保持一定水量,就形成湖泊。湖水中既有泥沙又有溶解质和水生生物。湖泊是湖盆、运动着的水以及水中物质相互作用的综合体。湖泊形成后,由于外力和湖内水体运动的作用,湖盆形态发生变化,使湖岸趋于平缓,近岸形成浅滩,泥沙淤积又使湖底填平,水深和容积减小。水生植物也由岸边向湖心推进。最终使湖泊趋于消亡。
湖泊由于形成原因、原始地形和发展过程的差异有不同形态。但经过内外动力(波浪、湖流等)对湖泊的作用,形态逐渐相似。水深较大湖泊的典型形态如图10.1所示,可分为湖岸、沿岸地带、岸边浅滩、水下斜坡和湖盆底等5部分。
(1)湖岸。湖岸是湖泊边坡上的水上部分,通常坡度陡直,受近岸的浪击作用而形成。
(2)沿岸地带。沿岸地带包括水上部分和水淹部分。水上部分只在高水位时才受浪击的作用,水淹部分受湖水位涨落的影响而被湖水淹没。沿岸地带又称湖滨。

图10.1 湖岸形态
(3)岸边浅滩。岸边浅滩可分为两部分,靠近湖滨部分因受湖水冲刷而形成的侵蚀浅滩,其底部大多是岩石或坚硬土壤。在侵蚀浅滩以外则是因沉积作用而形成的沉积浅滩,大多是由粗粒泥沙淤积而成。整个岸边浅滩的表面都为沙砾石覆盖。
(4)水下斜坡。水下斜坡是湖底和岸边浅滩之间的过渡地带,其倾斜角可达20°~30°,坡脚为淤泥覆盖,其他部位为沙砾覆盖。
(5)湖盆底。湖盆底指水下斜坡的坡脚至湖泊中央部分,因泥沙和生物的沉积而较平坦。
湖泊形态对湖水理化性质、湖水运动、湖泊演变、水生生物的分布规律等都有较大影响,因而对湖泊形态的研究,可以推断湖泊的成因、湖泊的大小、湖泊的水文情势、湖泊的水产、湖泊的发展趋势等。以便合理地开发利用湖泊水利资源。

图10.2 湖泊长度示意图
湖泊的形态特征主要包括湖泊的形状、长度、宽度、深度、面积、容积等。以定量的方法表示湖泊几何形态的指标叫湖泊形态度量参数,或简称湖泊形态参数。一般采用具有等深线或等高线的湖泊地形图来确定。
(1)湖泊长度L是指连接湖面外边界两个相距最远点之间的最短距离,依照湖泊形状不同,可能是直线,也可能是折线,如图10.2所示。
(2)湖泊宽度B分为湖泊的最大宽度和平均宽度。湖泊最大宽度是指垂直于湖泊长度线方向的两岸间的最大距离;平均宽度是湖水面积FL除以湖泊长度L,即
![]()
(3)湖泊深度H。H可分为湖泊最大深度和平均深度。湖泊最大深度是指湖泊的最高水位减去湖底最深点的高程;湖泊平均深度是湖泊的容积V除以湖水面积FL,即

(4)湖泊水面积Aw。湖泊处于最高水位时的水面面积为其最大面积。湖泊的水面面积随水位(或水深)变化,不同水位时的水面面积可由地形图量出,因此,可以绘制水位与水面积的关系线。(https://www.daowen.com)
(5)容积V。湖泊的容积也随水位变动,可采用下式计算

式中 h——地形图上等高线的高差,m;
F1、F2、…、Fn——各等高线所包围的投影面积,底部等高线所包围的面积Fn常作为零,m2;
n——等高线数目。

图10.3 湖泊深度与面积、容积关系图
为了研究湖泊的水文特征,常绘制出水位Z-容积V曲线和水位Z-水面面积F关系线,如图10.3所示。它是水利计算、水文预报必备的基本资料。
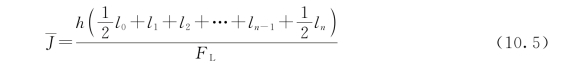
(6)湖底的平均坡度J。计算方法与流域平均坡度的计算方法相同。相邻两等高线间的坡度J由下式推算
![]()
式中 l1、l2——两等高线的长度;
h——两等高线间的高差;
f——两等高线间包围的面积。湖底的平均坡度
可用下式计算

式中 l0——湖岸线的长度;
l1、l2、…、ln——各等高线长度;
n——等高线的数目;
h——等高线间的高程差,式中为常数;
FL——湖水面积。