导文网
搜索
首页>
图书频道>
理学>
数学物理化学
多维随机变量及其分布
2026年01月14日
版权
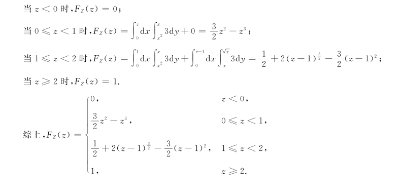
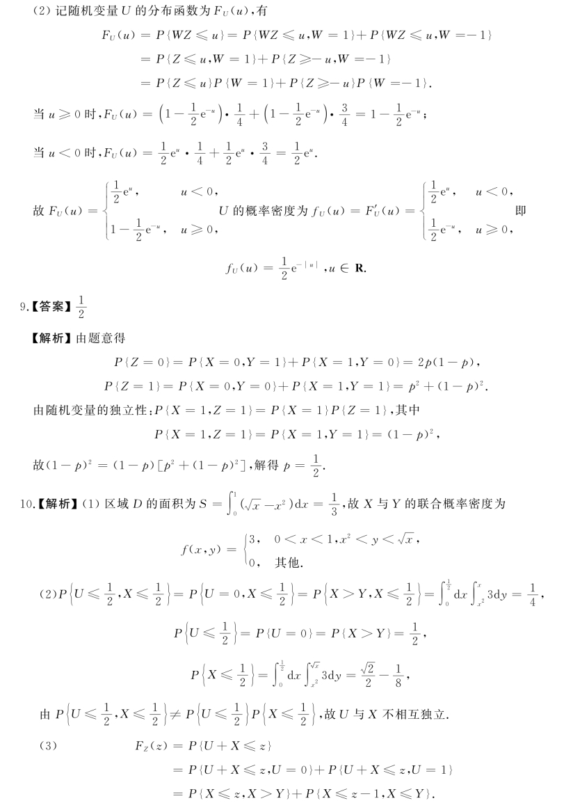
第三章 多维随机变量及其分布
(https://www.daowen.com)
上一章
下一章
目录