奇妙的速度合成公式
2025年09月26日
奇妙的速度合成公式
在牛顿力学中,速度是没有极限的。它源于牛顿力学中的速度合成公式:v=v1+v2。在这里,对v1、v2和v是没有什么限制的。在我们熟知的运动现象中,这样的例子不胜枚举。例如,在现代空战中,以声速v飞行的喷气式战斗机上,飞行员向正前方的敌机发射一枚导弹,它相对于飞机的速度也是声速v。那么,根据速度合成公式,在地面上的人看来,这枚导弹以2倍声速(2v)飞向敌机。
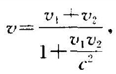
但是,当我们把这个速度合成公式应用到光速世界中去的时候,根据相对论的理论,就行不通了。如果有一枚以光速c向前飞行的光子火箭,它一边飞行,一边向前方射出一发激光炮弹(即一束激光脉冲),这个炮弹也以光速c向前传播,那么,这束激光对于地球上的观察者来说,是不是以2c的速度向前传播呢?不!根据相对论的速度合成公式,速度v1和v2的合成速度v为:

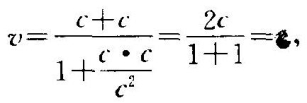
式中c为光速。根据这个公式来求光子火箭上发射的激光束相对于地面观察者的速度v,只须将v1=c,v2=c代入,可得:

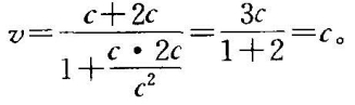
即这束激光相对于地面观察者的速度仍是c,而不是2c。这是怎么回事?让我们把矛盾暴露得更明显一些。假定有一种“超光速”新式武器,它发出的“子弹”速度非常地快,可以达到2c(实际上,超过光速c是不可能的)。将这种超光速武器装在光子火箭上,仍利用上述公式,不过,此时v2=2c,我们可得到:

可以看到,在光速世界的速度合成中,只要有一个速度等于光速c,另一个不管它有多大,合成速度总是等于c。这个合成公式告诉我们,要想超过光速c是不可能的。这意味着光速c是极限速度。