盖层的封闭机理
盖层问题一直是石油与天然气地质学研究的薄弱环节。人们曾单纯地认为盖层之所以具有封隔性,是由于盖层岩性致密、无裂缝、渗透性差所致。从盖层的微观性质研究发现,盖层能封隔油气的重要原因之一是盖层具有较高的排驱压力。目前已公认盖层的封闭机理有物性封闭、压力封闭及烃浓度封闭,尤以物性封闭最为常见。
(一)物性封闭

图3-13 毛细管封闭示意图(据Berg,1975)
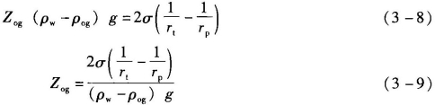
也叫毛细管封闭。从微观上讲,盖层的物性封闭实际上是通过盖层的最大喉道和储集层的最小孔隙之间的毛细管压差来封盖圈闭中的油气(图3-13)。盖层的最大喉道处毛细管压差最小,油气最易在此突破,因而这种封闭机理在理论上说与盖层的厚度无关,故又称为薄膜封闭。通常地下的岩石大多为水润湿,盖层大多以岩性致密,颗粒极细,孔喉半径很小,渗透性很差的岩石为主。非润湿相的油气要通过盖层进行运移,必须首先排驱润湿相的水。只有驱使油气运移的动力小于或等于盖层的排驱压力,油气才能被封隔于盖层之下。物性封闭能力可以用单位面积上所封存的油气柱高度来衡量。当圈闭中油气柱的浮力与储盖层之间具有的毛细管压力相等时,即为最大封存油气柱高度。在静水条件下可用下式表示:

式中:Zog为圈闭中最大烃柱高度,m;σ为界面张力,N/m2;ρw为水的密度,103kg/m3;ρog为烃的地下密度,103kg/m3;rt为盖层的最大喉道半径,m;rp为储集层最小孔隙半径,m;g为重力加速度,9.8m/s2。
盖层和储集层之间的毛细管压差也可以由试验测定,并直接计算。岩石排驱压力的大小与岩石的孔径及流体的性质有密切关系。储集层最小孔隙与盖层最大喉道的半径差越大,排驱压力越小;反之,排驱压力就越大。一般泥页岩、蒸发岩、致密灰岩的喉道半径小,因此具有较高的排驱压力。物性封闭是盖层最主要、最普遍、最基本的封闭机理,只要岩石物性上有差异就可在不同程度上形成封闭(图3-14)。

图3-14 盖层和断层的毛细管封闭
排驱压力的大小还与流体的性质有关,在亲水岩石中,油水界面张力小于气水界面张力,所以在孔喉半径相同的情况下,石油比天然气更易排驱岩石中所含的水。单从这个角度来讲,油藏对盖层的要求似乎比气藏更严格。但应该注意到,由于气水之间的密度差远远大于油水之间的密度差,在油柱与气柱高度相同的情况下,水对气的净浮力远远大于对油的净浮力,加之天然气分子直径较小,扩散能力比石油强,因此,实际上天然气藏对盖层的要求比油藏更为严格。
值得注意的是,物性封闭的盖层,在一定水力条件下,即当储盖层界面上承受的流体压力大于或等于岩石最小水平应力与岩石的抗张强度之和时,盖层将形成垂直于最小水平应力的张裂缝,盖层的物性封闭将不复存在,故又称为水力封闭。盖层的水力封闭能力可用下式表示:

式中:Zog为圈闭中最大烃柱高度,m;S3为盖层的最小水平应力,MPa;K为岩石的抗张强度,MPa;pw为储盖层界面上的流体应力,MPa;ρw、ρog为水和烃的地下密度,103kg/m3;g为重力加速度,9.8m/s2。(https://www.daowen.com)
(二)压力封闭

图3-15 压力封闭示意图
与物性封闭相比,压力封闭的特点是具有能封闭异常压力的压力封闭层;压力封闭层不仅封闭地层中的油气,而且还能封闭作为地层压力载体的水;能对烃类和水实现全封闭。只有那些岩性致密、渗透率极低的岩层才具有压力封闭的能力。一般认为,位于储集层上方的超压泥岩层是油气,特别是天然气的良好盖层,它能有效地阻止油气向上方运移,但若这种超压泥岩封闭层仅存在于烃类聚集之中或其下,不仅不能起封闭作用,而且还会促进油气向上逸散。
当储集层具有异常压力时,上覆盖层多为压力封闭层;也可以是盖层本身具有异常压力而封闭下伏储集层中的流体(图3-15)。后者封闭最小油气柱高度为:
![]()
式中:Zog为可封闭最小油气柱高度,m;pw为盖层中的异常压力,MPa;ρw、ρog为水和烃的地下密度,103kg/m3;g为重力加速度,9.8m/s2。
上述表明,当地层剖面中存在压力封闭层时,不仅地层内的流体难以排出,而且地层外的流体也不能通过它流动。此时在地层剖面中就可能形成流体互不连通的压力封隔体。
如前所述,压力封闭是在物性封闭基础上的进一步封闭,是对油、气、水的全封闭,其效果自然也优于单纯的物性封闭。但压力封闭盖层本身也有水力破裂的问题,即当异常高流体压力超过最小水平应力(σ3)与盖岩的抗张强度之和时,盖层本身也将产生张性破裂而丧失封闭性,所以盖层中的异常高压力也不是越高越好,而应以不超过破裂压力为极限。
(三)烃浓度封闭
盖层的烃浓度封闭是在物性封闭的基础上,主要依靠盖层中所具有的烃浓度来抑制或减缓由于烃浓度差而产生的分子扩散。特别是对天然气来说,由于分子直径小、扩散性强,一般好的泥质盖层虽能阻止其体积流动但很难封闭其扩散流,如果盖层是烃源岩本身,具有一定的烃浓度,势必可增加对分子扩散的封闭性。目前认为,天然气通过盖层的扩散主要是溶于水中,在水介质中进行的。因此,当盖层是烃源岩本身又具有异常高压时,孔隙水中的溶气浓度可以很高,甚至超过下伏储集层孔隙水中的含气浓度。形成向下递减的浓度梯度,从而使向上的扩散作用完全停止。看来,盖层的烃浓度封闭对阻止天然气的分子扩散可能是很有效的。
烃浓度封闭机理虽然符合分子扩散的原理,在经过一段时间的扩散后,盖层中的含气浓度完全可以与下伏储集层中的含气浓度达到浓度平衡,此后再以整体的平衡浓度向上或向下扩散,而储盖层之间则处于浓度上的动平衡状态,这种机理只能相对延缓下伏储集层天然气向上扩散的时间,最终并不能阻止天然气的分子扩散。此外,也要考虑到如果盖层是烃源岩且在大量生烃阶段时,一旦其润湿性改变为油润湿,就会丧失毛细管封闭能力,并将导致在压力差作用下有大量体积流的散失。
必须明确,在盖层的三种封闭机理中,物性封闭是最基本的,如果盖层失去了物性封闭能力,其他两种封闭机理也就不复存在了。实际上,盖层在物性封闭的基础上也常不同程度地具有压力或浓度封闭的能力并形成复合盖层,显然这种复合封闭的效果最佳。