爱因斯坦论常数
我真正感兴趣的是,上帝是否可能用一种不同的方法创造世界,即,是否由于逻辑上简约的必要性而完全舍弃任何自由。
——阿尔伯特·爱因斯坦〔2〕
阿尔伯特·爱因斯坦比其他任何科学家创造出更多的关于大自然的定律的现代图像。在创建关于小尺度物质世界的原子和量子性质的正确观点方面他起了主要作用,他证明光速如何将相对论带入每个观察者的关于空间、质量和时间的观点,还独自一人发现了超越二百五十年前由艾萨克·牛顿所创造的经典图像的引力理论。他总是被这样的思路所吸引,不管观察者如何运动,某些事物必定看起来始终一模一样。他展现的最好的例子就是光在真空中运动的速度。不管一支光束的光源相对于你移动得有多快,在它发光之后你总会测出光相对于你具有相同的速度。这个事实完全不像我们所熟悉的任何低速度的日常运动。从一列火车上发射时速为500公里的导弹,而火车向同一方向以时速100公里运动,则发现导弹会以相对于地面的600公里的时速运动。但是在以光的速度(每秒30万公里)运动的火车上由燃烧而发出的一束光,人们会发现它仍以光的速度相对地面运动。光的速度是大自然的一个特殊常数。它是个基准,根据它我们可以判断运动在绝对意义上是“快”还是“慢”。在整个宇宙中,我们期盼光的速度起同样的基本作用。它是宇宙的速度极限:没有什么信息能传递得比真空中光的速度更快。〔3〕
爱因斯坦在他生命的不同阶段谈论大自然的常数时有许多有趣的事。在他解释相对论时,他赋予真空中的光速具有它的特殊地位,是宇宙中传递信息的最大速度。他将普朗克和斯托尼仅仅假设的理论揭示得淋漓尽致:光的速度是超人类的大自然的基本常数之一。在他的后半生,他越来越专心探索物理学的终极理论。他称它为“统一场”理论,而今日它应称作“包罗一切的理论”。〔4〕哎呀,物理学家们现在认为在那个强劲的研究时期,爱因斯坦收获甚少,因为他坚持不懈地试图寻找比他的广义相对论更宏大、更美好的理论:这一理论应包括引力之外的自然界的其他力。〔5〕他相信存在这种理论,它的唯一性和完备性不容有数学上的未解决的问题。因此,它应具有数字尽可能最小的大自然的常数,〔6〕它们只能通过实验取得。
爱因斯坦实际上根本不喜欢有任何这种自由常数存在。他认识到探索终极理论就是发现超越先前理论的越来越好的理论的过程。目前,我们的理论是暂时性的,故在理论中出现大量的自由的大自然的常数,这些常数正是我们必须测量的。最终,这种情况终将改变。他预期他的统一理论将会用纯粹的数字确定像e、G和c这样的常数值,这些数值能像人们所希望的那样精确地计算出来。
在他已发表的论文和其他科学著作中,爱因斯坦几乎没有写到这些观念。然而他与一位曾做过他学生的老朋友保持终身通信,这个人就是伊尔莎·罗森塔尔-施奈德(Ilse Rosenthal-Schneider)(见图3.1照片),她的兴趣在于科学哲学,并且在她年轻时是普朗克和爱因斯坦两人的亲密朋友。她和她丈夫于1938年逃离纳粹德国移居悉尼。从1945年至1949年,有一段时间,爱因斯坦和罗森塔尔-施奈德之间的私人通信主要集中在大自然的常数的问题上。爱因斯坦仔细思考了他的解释,并清晰地和全面地陈述了他对物理学的未来的信念和希望。
1945年,罗森塔尔-施奈德第一次写信给爱因斯坦,谈到了常数问题。〔7〕什么是常数?它们告诉我们的有关的大自然的规律是什么?常数全都相互有联系吗?她意外地很快得到了回答,这实际上是在开始解答她的问题。她已经了解到关于他的健康、一般情况或其他个人事务的问题,一般在他的回信中是得不到回答的,或者是被忽视的。但这是他要思考的一个课题。爱因斯坦的回信是在1945年5月11日从普林斯顿寄出的。
关于普适常数的问题,你已提出了真的可能想问的最有趣问题之一。存在两类常数:表观的和真正的常数。表观的常数只不过是引进任意单位的结果,但它们是可以取消的。真实的(真正的)常数是上帝不得不武断地选定的名副其实的数字,如果是这样的话,这是上帝屈尊创造这个世界时的选择。我现在的见解是——简单说——第二类常数并不存在,而且它们的表观存在是由于我们还未能足够深入地了解大自然所致。因此,我相信这一类数字只可能是一种基本形式,例如π和e。

图3.1 伊尔莎·罗森塔尔-施奈德(1891-1990)。〔8〕
爱因斯坦所说的是存在某些表观常数,它们是按我们的习惯用具体的单位测量事物所创造的。玻尔茨曼的辐射常数就是这样的常数。它恰好是能量单位和温度单位之间的换算因子,颇像华氏温标和摄氏温标之间的换算因子。真正的常数应该是纯粹的数字,而不是带有“量纲”的量,如速度或质量或长度。带有量纲的量在倘若我们改变表示它们的单位时经常会改变它们的数值。甚至真空中的光速也不能算是爱因斯坦正在寻求的真正常数中的一个。速度的单位是每单位时间的长度,所以不能被证明是爱因斯坦寻找的像π这样的“基本的”数的组合。它可以等于每秒186 000英里或每秒30万公里。这两个数目不可能用物理学的终极理论解释。相反,我们必须寻找另一个具有速度量纲的大自然的常数。这个量与光速之比则必是一个纯数字,没有量纲。于是就存在这样的可能性,可通过像π或数学的其他任何数来计算这可能的数。
罗森塔尔-施奈德回答〔9〕并提到了普朗克的思想,她作为一名学生以这些思想研究了普朗克用来创造他的“自然的”单位的三个特殊的常数:
然而,我仍然烦恼——这就是为什么我要再次带着我的问题打扰您——关于普适常数问题,就像普朗克过去常列举的:引力常数、光的速度、作用量的量子,……它们与外界条件如压力、温度都没有关系,……而因此它们与不可逆过程的常数是灿然有别的吗?如果所有这些常数完全是不存在的,后果将是灾难性的。
如果我正确理解普朗克的话,他认为这种普适常数是“绝对的量”。如果现在你要声明它们全是不存在的,在自然科学中究竟给我们留下什么呢?这对于一个普通百姓有比你能想像的更加多的烦恼。
爱因斯坦的这位笔友抱怨没有纯粹的大自然的常数存在的后果。如果它们全是不真实的,对于物理学的实在性而言还有什么基石呢;为什么今天的宇宙似乎和明天一模一样?她误解了爱因斯坦的关于没有自由的大自然的常数的说法,认为他的意思是这些常数不是恒定不变的,如果当他仅仅是指他相信它们不是无约束时。更深层次的理论最终会确定这些常数。爱因斯坦感觉到他的信误导了他的通信者,因此他于1945年10月13日作了更详细的回答,〔10〕对这情况作了一个完整的分析。首先,他注意到物理学公式中恰好有像2、π或e(其数值约等于2.718)这样的量。在下一章中我们将对它们作进一步讨论。爱因斯坦注意到它们往往会在物理学公式中出现,但它们的数值通常不是很大也不很小:〔11〕它们与数字1从未有很大差别。它们可能是大十倍或小十倍,但不会大或小百万倍。这是他无法解释的事。对物理学家来说,这似乎真的遇上了一场好运气。〔12〕
从你的信中我明白,你没有掌握我关于物理学普适常数的暗示。因此我将试图把这事说得更清楚些。
1.基本数。这些数是根据数学的逻辑发展,按某种必然性作为独特的个别结构式出现。
例如:e=1+1+1/2!+1/3!+…
π也是这样,它与e有密切联系。与这类基本数相反,其他的数不是用明确结构的方法来表达的。
它们似乎是隐藏在事物的本质之中,这种基本数就其量级而言与数1无异。至少只要考虑的对象限于“简单的”,或根据情况,“自然的”构成物,然而这个命题不是基本的,也不是可以明确地界定的。
但是爱因斯坦知道这些基本数不是大自然的最有意义的常数。爱因斯坦解释说,通常的常数,如光速、普朗克常数或引力常数,都具有质量、长度和时间的不同幂次的量纲。由这些量纲我们可以建立一些组合,它们是纯粹的数字,但我们可能需要引入其他量来完成组合。他说:
现在不妨说存在一种完备的物理学理论,在其基础方程中出现“普适的”常数c1,……cn。这些量可能以某种方式简约成克、厘米和秒。选择这三个单位显然是十分合乎惯例的。c1,……cn这些量中每一个各有用这些单位组成的量纲,我们现在按照这样的方式选择条件,即c1,c2,c3具有这样的量纲,不可能由它们来构成无量纲的乘积。于是人们可以将c4c5等,按照这个方式乘上由c1,c2,c3的幂得出的因子,得到的这些新符号
为纯粹的数。这些就是理论体系的真正普适常数,这些常数与常规的单位毫不相干。
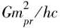
假设他的c1,c2,c3就是普朗克的c,h和G,那么没有什么方式可将它们以幂次式组合起来,使你能得到不具量纲的纯数字。〔13〕为了得到你所需要的结果,就得乘上有其他某些有量纲的大自然的常数。例如,通过将G/he乘以某质量(如质子的质量)的平方,我们得到纯数,算它是
,近似等于〔14〕10-38。我们刚才创造的这个带星号的数是由测量具有普朗克质量作为质量单位的某个大自然常数构成的。我们可以通过将某个时间除以普朗克时间或将某个长度除以普朗克长度得出其他常数。正是这些带星号的数才是爱因斯坦认为最基本的数。不管你采用什么单位制来测量它们或表达它们,它们必须始终具有同一数值。它们来自何处?是什么将它们固定?为什么
约等于10-38,而不是103或10-68呢?爱因斯坦确实不知道,但他有强烈的信念,它们是绝对地固定的。〔15〕对它们来说不容有差别的余地:
现在我的期望是这些常数等必定是基本数,它们的数值是通过整个理论的逻辑基础确立的。
或者有人会提出这样的说法:根据某个合理的理论,不存在无量纲的数,它们的数值只有靠经验可以确定。
诚然,我不能证明这一点。但我不能想像一个统一而又合理的理论会明显包含一个数,造物主一时的念头可能正好又有不同的选择,由此将会造成一个性质上完全不同的自然定律的世界。
或者有人会提出这种说法:某个理论在其基本方程中明显包含有某个非基本的常数,该理论在逻辑上由彼此独立的零碎东西按某种方式构造而成;但我相信这个世界不会有这样如此讨厌的结构需要给以理论的理解。
在其他方面,爱因斯坦有一个常被引用的著名的说法:他真正感兴趣的是“上帝在创造世界时是否有任何选择”。他这个神秘表述的真意可以从他给罗森塔尔-施奈德的信中所引的话来说明。他要想知道,是否可以给无量纲的大自然的常数取不同的数值,而不改变物理学的定律或者对它们来说是否只有一种可能的选择。再进一步,他可能会感到奇怪,对于自然界的各种定律,常数的数值是否可能有不同的选择。我们仍然不知道。〔16〕
与罗森塔尔-施奈德交换有启发性的信件,讨论常数终止于1950年3月24日,当时爱因斯坦重申他的“宗教的”观点:当谈到基本常数和它们的数值时,上帝没有任何其他的选择:
自然定律中的无量纲常数,从纯粹逻辑的观点来看,同样可以有不同的数值,却不应当存在。对我来说,由于我“相信上帝”,这一点看来是明显的,但只有少数人抱有同样的见解。
当我们离开爱因斯坦的关于大自然常数的不可避免性的思想的时候,重新注意到其他曾被吸引来推测最终理解它们的数值的意义和可获得性的伟大物理学家的观点是很有意思的,以乔治·伽莫夫(George Gamow)为例,这位偏执的俄罗斯物理学家曾冒着生命危险逃离苏联来到美国生活和工作,在那里他成为现代宇宙学的奠基者之一,甚至对脱氧核糖核酸(DNA)分子和遗传密码的早期理解也作出贡献。伽莫夫,像所有他的当代人,能够知道在大自然里存在四种不同的力(引力、电磁力、弱作用力和强作用力)。各种力的强度都创造了一种爱因斯坦的纯数,这些数规定了这个世界。伽莫夫没有特别被这问题所吸引,即它们是否可能只具有一组四个的可能的数值。但是对他来说,完全理解那些数值——精确地计算或预言它们的能力——就像是对物理学家挥舞格子旗。当那天来到时,他们就会完全理解大自然的各种力。伽莫夫对前景有一点点消极,就像一个伟大的故事结束,或像一个人奋力攀登坐在山峰顶上一样,因为
如果当所有支配物理现象的定律最终被发现,而且出现在这些定律中的所有经验性的常数最终通过四个独立的基本常数被表达出来时,我们就能够说物理科学达到它的目的了,那样就没有什么激动人心的事情留下作进一步的探索了,而给物理学家留下的所有东西就是在自我教育的研究中对次要细节作冗繁的研究或者是对宏伟的完美的体系表示崇拜。在那个阶段,物理科学将从哥伦布和麦哲伦时代进入《国家地理杂志》的时代。〔17〕