戏剧性的物理学
类比不证明什么,那是千真万确的,但它们使人感到更自在。
——西格蒙特·弗洛伊德
爱丁顿的方法论受到那个时代持怀疑论的物理学家们无情的嘲讽。这里有一个极好的例子,即贝克、贝特和里兹勒设法捉弄《自然科学杂志》认真编辑的文章,它于1931年用德文发表:
评论零温度的量子理论
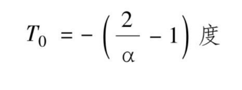
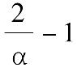
我们考察某一六角的晶体晶格。它在绝对零度时具有这样的条件和特征,即系统中所有自由度都冻结了,也就是说晶格的所有内部运动都停止了。对此有一个例外,当然就是在玻尔轨道中运动的电子。按照爱丁顿的说法,每个电子有个自由度,这里α是索末菲〔26〕的精细结构常数。除了电子之外,我们的晶体只含有质子,按照狄拉克(Paul Dirac)说法,质子的自由度数目与电子的一样,因为一个质子可认为就是电子气中的一个空穴。因此,由于因轨道运动而保留一个自由度,为了达到绝对零度,我们必须从物质中去掉每个中子的
个自由度(一个中子等于一个电子加一个质子;因为我们的晶体必须保持整体电中性)。所以我们得到零温度T0。

令T0=-273°,我们求得α-1的值为137,这在误差范围,与用独立方法得到的数值完全符合。一个人很容易使自己相信我们的结果与特殊选取的晶体结构无关。
剑桥,1930年12月10日
G·贝克,H·贝特,W·里兹勒
的确,对这种废话如此相信出现在某些读者身上,他们要求里兹勒在慕尼黑每周举行的索末菲物理学研讨会上讲解这项研究工作。可是,爱丁顿并不高兴,而杂志编辑伯林纳先生也不乐意,当他发现自己被看作像一头蠢驴时。态度认真的伯林纳先生立刻于3月6日发表一则“错误更正”,指出:
发表于本刊1月9日这一期里的G·贝克、H·贝特和W·里兹勒的文章,本来就不被看作是认真之作。它只是想描绘近几年理论物理学中某类论文的特征,它们纯粹是推想而且以虚假的数字作为论据。在编辑部收到这些绅士的一封信里,他们遗憾地表示他们给出的对这个观念的阐述容易引起错误的理解。
但是调皮的乔治·伽莫夫不是一个对巧妙的玩笑很快感到厌倦的人,此后不久,他和罗森菲尔德以及泡利从欧洲不同的地方分别写信给编辑,指责杂志现在发表了又一篇使人丢脸的玩笑文章并指责了另一篇带部分数字占卜术的文章。《宇宙穿透辐射之源》的作者是某个可怜的轻信的人。〔27〕为了保持杂志的水准,要求编辑立刻撤回从作者那里得到的稿件。
以下是出自马克斯·玻恩〔28〕在1944年发表的题为《物理学的实验和理论》〔29〕讲座的另一篇讽刺作品:
爱丁顿将无量纲的物理学常数与他的E空间的维度数n联系起来,而且他的理论导得函数f(n)=n2(n2+1)/2,对于相继的偶数2,4,6……这函数取值为10,136,666;……这些数确实是有启示性的数。有人曾提出,圣·约翰的《启示录》某几行著名的话应该按这样方式写的:“而我看见一只野兽浮出海面爬上来,它有f(2)个角,且它的数目是f(6)……”但是,数字x在“……还有权威给它指定延续x个月……”之中是应该解释为1×f(3)-3×f(1),还是[f(3)-f(2)]/3可以争论。
除了阐明爱丁顿在基本常数的研究工作上的困难外,许多人还承认他对广义相对论和天体物理学的不朽贡献,这些都可以在萨姆·高德斯米特〔30〕关于他自己以及荷兰物理学家克拉默斯所说的故事中找到:
伟大的阿瑟·斯坦利·爱丁顿做过一次有关他认定的从基本理论导出精细结构常数的演讲。高德斯米特和克拉默斯两人都是听众。高德斯米特懂得不多,但他认为它是牵强附会的废话。克拉默斯明白好多,并认为它全是废话。讨论之后,高德斯米特去看他的良师益友克拉默斯,并问他:“是不是所有物理学家到他们老年时都突然疯狂地背离原来的途径?”“我恐怕,”克拉默斯回答说,“不,萨姆,你不要惊慌。一位像爱丁顿这样的天才或许可能变为怪人,但像你这个家伙恰好变成比哑巴还哑巴。”
关于爱丁顿试图用代数的和数字的技巧来解释大自然的常数方面最为有趣的事就是他的科普著作对他的读者们的持续的影响。他喜欢告诉他的广大读者们有关大自然的常数的他的新“计算”,并且他传递给人的压倒之势的印象是,只要用一点点激动人心的推测和数字占卜术,就可能打开宇宙的最深藏的某些秘密。如果你注意到某些方程有接近于137和1 840的解,那么你就是与爱因斯坦相竞争的人了。不需要去观测世界,也不需要预言尚未看到的有关事物;这种竞赛的名称叫做数字的链接。
我相信,爱丁顿的研究工作,以及他的那些已大量售出的普及他的思想的科普著作——这些著作在首次出版六十多年之后,仍继续有人在阅读,鼓舞着一代梦想寻求对大自然常数作出数字占卜术解释的业余爱好者。每个星期我都收到一些信件,其中许多计算带有爱丁顿的那种研究大自然的风格和方法。他们的特点是有非常详细的数字运算,将兴趣限制在大自然常数的某个小的子集上,并不想预言任何新东西。
为了评估像这些关系式的意义,或者我们看到在上一章提出的为解释精细结构常数的数值的某种说法,我们需要问一个简单的问题。似乎给人印象深刻的公式纯因偶然而出现的机会是多少?如果我挑选少数有引起联想的数,如2,3或π,且将它们乘少数几次,有多大的可能性我们能得到一个数接近符合某个大自然的常数?对于数字占卜术者来说,不幸的是,其答案是,这些公式毫不令人惊奇。〔31〕数字公式之所以容易给人以深刻的印象是因为我们难以认清为展示公式已经做了多少深思熟虑的探索和有多少方法能达到接近的符合。例如,做一点研究,我们就能找到这一类公式,这让任何现代毕达哥拉斯的信仰者也会感到自豪:〔32〕
666+6+6+6=(6-6/6)(6+6+6)/6+6(6+6+6)/6+(6+6/6)(6+6+6)/6
但是这公式不会赋予任何启示性的意义。
爱丁顿试图详细解释大自然常数数值的尝试没有通往成功解释的途径;但他们打开了新的前景和可能性。他们提升了物理学家们的眼光,并创造出一个为之奋斗的新的前沿。他的老对手詹姆士·琼斯在1947年写到为爱丁顿的对基本理论的不成功的探索时,抓住这个全然未竟的追求的意义,他写道:
在爱丁顿的同事里,几乎没有人完全地接受他的观点;的确,也几乎没有人宣称理解它们。但是他的大体的系列想法本身似乎并非没有道理,而且某个如此综合的想法可以及时阐明我们生活的世界的本质,似乎也是有可能的,纵然这一刻尚未来到。〔33〕
爱丁顿试图为大自然的常数提出一个统一的解释,吸引了不少的拥护者。他同时代的伟大物理学家,如狄拉克〔34〕、爱因斯坦、玻尔和玻恩都发现他的说法是无益的,并有礼貌地坦诚表示他们不能理解。由于这样的反响,爱丁顿感到灰心,并且不理解为什么别人看不到他看到的事物。1944年,他向朋友赫伯特·丁格尔抱怨说:〔35〕
我将继续努力寻找是什么原因人们认为我的做法是不可理解的。但我愿意指出,虽然爱因斯坦考虑我的观点晦涩难懂,仍有数百位人士认为,我的做法对解释它(宇宙的本质)是必要的。我不可能真的认为,我的研究达到了与狄拉克相同的那种晦涩难懂的程度。然而对于爱因斯坦和狄拉克的情形,人们认为值得花精力去穿透迷雾。我相信人们终将理解我是对的,只是要在他们认清必要这样做之时——以及爱丁顿的“解说”变成时尚之时。
那一天从未来到。
〔1〕阿瑟·斯坦利·爱丁顿(Eddington),《膨胀的宇宙》,剑桥大学出版社,1933,第126页。刘易斯·卡洛尔(1832-1898),英国儿童文学作家,主要作品有《爱丽丝漫游奇境记》。
〔2〕斯克鲁顿(R.Scruton),“智慧人的哲学指南”,载《时代高等教育增刊》,2001年5月4日,第19页。塞耶斯(Dorothy Sayers,1893-1957),英国女作家。温姆西是其小说中的主人公。
〔3〕道格拉斯(A.V.Douglas),《阿瑟·斯坦利·爱丁顿的一生》,纳尔逊出版社,伦敦,1956,图版Ⅱ。原文是Hamlet,莎士比亚剧本的人物,优柔寡断的典型。
〔4〕刘易斯·卡洛尔(1832-1898),英国儿童文学作家,主要作品有《爱丽丝漫游奇境记》。
〔5〕道格拉斯,《阿瑟·斯坦利·爱丁顿的一生》,1956;普卢默(H.C.Plummer),阿瑟·斯坦利·爱丁顿,1882-1944,皇家学会会员讣告,V,1945-1948,第113-125页;基尔米斯特(C.W.Kilmister),《物理学名人:阿瑟·斯坦利·爱丁顿爵士》,帕格蒙出版社,牛津,1966;惠特克、阿瑟·斯坦利·爱丁顿,《国家传记辞典》,1941-1950,第230-233页;麦克里(W.H.McCrea),“阿瑟·斯坦利·爱丁顿爵士的往事”,载《当代物理学》,23,531-540(1982)。原文football,在美语中是指扁形的橄榄球。在英国指足球。
〔6〕塞耶斯(Dorothy Sayers,1893-1957),英国女作家。温姆西是其小说中的主人公。
〔7〕塞耶斯(D.L.Sayers),《有他的躯体》,维克多·戈兰兹出版社,伦敦,1932。这个题目是伦敦佬为人身保护令传唱的谐韵俚句,议会的法案要求在判决前向被告出示反对他或她的证据。引语出自1948年的印象第206页。索末菲(Arnold.J.Sommerfeld,1868-1951),德国物理学家,以研究原子结构著名。
〔8〕原文是Hamlet,莎士比亚剧本的人物,优柔寡断的典型。
〔9〕原文football,在美语中是指扁形的橄榄球。在英国指足球。
〔10〕他的接班人雷德曼(R.O.Redman),写道,“爱丁顿喜欢群众。有一个时期,在足球季节的每个星期六,他不是去看剑桥大学教师通常喜爱的卢格,而是去看职业足球比赛,与工人阶级足球迷大众一起”,载道格拉斯,《阿瑟·斯坦利·爱丁顿的一生》,纳尔逊出版社,伦敦,1956,第122页。玻恩(Max Born,1882-1970),德国物理学家,因对量子力学的研究获1954年诺贝尔物理学奖。
〔11〕爱丁顿《物理科学的哲学》,剑桥大学出版社,1939,第58页。狄拉克(Paul Dirac,1902-1984),英国物理学家,因对量子力学的贡献,获1933年诺贝尔物理学奖。
〔12〕爱丁顿于1944年11月早逝后,其手稿作为《基本理论》死后发表,由剑桥大学出版社在他生前的良师益友E·T·惠特克和爱丁顿的朋友编辑人员努力下于1946年出版。书名是惠特克选定的。后来,N·B·斯莱特作出努力力图将爱丁顿工作的方法论说得平易,写成:《爱丁顿的基本理论的意义和发展》,剑桥大学出版社,1947。陶伯(A.Taub)有个长篇评论,《数学评论》,11,144(1950)。C·基尔米斯特和B·O·J·塔伯,《爱丁顿的统计学理论》,克莱伦登出版社,牛津,1962。
〔13〕阿瑟·斯坦利·爱丁顿,“在英国协会的演讲”,1920,载《天文台》杂志,43,357-358(1920)。
〔14〕因为他说,“一个电子不会知道它应当是多大,除非在空间存在独立的长度供它测量自身参照。”阿瑟·斯坦利·爱丁顿,《相对论的数学理论》,剑桥大学出版社,1923,第33页。
〔15〕实际上,在宇宙的一部分只有这个数原则上是可视的,假设光的速度为有限值。在整个宇宙中质子数目可能是无限的或者有限的依赖于空间的总体几何学。
〔16〕他曾依据天文学估算宇宙的密度和体积,所以将它们相乘一起可计算宇宙质量。将这个总质量除以一个质子的质量他得到宇宙中的质子数目。这件事花费他约30秒时间来计算。坐船旅行时他要攻下的冗长的任务是把答案表示成一个整数。
〔17〕爱?丁顿,《科学中的新途径》,剑桥大学出版社,1935,第232页。
〔18〕爱丁顿,同上书,第233页和第234页。
〔19〕爱丁顿,同上书,第234页。
〔20〕虽然爱丁顿受到这些量级为1040的大数以及有关它的乘方极大的吸引,他不是第一人注意它们的外表为大自然的常数的组合。这个发现是赫曼·魏尔于1919年第一次做出的。他注意到“事实上纯数伴随电子出现,它的数量统统是相差1的;所以例如,电子半径对电子质量的引力半径之比是1040的量级;世界半径与电子半径的比可能有相似的比例”,Ann Physik59.129(1919)和Naturwissenschaften22.145(1934)。
〔21〕阿瑟·斯坦利·爱丁顿,《物理科学的哲学》,剑桥大学出版社,剑桥,1939,第69页。
〔22〕它们是13.592 6或0.007 357所以比值是1 847.57。
〔23〕爱丁顿,《科学中的新途径》,剑桥大学出版社,1935,第251页。他的解释如下:“由一个相当靠不住的论证,它似乎可能在由许多电荷形成一个理想刚性系统,它们的质量失去一百三十七分之一。”因原子核几乎是刚性的,这会给出一个近似定出的“堆积率”,《英国皇家学会会刊》,A 126,969(1930)。
〔24〕福克(V.A.Fock),由乔治·伽莫夫引自《物理学的人物传记》,哈珀和罗出版社,纽约,1961,第327页。福克是一位有影响的苏联物理学家,他试图在斯大林主义时期使爱因斯坦和他的工作能在政治上可接受。特别是,为了抵抗认为这理论是以某种方式反对辩证唯物主义的绝对真理这样的谴责,他将爱因斯坦的相对论理论重新命名为“不变性理论”,他的值得注意的关于爱因斯坦广义相对性理论的教科书,《空间、时间和引力的理论》,其英译本由帕格蒙出版社(牛津,1959)出版,包含一篇著名的前言,认为这本书对辩证唯物主义产生正面的影响是唯一的可能。(该书有周培源等的中译本,北京出版社,1965)
〔25〕贝克(G.Beck),贝特(H.Bethe)和里兹勒(W.Riezler),《自然科学》,19,29(1931)。这里的译文是由Max Delbrück提供,载《宇宙、裂变和其他物质》,F.Reines编,Adam Hilger,Bristol,1972。值得注意的是,在这个时期存在某种当真的考虑这样的可能性,精细结构常数可能会与温度的概念联系起来。保罗·狄拉克对这个可能感兴趣,同时海森伯也考虑它,海森伯叙述他对它不抱幻想,在几年后,于1935年3月27日写给狄拉克的信中说:“我根本不再相信你的猜想索末菲的精细结构常数对温度概念可能会有所作为。……当然,我是坚定地信服必须在整个理论范围确定e2/hc”,引文载克拉格(H.Kragh),《狄拉克:科学的生涯》,剑桥大学出版社,1990,第209页。
〔26〕索末菲(Arnold.J.Sommerfeld,1868-1951),德国物理学家,以研究原子结构著名。
〔27〕按照Delbrück,文献21,这是D.V.Das。
〔28〕玻恩(Max Born,1882-1970),德国物理学家,因对量子力学的研究获1954年诺贝尔物理学奖。
〔29〕第二年玻恩在给爱因斯坦的一封信中称这本小册子是他的“反-爱丁顿和米尔恩的随笔”,参阅M·玻恩,《阿尔伯特·爱因斯坦-马克斯·玻恩,通信1916-1955》,罗沃尔特出版社,汉堡,1972。1944年10月10日的信。
〔30〕德莱斯顿(M.Dresden),《克拉默斯:在传统和革命之间》,斯普林格出版社,纽约,1987,第518页。
〔31〕巴罗和蒂普勒(J.D.Barrow and F.J.Tipler),《人择宇宙学原理》,牛津大学出版社,1986,第231页。
〔32〕达德利(U.Dudley),《数字占卜学,或毕达哥拉斯何等精彩》,美国数学学会,华盛顿,1997,第7页。
〔33〕琼斯(J.Jeans),《物理科学的发展》,剑桥大学出版社,1947,第357页。
〔34〕狄拉克(Paul Dirac,1902-1984),英国物理学家,因对量子力学的贡献,获1933年诺贝尔物理学奖。
〔35〕给丁格尔(Dingle)的信,引自格罗瑟(J.G.Growther),《20世纪的英国科学家》,劳特利奇-基根·保罗出版社,伦敦,1952,第194页。