知微而识大
一隅可窥全局,观察小事微变,
可知未来重大变革。
——威廉·莎士比亚:《特洛伊罗斯和克瑞西达》
人们对涉及大自然常数的大数方面的早期兴趣的短期影响是将注意力聚焦于这样的可能性:某些传统的大自然的常数可能在整个宇宙历史的几十亿年间非常缓慢地变化。发展了几种新的引力理论,将爱因斯坦广义相对论推广到包含引力(G)变化的情况。而不是将G处理成一个常数,牛顿的G像温度一样,其强度能够随地点的不同、随时间的推移而变化。幸好,可能这不像初听时那样是毫无希望地不受约束的。为了使G的变化遵守因果定律,变化的传播速度不超过光速,且不违背能量守恒,存在单个理论能满足这些条件。许多科学家发现这个理论的某些部分,但其最简单又最完备的描述是1961年由美国物理学家罗伯特·迪克(Robert Dicke)和他的研究生卡尔·布兰斯作出的。
迪克是一位罕见的物理学家。他同样精通各专业成为数学家、实验物理学家、复杂的天文学数据的萃取人,或精密的测量仪器的设计师。他有着可能最广阔的科学志趣。他认识到引力“常数”变化的观念要经受太多观测结果的检验,利用来自地质学,古生物学,天文学和实验室物理学的数据。他并不是简单地被要想解释大数的愿望所激励。在20世纪60年代中期存在一种进一步发展的动力,即将爱因斯坦的引力理论推广到包含变化的G。有一段时间,爱因斯坦预言的有关水星的行星轨道的摆动看来与观测结果有点不太符合,尽管已经考虑到太阳的形状稍微呈非球形的情况。
迪克证明,如果允许G随时间变化,则其变化率可以选择具有与水星轨道的观测结果相符合的数值。遗憾的是,几年之后,人们发现这全是徒劳无功的事。与爱因斯坦的理论不相符合是由于我们在试图测量太阳直径中的不精确引起的,它造成似乎太阳的形状不同于它真实的形状。测量太阳的大小不是那么容易达到所需精确度的水平的,因为在太阳表面有湍流的活动。当这个问题在1977年被解决时,以变化的G来协调观测结果与理论的需要就消失了。〔25〕
1957年,在着手提出变化G理论的同时,迪克准备了一篇重要评论,涉及支持传统的物理学常数有可能变化的地球物理学,古生物学以及天文学方面的证据。他作出的有意义的评论是,解释爱丁顿和狄拉克的“大数”的问题,必定具有某种生物学方面的意义:〔26〕
这些数字之大的问题现在有一个方便的解释……一个源于统计学的大的无量纲数是存在的。这就是宇宙中的粒子数。宇宙的“现在”年龄不是随机的而是受到生物学因素制约的……[因为大数的数值变化]要排除人的存在来考虑这问题。
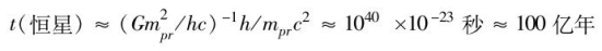
四年之后,他更详细地阐述了这个重要见解,同时特别提到了狄拉克的大数巧合,以短信发表在《自然》杂志上。迪克论证说,像我们自身这样的生物化学的生命形式归因于它们的化学基础,如碳、氮、氧和磷这些元素,它们是经过几十亿年的主序天体的演化之后合成的。(这个论点同样适用于以比氦重的任何原子的元素为基础的任何生命形式。)当恒星灭亡时,这些“重的”生物学元素通过超新星爆发在整个太空中扩散,从那时起它们结合成颗粒、星子、行星,能自我复制的“灵巧的”分子如脱氧核糖核酸(DNA),以及最后,组成我们人类自己。大体上在主序恒星的氢燃烧寿命结束之前不大可能出现观察者,而在恒星燃烧完之后他们也难以幸存。这个时间标度受大自然的基本常数控制,即

由于所有稳定的恒星都会膨胀、冷却和死灭,我们不会期望在时间显著超过t(恒星)时进行宇宙观测。我们也不可能在时间远小于t(恒星)之时观察宇宙,因为那时不可能有人存在!既没有恒星存在,也不会有像碳这样的重元素存在。自大爆炸起经过时间t(恒星)之后,我们似乎束缚于这样的事实,即生物学的生命要盯住宇宙并发展宇宙学的理论。因此,狄拉克的大数的数值N(t)绝不是随机的。它所具有的数值一定接近于当t趋于t(恒星)时N(t)所取之值。
如果我们注意在时间t(恒星)的N值,我们发现狄拉克的大数符合关系是精确的。所有狄拉克的符合说明,我们是生活在宇宙历史上恒星形成之后和恒星死灭之前的某个时期,这是没有什么值得惊奇的。迪克还告诉我们,我们不能不观测狄拉克的符合关系:这是我们这样的生命生存的前提条件通过要求G变化,就不需要放弃爱因斯坦的引力理论。如狄拉克含蓄要求的那样;我们也不需要在引力强度与宇宙中的粒子数之间推导出数字占卜术的联系,如爱丁顿曾经想的那样。大数符合关系不会比生命本身的存在有更多的令人惊异之点。
狄拉克对于这个宇宙学观测方面的非同寻常的观点的回答相当平和自若,他的第一篇有关宇宙学的评论发表已有二十多年了:
根据迪克的假设,可居住的行星只可能在有限的时期内存在。而根据我的假设,它们可以在未来无限期地存在,而且生命不需终止。在这些假设之间并不存在供作出决定的明确的论据。我宁可相信生命有可能无止境地存在的论据。
虽然他乐意承认在恒星形成以前不可能存在生命,但他不愿意承认生命在恒星烧光后不能长期延续。采用狄拉克的变化G的观念,符合关系会在任何时间继续维持,但根据迪克的假设,只能在接近目前的时代,才能看到这种关系。狄拉克并不去想根据他的理论在遥远的未来可居住的行星会存在什么问题。可是,如果引力越来越弱,人们并不清楚地知道在遥远的将来恒星和行星是否能够存在。至少,其他常数需要改变以维持引力与大自然的其他力之间的平衡,而使它们的存在成为可能。
非常明显,其他著名的宇宙学家,如米尔恩,以前曾与迪克的观点相反。米尔恩认为,在爱丁顿理论中出现大数符合是可疑的。他并不相信有任何大自然的“基本理论”可能有希望解释大数之间精确的符合关系,因为这些大数包含有了宇宙的现在年龄。由于我们所生活的当前时代没有什么特殊之处,没有什么物理学的基本理论能够预言它或把它找出来,所以理论不能解释符合关系:
有必要采用某种经验方式来确定出现于这些表示式中的量t[宇宙的现在年龄],为此简单地测定我们碰巧在观察宇宙这个时刻的位置。当然,这是不可能预测的……爱丁顿的大自然常数的理论的条件看来要预言这一点……根据先验的理由对我而言似乎是反对爱丁顿理论的论据……因为它似乎等价于预言宇宙年龄碰巧在我们进行观察宇宙的时刻;那就成为谬误了。〔27〕
相反,迪克表明,你当然能预言与宇宙年龄有关的很具体的某些事情,如果碳基生物在做预言的话。
迪克的论点可以用更加明显的方式重新表述。为了使大爆炸形成的宇宙包含有随后的复杂的生物化学的演化所必需的基本的基础材料,〔28〕它的寿命至少必须与恒星中为产生这些化学元素进行核反应花费的时间一样长。这意味着可观测宇宙至少必定有100亿年的年龄。所以,由于它不断膨胀,它必定至少有100亿光年的大小。我们不可能存在于明显较小的宇宙之中。
尽管狄拉克不喜欢迪克的说法,我们发现不寻常地应用他所引入的一个类似的观点可以拯救狄拉克的当宇宙的年龄增大时G下降的理论。后来爱德华·特勒和其他人已发现这样的问题,即引力的这种根本性变化会创造恒星的历史和地球上的生命,有人试图通过假设像太阳这样的恒星周期性地穿过浓密的星云,由此足够快速地吸积物质以抵消不断缩小的G对太阳的引力拉动的影响,来维持变-G理论的活力。伽莫夫考虑了这样一种假设:
将是极不完美的,以致整个理论的总的精确程度会下降得十分可观,即使完美的假设[G∝t-1]得救了。所以,让我们回到假设1040,它简直是全能的上帝在创世的第一天里写下的最大数。
伽莫夫强调以这种方式拼凑理论的“粗劣”之处,注意到这一点是很有意思的,因为狄拉克总是催促别人在描述物理学理论的方程式里寻找“精美”(他很想指出,精美与简洁不一定是一回事)。诚然,他曾给海森伯写过信,就他所提出的理论中的一种提出意见:
对于你的工作,我的主要反对理由是,我并不认为你的基本的……方程具有物理学的基本方程应有的充分的数学上的精确性。正确的方程,当它被发现之时,大概要包含某个新型的数学,且在纯数学家当中激起巨大的兴趣。〔29〕
然而狄拉克乐于为“吸积”〔30〕的思想辩护,不管它看来也许是多么不可能的,其理由是它可能是生命存在所必需的:
我并不明白你反对吸积假设的理由。我可能会假设太阳曾经穿行于某些浓密的星云,有充分稠密的云让地球由此带走足够的物质维持地球处在可居住的温度达109年之久。你或许会说那是不可能的,星云密度正好适合你的目标。我同意。那是不可能的。但是这种不可能性不会碍事。如果我们考虑拥有行星的所有恒星,它们之中只有一小部分会穿行于恰当密度的星云中,使它们的行星在足够长的时间里维持可能相同的温度,使高级的生命得以发展。就像我们先前所设想的那样,不会有太多的行星在其上面有人居住。可是,只要存在这样一个行星,它就充分与事实相符合。所以不反对假设我们的太阳曾有一个极不平常和未必可能的历史。〔31〕
在他最初反对迪克的观点6年之后,这是明显地改变观点。迪克将人类生命作为一个因素,包含在评估出现非常情形的可能性之中。
关于大尺度宇宙的不可避免性的一个漂亮的简单的论据,对我们而言,最先出现于牛津神学家厄立克·马斯柯尔写的邦普顿讲座的教材中。它们在1956年出版,书名为《基督神学和自然科学》。而且他把这个基本观念归功于杰拉尔德·惠特罗(Gerald Whitrow)。在惠特罗的建议的激励下,他写道:
如果我们仅仅被宇宙的庞大尺度所吓呆而低头,那么记住这一点是有好处的,即根据某些宇宙学理论,在宇宙物质的数量与宇宙的任何有限部分的状态之间存在着直接的联系,所以,如果要使地球成为可供生物居住的地方,对于现代天文学揭示的宇宙具有巨大的尺度和复杂性来说,事实上也许是必要的。〔32〕
这种简单的观测可以延伸到为我们提供某种深刻的理解,用以理解一些微妙的链接关系。这些关系存在于我们所看到的围绕我们的宇宙的表面上各不相同的方面与如果一个宇宙要包含任何种类生物,它所必需的各种特性之间。