暴胀的宇宙群
昨天,政府第一次承认经过遗传改良的农作物污染了正常的作物,不管它们相隔多远。
——萨拉·谢弗〔9〕
天文学中的宇宙有几个突出的特性,它们似乎对在宇宙中允许生命的发展是至关重要的。这些特性不是精细结构常数或电子质量意义上的大自然的常数。它们包括了那些具体规定宇宙有多么庞大,它正在以多大速度膨胀以及它包含有多少物质和辐射的数量。最终,宇宙学家们想要解释能描述这些量的数。他们甚至可能证明这些天文学中的“常数”完全是由像精细结构常数这样的大自然常数的数值来决定的。

图9.1 能描述我们的宇宙以及区别于我们能想像的服从相同定律的其他宇宙的某些关键常数。
宇宙的这些与众不同的特征是由这些天文学中的“常数”具体规定的,这些特征在提供生物化学复杂性进化的条件中起了关键作用。我们现在将更详细考察它们中的两个特征,因为用这种考察方法可以说明它们的不寻常的数值,它们创造了一个全新的观察宇宙的视角,提供了太多的“其他世界”,在那里,人择原理找到了一种自然的和不可避免的应用。
当我们更严密地考察宇宙膨胀时,我们发现它是得到精巧的平衡的,这种膨胀非常接近于临界的分界线,该分界线将那些膨胀快到足以克服引力的牵拉,并永远保持下去的宇宙,与那些最终返回到整体收缩的状态,且在未来某个有限时间朝向灾变的大坍缩的宇宙区别开来。事实上,我们是如此接近临界的分界,以致我们的观测不能肯定地告诉我们长期的预告能掌握些什么。的确,靠近这分界线的膨胀邻区是一个大奥秘:它似乎先验地极不可能是偶然存在的。再者,这并非是完全预料不到的。宇宙膨胀得太快就不可能将物质聚拢以形成星系和恒星,于是复杂生命的基础材料无法造就。相反,如果宇宙膨胀得太慢,那么在恒星形成所需经过的几十亿年之前它就将崩坍进入收缩。
惟有位于非常接近临界的分界上的宇宙能够生存足够长的时间,并且膨胀温和,足以使恒星和行星形成。这不是偶然的,我们发现我们本身生活在宇宙明显开始膨胀的几十亿年之后,并目睹宇宙位于接近临界的分界的膨胀状态(见图9.2)。

图9.2 如果生命要演化,宇宙必须膨胀,达到接近临界的分界处,膨胀过慢的宇宙将在恒星有时间形成之前崩坍。膨胀太快的宇宙不允许物质凝聚生成像星系和恒星这样的物质岛。在非以上两种情况下,生物化学的复杂性的基础材料才有可能形成。
我们的宇宙的第二个独有的特征是它的均匀性。各个星团超出星系尺度的水平差别是很小的,平均只有大约十万分之一。这一点是重要的,因为如果差别非常大,那么星系会很快合并成浓密的团块,而黑洞会在支持生命的环境得以建立之前很久就已形成。即使它们能够建立,星系范围内的引力强度会大到足以打乱行星环绕恒星(如太阳)的轨道。相反,如果团块尺度比观测到的小得多,那么物质密度上的非均匀性会过于微弱,从而使星系和恒星永远难以形成。再者,这宇宙会失去生命的生物化学的基础材料:一个比较简单又无意义的地方。
自从1980年起被人看好的宇宙学理论对为什么宇宙显示出接近于扁平状,它的较小(而不是太小)的团块水平以及非常大的尺寸提供了一种解释。〔10〕现在这些特征似乎可用一系列事件来解释,这些事件很可能出现在任何类型的宇宙,不论它如何开始膨胀。这个关于极早期宇宙的理论引进了一个历史插曲叫做“暴胀”。它给一个膨胀中的宇宙的简单图像增加了一点光彩。但是这缕光彩有巨大隐含的意义。关于膨胀中的宇宙的标准的大爆炸图像从20世纪20年代起就伴随我们了,它具有一个特殊的性质:膨胀是不断减速的。不管这宇宙是否注定要永远膨胀,或是崩坍,缩回到大坍缩,由于宇宙中所有物质产生的引力吸引,膨胀总是减速的。这减速就是引力的吸引性的结果。
人们总是设想引力会保证物质和能量吸引其他形式的物质和能量。但是在20世纪70年代,粒子物理学家们开始发现,他们的关于物质如何在高温下变化的理论,包含有新的物质形式,称作“标量场”,它们彼此间的引力作用可能是相斥的〔11〕。如果在宇宙的极早期历史的某个阶段这些标量场成为宇宙密度的最大贡献者,然后宇宙的减速将被加速的势头所替代。很明显,看来,要是这类标量场真的存在,那么在宇宙开始膨胀不久之后,它们必然成为宇宙的最有影响的组成部分,而它们的影响会是十分短暂,但是决定性的。不久之后,它们将衰变得无影无踪,进入普通物质和辐射的宇宙海洋中。
暴胀宇宙理论提出,在宇宙历史的非常早的阶段出现过短时期的加速膨胀(见图9.3)。这是可能发生的,因为无处不在的标量场开始支配宇宙中的物质密度。这个场于是需要衰变得十分快。当它这样做时,它的能量以一种复杂的方式将宇宙加热,过一阵,宇宙恢复到它的平常的减速膨胀。

图9.3 在宇宙历史的早期阶段,“暴胀”是加速膨胀的短暂时期。
这个短暂的暴胀插曲听起来似乎无足轻重。但事实并非如此:一个极短时期的加速膨胀可能解决许多我们在宇宙学上的重大问题。在过去,短时期的加速膨胀的第一个结果是它使我们理解为什么我们的可视的宇宙是在如此接近分隔开放的宇宙和封闭的宇宙的临界分界的地方不停地膨胀。事实上,我们仍然如此靠近这个分界,尽管经历了约130亿年的膨胀,这是十分奇妙的事。由于对精确位于临界分界的任何偏离将随时间推移而稳定扩大,膨胀必定开始于非常接近这个分界,以至今天仍然如此接近(我们不可能精确地位于分界之上〔12〕)。但是改变方向离开临界分界的膨胀趋势恰好是引力的吸引作用的另一个结果。只要看一看图9.2,看到的显然是,随着时间向前推移,开放的和封闭的宇宙离开临界的分界变得越来越远了。如果引力作用力是相斥的且加速膨胀,那么当这情况将持续,它会驱动膨胀怎样更接近于临界的分界。如果暴胀持续足够长时间,〔13〕它可能解释为什么我们的可视宇宙仍然如此惊人地接近临界的分界。宇宙的这个支持生命的特征无须从大爆炸的特殊开始条件产生。
宇宙的短暂的一阵加速的另一个副产品是消除宇宙膨胀中的任何不规则性,而且膨胀在各个方向上以相同速率极快地进行,正如我们今天看到的一样。这为宇宙膨胀的极端对称的特点提供了一种解释,这一特点由于其神秘和不可能始终令宇宙学家们惊诧不已。存在着如此多的途径,以致无序的状态大大多于有序的状态,使人们可以预期,随机地从帽子里拉出的宇宙应是一个很不对称的和无序的。〔14〕
如果暴胀发生了,今天环绕我们的整个可视的宇宙必是由某一区域膨胀而来,该区域远小于原先老是减速膨胀应在的区域,就像它在传统的(非暴胀的)大爆炸理论中一样。我们的暴胀始发地之微小具有如此微妙的特征,它为以下两种性质提供了一种说明:在整个宇宙的膨胀中存在高度均匀性,以及由美国国家航空航天局(NASA)的宇宙背景探测(COBE)地球卫星看到的非常小的非均匀性。这些都是随后发展成星系和星团的种子(见图9.4)。

图9.4 如果暴胀发生了,今天围绕我们的整个可视宇宙是由某一区域膨胀而来,这区域远小于如果膨胀总是减速所始发的区域,如同传统的(非暴胀的)大爆炸理论中的情况一样。
如果宇宙加速膨胀,那么整个我们可视的宇宙能从一个区域膨胀产生,这区域足够小,光信号可在极早的时候穿过。这种光的穿越使原始区域内的各种条件保持均匀。任何不规则性会极快速地得到消除。在老的、非暴胀的大爆炸理论中情况是极不相同的。我们的宇宙的可视部分必须出现于比光线能够协调及匀和的区域远为巨大的区域。因此为什么往天空各个方向看我们可视的宇宙如此相似,如同观测结果所示的那样,达到十万分之一的程度,这完全是一个秘密。可视宇宙的一部分将不会有时间接收来自遥远另一部分宇宙的光线。
发展成为我们的可视宇宙的微小区域不可能始于理想匀和的区域。那是不可能的。始终必须有某种细微水平的随机涨落出现。物质和能量的量子颗粒需要它。令人瞩目的是,暴胀期间这些基本涨落伸展以至它们扩大到遍及非常大的天文学的尺度,在那里它们看来已被宇宙背景探测(COBE)地球卫星探查到。〔15〕在第二年,它们要受到另一颗叫“微波各向异性探测”(MAP)的地球卫星的详细调查,这颗卫星是在2001年7月发射的。〔16〕如果暴胀发生过,它接收的信号应该有很特殊的形式。迄今为止,宇宙背景探测器所采集的数据与预测非常符合,但是可观测信号的真正有决定性的特征通过比较天空的各分隔区的温度差,似乎要比宇宙背景探测器所能看到的远小得多。新的地球卫星的观测在2001年和2002年有望由微波各向异性探测(MAP)进行,此后五年由欧洲太空局的普朗克观测者组织(Planck Surveyor Mission)进行。他们将借助由地面对天区较小部分日益精确的观测。
在图9.5中,我们能看到由暴胀宇宙模型对带角度的涨落变差所作的典型预测,连同近地面上空靠用气球采集的观测数据。地球卫星观测将使实验的不确定性减少到小于预期曲线的幅度,而且会提供极早期宇宙的特定的暴胀宇宙学模型的必然是证据有力的测试。很明显,这些观测为我们提供了一种直接的试验性的探测,探测当宇宙处在只约有10-35秒历史时所发生的事件。

图9.5 暴胀宇宙模型关于涨落的大小和变差随天区上角度间隔变化的典型的预言曲线,画在一起的还有地球卫星和近地球表面上空的气球所采集的观测数据。〔17〕
暴胀意味着整个可视的宇宙是一个区域的膨胀图像,这个区域足够小,允许光信号在宇宙历史的非常早的时期穿过它。然而,我们宇宙的可视部分正好是直径约10-25厘米的因果相关的小斑的膨胀像。
在那小斑的边界之外存在许多(或许无穷多)其他这种因果相关的小斑,它们将全部经历不同程度的暴胀以产生我们宇宙的延伸的区域。这些区域位于今天我们可视的范围之外。这种情况导致我们预期,我们的宇宙在我们能看到的可视的范围内。拥有高度复杂的布局和条件,这个可视范围大约有150亿光年之远,而超过这一范围更远则不大可能有典型性。这个复杂的图景称作“混沌暴胀”。〔18〕
在我们可视的范围外,宇宙大概会有不同的结构,这一点始终被人们所接受。暴胀宇宙研究模型始终被认为具有过多实证主义的可能性,悲观主义哲学家们常提出这一点,但并无有利于它的肯定的证据。情况已发生了变化:混沌暴胀宇宙模型给出第一个正面的理由,预料于我们的视界外的宇宙在结构上异于我们能看到的部分。
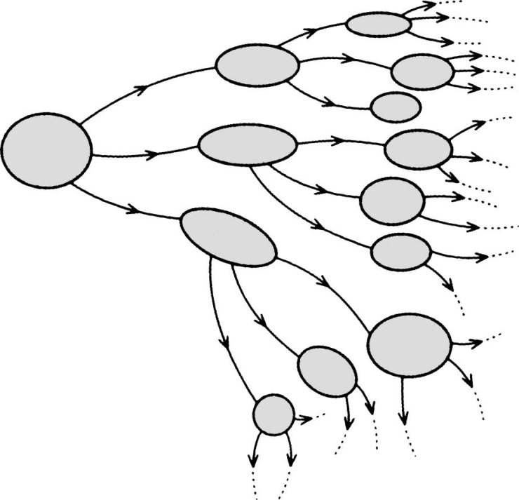
于是,两位移居到美国的俄罗斯科学家亚历克斯·维伦钦和安德烈·林德认为,情况可能更加复杂。如果某一区域发生暴胀,那它必然会在本身内部创造条件——从许多亚区域之内发生进一步暴胀的条件。这个过程能延续到无限的未来,已暴胀的区域产生更多的亚-区域,它们又暴胀再产生更多的亚-区域,它们又发生暴胀,如此继续……以至无限。这过程没有止境。这就是叫做“永恒的”或“自复制的”暴胀宇宙〔19〕(见图9.6)。

图9.6 永恒的自复制的暴胀
暴胀模型的这个扩大的概念不试图产生如此一种复杂的宇宙图景。永恒暴胀宇宙的自复制特征似乎是宇宙演化灵敏度的一件必然的副产品,归因于当它很年轻时不同地方密度有小的量子涨落。
宇宙的永恒的和混沌的暴胀结构创造了一种适于考虑人类的新背景。在超出我们的视界之外以及遍及过去和未来的各个暴胀的泡体中,事物都将会产生不同的结果。每个宇宙有其不同的团块水平,并离临界膨胀状态或近或远。它就像是从几乎随机无序样品中挑拣出不同的宇宙,虽然它们不是真正的宇宙,而仅仅是大于整个我们可观测的宇宙的极端大的区域:“小型宇宙群”。
由于已对这个情景做了进一步探索,看来在这些暴胀的发泡的各个小型宇宙群中,许多事物是不同的。它们的结局具有不同的空间维数,或不同的大自然常数和力。它们之中有些不可能支持任何类型的生命复杂性,有些能支持像我们这类的生命复杂性;而另一些可能支持一种完全不同类型的生命。因此,在这里有庞大的可能无限的范围,宇宙是其他种种世界的集合,对此必须应用人择原理。
留给宇宙学家们的挑战是计算出在这个暴胀的复杂系统中出现不同的小型宇宙的概率。小型宇宙是像我们本身一样普通还是稀少的?在这种情况中“概率”有何毫不含糊的意义?而如果支持生命的宇宙是很稀少的,我们能有什么结论?再者,当我们在理论预言和观测到的小型宇宙之间作比较时,只有一个包括一切可能性的子集才可能包含观测者,这一事实是一个重要的考虑。不管支持生命的小型宇宙怎样不可能,我们一定会发现我们自己在其中的一个。
这些考虑与阐明任何未来的量子宇宙学的理论有关。这样一种理论,按其量子性质来讲,将预言这一点是“最有可能”的,即我们发现宇宙(或其诸力和诸常数)将取某些特定的数值。然而这些最有可能的数值是否会是我们观测到的那些数值这一点尚不清楚。因为只有一列范围狭窄的允许值,比如说精细结构常数,才允许宇宙中存在观测者,我们必须要在许可在它的狭窄的概率范围找到我们自己,不论它们是多么不可能。假定宇宙的其他特征,如其年龄,满足了生命的必要条件,我们必须了解使常数取这些特定范围的条件概率。表面上独立的一些常数朝向统一的趋势将使人择约束愈益严厉。为了检验这种“包罗一切的理论”,我们需要知道观测者可能存在的一切方式是受宇宙结构的各种变化的约束的,这些常数的数值决定它的性质,以及它拥有的维度的数目。