【知识准备】
一、资金时间价值
(一)资金时间价值的定义
在市场经济中,有这样一种现象:现在的100元钱和1年后的100元钱其经济价值不相等,或者说其经济效用不同。例如,若银行存款年利率为10%,现在将100元钱存入银行,1年后可得110元钱。这100元经过1年时间增加了10元,现在的100元和1年后的110元等值,这就是资金的时间价值。
资金时间价值是指资金在周转使用中产生的价值增值,也称为货币的时间价值。它包括以下两部分:
(1)由于时间延长从而周转次数增加而带来的差额价值。
(2)由于上一次周转带来的利润又被重新投入周转而带来的差额价值,又称复利,资金使用时间越长,周转次数越多,由此而带来的复利越多。
(二)资金时间价值的性质
(1)资金时间价值相当于没有风险也没有通货膨胀情况下的社会平均资金利润率。
(2)资金时间价值的实质是资金周转使用后的增值额。资金周转使用的时间越长,所获得的利润越多,实现的增值额就越大。
(3)资金时间价值是一种投资的未来报酬,货币只有作为资本进行投资后才能产生时间价值。
(三)资金时间价值的表现形式
(1)相对数。在实务中,人们习惯使用相对数字表示资金的时间价值,即用增加价值占投入资金的百分数来表示。通常用短期国债利率剔除通货膨胀率来反映。
(2)绝对数,即时间价值额,是投资额与时间价值率的乘积。
(四)资金时间价值的表达形式
资金时间价值如图2−1所示。

图2−1 资金时间价值
(1)现值P(本金)是未来某一时点上的一定量现金折合为现在的价值。
(2)终值F(将来值、本利和)是现在一定量现金在未来某一时点上的价值。
根据资金具有时间价值的理论,可以将某一时点的资金金额折算为其他时点的金额。终值与现值的计算有单利和复利之分。
二、单利
单利是指每期都按初始本金计算利息,当期利息即使不取出也不计入下期本金,计算基础不变。
单利的特征是只对本金计提利息,计息基础就是本金,每期利息相同。
(一)单利终值
单利利息计算公式为:
![]()
I为利息额;
P为现值(初始本金);
i为利息率;
n为计息期数。
单利终值计算公式为:
![]()
式中,(1+i·n)为单利终值系数。
【例2−1】假设某公司将1 000元现金存入银行,期限为5年,年利率为10%,则存款到期时的本利和,即终值为多少?
到期时的利息为:
I=1 000×10%×5=500(元)
终值为:
F=1 000+500=1 500(元)
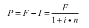
(二)单利现值
单利现值计算公式为:

式中,
为单利现值系数。
结论:
(1)单利的终值和单利的现值互为逆运算;(https://www.daowen.com)
(2)单利终值系数(1+i·n)和单利现值系数
互为倒数。
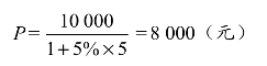
【例2−2】假设某公司希望5年后获得10 000元现金,银行利率为5%,问现在应该存入银行多少钱?

三、复利
复利是指以当期期末本利和为计息基础计算下期利息,即利上加利(利滚利)。
复利的特征是不仅要对本金计息,而且要对前期的利息计提利息,计息基础是前期的本利和,每期利息不相等。
这里所说的计息期,是指相邻两次计息的时间间隔,如年、月、日等。除非特别指明,计息期一般为1年。
单利与复利的差别:复利的时间价值不只是原始本金的利息,还包括各期利息所带来的利息。因为本能生利,利也能生利。
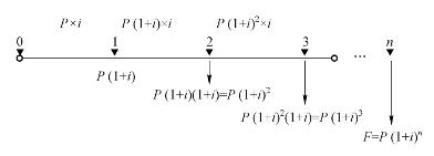
(一)复利终值
复利终值,是指一定量本金按复利计算的若干期后的本利和。
复利终值如图2−2所示。

图2−2 复利终值
复利终值计算公式为:
F=P(1+i)n
式中,(1+i)n称为复利终值系数,记作(F/P,i,n)。
则复利终值的计算公式也可写成:
F=P·(F/P,i,n)
特点:利率越高,复利期数越多,复利终值越大。
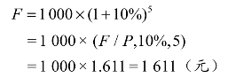
【例2−3】假设某公司将1 000元现金存入银行,期限为5年,年利率为10%,复利计息,则存款到期时的终值为:

(二)复利现值
复利现值是复利终值的对称概念,是指未来一定时间的特定资金按复利计算的现在价值。
复利现值计算公式为:

式中,
称为复利现值系数,记作(P/F,i,n)。
则复利现值的计算公式也可写成:
P=F·(P/F ,i,n)
特点:折现率越高,折现期数越多,复利现值越小。
【例2−4】假设某公司计划在10年后获得50 000元,若银行利率为8%,复利计息,问现在应该存入银行多少钱?

结论:
(1)复利终值和复利现值互为逆运算;
(2)复利终值系数(1+i)n和复利现值系数
互为倒数。
【实务训练】
实训2−1 某项目每年年初投资1万元,共投4年,按单利计息,年利率为10%,则到第4年年末本利和为多少?如为每年年末投入,则到第4年年末本利和又为多少?
实训2−2 华强机械有限公司有一张带息票据,面额10万元,票面利率为5%,出票日期为3月15日,8月14日到期(150天),企业因急需用款,凭该期票于5月15日到银行办理贴现,贴现率为10%(贴现期90天),按单利计算,银行付给企业多少钱?
实训2−3 华强机械有限公司有一项付款业务,现有甲、乙两种付款方式,甲方案是现在支付10万元,一次性结清款项;乙方案是分3年付款,每年年初分别支付3万元、4万元、4万元。如果现在银行存款利率为10%,试分析判断公司应采用的付款方式。
实训2−4 华强机械有限公司2026年年初对B设备投资10万元,该项目2026年年初完工投产。2026年、2026年、2026年年末预期收益分别为3万元、4万元、5万元,银行存款利率为10%。按复利计算,2026年年初投资额的终值和2026年年初各年预期收益的现值为多少?分析该投资项目是否可行?
【思维培养】
1.贷款业务与银行存款(或现金)、短期借款(或长期借款)、应付利息等会计科目有关系吗?
2.贷款的利息是否形成利润表中的财务费用?是否直接影响企业净利润的形成?
3.在进行资金时间价值的计算时,不同时点的资金是不能直接进行比较的,只有在同一时点才能进行比较。实训2−4中,公司还有哪些计算比较方法?
免责声明:以上内容源自网络,版权归原作者所有,如有侵犯您的原创版权请告知,我们将尽快删除相关内容。
