学会使用NPV与IRR(内部收益率)

5.学会使用NPV与IRR(内部收益率)

既然提及价格的话题,那么继续来聊聊NPV吧。NPV是指从PV(现值)中去除成本后的部分。

PV所产生的现金按照时间轴使用贴现率来贴现,再计算其总和。

关于成本,这里我们将其看做初期投资费用即可。

NPV的方便之处在于能在现在对时间跨度长的投资做出判断。如果预测能够盈利,可以决定投资,如果预测无法盈利,可以决定不进行投资、是盈利还是亏损,NPV用+或-来表示。NPV的数字越大,盈利可能越大。换言之,NPV的数字意味着能用具体金额来表示该事业本身的价值。比如初期投资100万日元,每年获得20万日元的回报,持续10年,期间贴现率为5%,那么该事业的PV为154万日元,NPV为54万日元。

■ NPV是“金额”,IRR是“比率”

既然每年的回报都是给定的,那么相对的,贴现率(=期待返利)处于什么时候会让该事业价值为0呢?

使用电子表格程序输入数字的话立刻就能得出百分之几,但我们首先还是在自己脑中做大致分析。

对于0%,大家恐怕没有什么直观感受吧。这种情况下没有折扣,所以PV为200万日元,最终NPV=+100万日元。

那么20%的情况又如何呢?假如初期投资为100万日元,那么仅复利部分就能让NPV变为负值了。

但10%又太低了。按此推算的话,中间数才是正确答案。答案为15.10%的复利会让NPV变为0,以此思维方式去分析的话,是否能理解其原理了呢?

image2

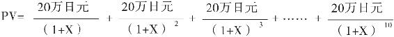
该NPV=表示0的贴现率(期待返利)的比率被称作IRR。

这次用数式进行说明(如上)。

图表9 IRR是指投资现金流量的NPV为0时的贴现率

image

所谓IRR,也可称作初期投资额与未来现金流量的当前数值在经济上会产生的利率(贴现率)。比如上图中设定每年能盈利20万日元,如果设定为15万日元或25万日元的话,IRR又会产生怎样的变化呢?每年盈利为15万日元的话,IRR为8.14%,25万日元的话,IRR为21.41%。

NPV=0万日元,也就是这次的例子中PV=100万日元时的贴现率为IRR。

在电子表格程序中,会自动计算数式中的X。

■ IRR便于和比率进行比较

那么该如何使用IRR呢?

其实将其和比例进行比较是非常方便的。比如之前所说的事业的IRR大致是15%对吧?

假如无风险收益率国债的返利大致为3%的话,我们立刻就明白这意味着它比国债多12%的回报。

假如股票平均为7%的话,则意味着它比股票多8%的回报。

我们还可以进一步将它与银行存款等利率进行比较。

这是否让你觉得非常方便呢?至少PV和NPV都很难让人有这种感觉吧。

此外IRR还有个好处,由于它基本都可以用比率表示,所以能不受金额制约,直接判断事业的收益性。比如如果本身金额很小的事业也可以成为收益优秀的事业时,我们就不会认为金额小就没有意义,反而推断“该事业说不定会拓展10倍规模”。

但IRR也有缺点。当你仅凭IRR的数字来对事业做出评价时,如果事业规模无法扩大,就会导致花费心血却收效甚微。收效的大小只能通过PV和NPV来进行确认。

因此我们需要务实地利用IRR和NPV的优点来进行价值评价(valuation)。

■ IRR与风险水准

这时可能有人会产生疑问,既然有IRR=15%的事业,那么国债投资或股票投资不就没有意义了吗?

假如有卖家看中了IRR=15%的事业,那么该事业A在获得该收益同时,风险也很高。

如果无风险收益率为3%,剩下的12%则是“与风险对等的代价”。

此外,如果事业A的业界平均期望收益为10%,那么就必须预估它要获得的回报值得承担比事业A的固有风险高5%的风险。

以PVN来分析的话,就是业界平均返利如果为16万日元每年,那么就得要求20万日元的返利。或者从初期投资考虑的话,大约需要支付123万日元的东西需要砍价到100万日元左右。

也许有事业者会怒吼:“IRR=15%的价值怎么可能”,但也会有事业者认为:“可以以该评估额出售。”

当有人想要得到该事业时,认为回报风险较低的买家觉得“14%的折扣也可以”,从而会给出比认为“贴现率不到15%就不行”的竞争对手更高的价格,当然购入的可能性也更高。像这样,价格与期望收益也随之决定了。

Q&A

——我已经明白可以通过NPV和IRR来评价事业了,但还想进一步具体了解在实际商业活动中该如何使用。

星野 举一个实际在企业中运用的例子的话,比如制造商要对新建工程等进行设备投资时,在保证划算性的同时应该支付多少投资总额呢?这时运用PV和NPV就非常方便了。此外,金融机构的利息设定是非常重要的决策,所以通常会使用较为方便的IRR。如果是商社的话,则介于制造商与金融机构之间,NPV和IRR都会混合使用。像这样根据业种和事业特点以及责任人的个人喜好选择使用,就能自然而然地发挥NPV和IRR的作用了。

——另外,虽然必须注意不确定性风险,但NPV和IRR确定之后也就意味着数值化对吧?既然如此还有不确定性,是否意味着NPV和IRR仍有不足呢?

星野 NPV和IRR的确定和“不确定性”的设定在表面看来的确是矛盾的。比如有人会提出:“收益平均值不确定,但IRR=25%的话,不就就能设定收益平均值了吗?”事实上这种情况是加入了不确定性之后的数字。换言之,并不是“该事业IRR=25%”,而是在决定了IRR的人看来“既然IRR为25%,那么即使收益有不确定性也在容许范围内”。

——进一步来说,就是指“只要IRR=25%,就值得信赖”对吧?

星野 是的。相反,“如果IRR不满25%,就不值得信赖”。关于这一部分会在下一章做详细说明。

■ 进阶解说

物价水准下滑的无风险收益率计算(0%也无所谓的理由)

在大多数情况下,无风险收益率通常采用无风险资产(国债等)的比率。而长期国债的利息不会为0,我们就可以以例如1.5%的利息来计算。但最近由于针对物价水准下滑,以美国为首的各国政府表示不能放任该情况继续发展,于是政策性地采取了0%利息政策,并表示倘若该政策无法缓解状况的话还将采取定量化宽松策略(通过管理市场供给,提出通货膨胀政策来实现实质性的负利息政策)。在物价水准下滑的危机解除之前都会采取该措施(通货再膨胀政策),政策利息实质上为0%,所以将无风险收益率看做0%的话也就意味着不受丝毫影响,最终导致贴现率的预估更为简单。(cf.《通货再膨胀与金融政策》伯·贝南克著)

市场风险溢价与beta、CAPM

即使能够计算某个企业的年平均收益(持续中的事业往往会计算最近30~60个月),也不可能预知当年的收益额最终会如何。不过从过去的业绩中我们能推测“最差大概是这种程度,最好大概是这种程度”,而这种推测就是市场风险溢价的基础。市场风险溢价这一名称就与(固定的)无风险收益率不同,包含了根据市场状况变动的(收益或股票)风险在内。但如果能确定该变动的平均值,就能预估其偏差。只要决定了平均值,就能推测大方向的走向(除非100年1次的罕见情况发生,否则平均值大致不变),大多数情况下都会靠近平均值,从长远来看最终也会贴近平均值。像这样预估偏差程度及其概率(这能从表现偏离平均的数值及其概率之间的关系的标准偏差图表中看出),就能进行大致计算。这就是金融理论中著名的CAPM(Capital Asset Pricing Model)。

此外,市场整体的偏差平均值就是“市场平均”,个别的事业(或者公司)可以通过与市场平均的比较数据来表示。计算方法是从过去数据(大约是最近30~60个月)计算市场平均及该个别事业之间有怎样的联系,用系数表现其相关性。如果相关性与市场平均相同的话系数为1,如果为8成的话系数为0.8,高5成的话系数则为1.5,完全不相关的话则无限接近于0,完全相反(负相关)的话为-1,负相关5成的话为-0.5。假设市场平均溢价为5%,相关性为1的话,该事业的溢价也为5%,相关性为1.5的话则溢价为7.5%,相关性为0.5的话溢价则为2.5%,-0.5也为2.5%(计算溢价时使用绝对值进行计算)。该市场平均的相关性被称作β(beta),表现该事业性质的则是CAPM。这时要确认通过CAPM计算出的市场风险溢价是否准确,有一个大前提,这个前提就是从过去数据中算出的平均值和其偏差关系必须能适用于将来。(cf.《公司金融学第8版》理查德·布里利、斯特沃特·梅耶斯、富兰克林·阿兰著,《金融管理》罗伯特·C.希金斯著,《新版GLOBIS MBA金融》GLOBIS经营大学院著)

不过这也很难适用于某些事业(比如适用于基础建设事业,但难以适用于新事业)。那么如果不适用的话该如何设定贴现率呢?本文将在下一节中做详细解说。

前景理论所述的人对价值的感受

image

为什么风险规避行为需要支付溢价:从行为金融中进行说明

为什么即使期望值一样,只要偏差值大就被认为风险大,从而被要求溢价呢?其中一个有力的说明就是丹尼尔·卡内曼的前景理论。这个曾获得诺贝尔奖的理论以实验证明了人类对于受损的悲伤远大于赚钱的喜悦。换言之,超出预期会得到过低评价,低于预期则会得到过高评价,所以即使平均值(期待值)相同,在总额上也会产生不同魅力。此外,偏差值越大该差距越大。(cf. The framing of Decisions and the Psychology of Choice Amos Tversky and Daniel Kahneman)

以身边的例子来说,比起隔一次请客,每次均摊给自己和对方的心理压力都会小一些(以每次双方平均支付同样金额为前提,若非如此另当别论)。

“不确定性”与风险水平

(1)无风险收益……没有风险的状况

(2)波动率……确定平均值后可能出现的波动

(3)不确定性……能预测但难以估算的平均值

(4)黑天鹅效应……不可预测的罕见情况造成的巨大冲突

(1)是指无风险收益率、(2)是指市场风险溢价、(3)是指以不确定性溢价计算贴现率。随着(2)、(3)、(4)的层层递进,会感觉比率越来越难以计算,也越来越难以防止损失。目前还没有发明出针对(4)的风险的计算方法,但现实中的贴现率并不是无法确定的(不然就难以决定价格,也无法进行商业活动了)。倘若遇到罕见的,无计可施的,没有计算方法的情况,也可以选择无视(本书也没有正面处理)。不过以此为基础预先设想(4)是有可能出现的情况的话,那么也等于承认任何事都无法做万全准备,虚心地接受结果也许与预测有差距的事实。

(cf.《禁断的市场》曼德尔·B·布罗特、理查德·L·哈德森著、《黑天鹅效应》纳西姆·尼古拉斯·塔勒布著)