预应力筋电热温度计算

3.预应力筋电热温度计算

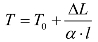
预应力筋通电后,其随温度升高而伸长,当其伸长值为ΔL时,其电热后温度为

图示

式中 T——预应力筋电热温度;

T0——预应力筋初始温度(一般为环境温度);(https://www.daowen.com)

α——预应力筋线膨胀系数(取1.2×10-5);

l——电热前预应力筋全长(mm)。

对预应力筋的电热温度应加以限制,温度太低,伸长变形缓慢,功效低。若温度过高,对冷拉预应力筋起退火作用,影响预应力筋强度,因此,限制预应力筋电热温度不超过350 °C。