2.4.2 SAMCEF Machine Tools机床分析软件包
SAMCEF Machine Tools是机床工具结构分析专业集成软件包。其功能包括机床的结构变形、机构运动、控制器作用等的建模和分析,为总体和详细设计提供分析依据。
目前,机床领域存在的主要问题如下。
●为了提高效率,提高机床工具移动部件的运动速率越来越必要。
●如果最大的速度越来越高,加速度将显著地增加。
●由于移动部件的质量,由控制器指定的加速度将产生巨大的惯性力。
●如果移动部件的质量由于材料的去除而减少,将引起刚度的降低和精度的下降。
●高速机床在工作状态时,惯性作用是主要的振动激励。
解决这些问题的方法如下。
●需要全局一致的模型描述机床的整体动态柔性特性(机构+结构+控制器)。
●敏感的部件是传递或传播振动的部件(如导轨、线形驱动马达等)。
●这些部件必须使用高级的数值计算技术进行模拟,而这些技术必须能管理移动柔性体的相互作用。
●非线性有限元与动态约束的耦合,大的相对运动接触技术是达到分析目的的关键技术。
●SAMTECH在15年前就已经在这个具有创新性的领域扩展了研究工作,最近已经将最新的功能和强大的集成技术以机床分析软件包(SAMCEF Machine-Tool)的形式推荐给机床用户。
机床有限元模型中包含的“非线性”因素有大相对位移和转角、线性驱动马达、丝杠、滑动导轨、齿轮系统、传动带、轴套、摩擦的影响、控制器的交换作用和粘弹性材料特性。
解决这些非线性分析问题需要隐式无条件稳定时间积分方法。SAMCEF机床软件包以机构分析和结构分析耦合的数学力学背景为基础。
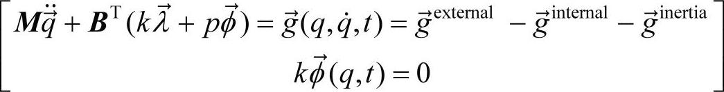
经典的非线性有限元方程:
(https://www.daowen.com)
以FEM-DOF和拉格朗日乘子描述的混合系统方程:

式中,M——质量矩阵;
B——约束矩阵;
φ——运动约束;
λ——拉格朗日乘子;
p——罚函数;
k——比例因子。
在每个时间步方程迭代求解(HHT格式)。

如图2-18所示为SAMCEF Machine Tools创建的典型机床模型。

图2-18 典型机床模型
如图2-19所示为SAMCEF Machine Tools典型的计算分析流程。

图2-19 典型计算分析流程