16.1.1 概述
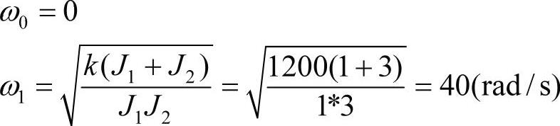
旋转机械领域最简单的两惯量系统中包括一个驱动设备惯量和一个被驱动设备惯量,如图16-1所示,J1=1kg·m2,J2=3kg·m2,连接刚度k=1200N/m。求解扭转振动固有频率。

图16-1 两惯量扭振系统模型
两惯量扭振系统的共有频率理论解为:

在SAMCEF Rotor软件中采用两个集中质量和转动惯量单元模拟转动惯量,采用等效梁单元模拟扭转刚度。
圆形截面的扭振刚度为:

连接扭振刚度为1200N/m,假设轴的直径为20mm,长度取为1m,弹性模量的计算结果为1.986E5MPa。因此建模时轴的长度必须设置为1m。