2.2.1 地震采集要素
1.地层倾角与构造走向
勘探目的层的倾角是采集参数计算和选择的一个必要因素。当然,并不要求准确知道各个地层的倾角和构造走向,但是需要知道最大的倾角限和主要的构造走向。地层倾角可以利用倾角方向上的二维地震剖面来计算,

式中,ψ为地层倾角;为速度;Δt为时间;Δx为两点间距离。构造走向可以由地震构造图和地质构造图确定。
2.地震波的最高频率和时间频率
在计算野外采集的参数时,希望在地震记录中尽可能地保存丰富的高频成分。
若要分辨的最小地层厚度为Δz,层速度为
z,在没有相干干扰的情况下,取主波长的四分之一为可分辨的最小厚度,则

式中,λm是地震信号的主波长;fm为主频率;tm为主周期。
对于周期性零相位子波,当其频带宽度超过两个倍频过程时,主频fm和最高主频fmax关系为
![]()
则有

3.分辨率与子波带宽
子波的带宽分为绝对宽度与相对宽度。设带通子波的上限频率为f1,下限频率为f2,则绝对宽度B为

相对宽度R为

当然,子波分辨率的高低主要由绝对频宽来衡量,而不能只看相对频宽,相对频宽决定子波的相位数。在零相位子波条件下,频宽与分辨率有如下关系:绝对宽度越大,则子波的脉冲性越好,分辨率就越高;绝对宽度不变,则不论主频如何,其分辨率不变;绝对宽度不变,主频越高则相对宽度越小,即子波相位数越多,此时分辨率与主频无关;相对宽度不变,则子波相位数不变,此时主频越高,绝对宽度就越大,子波分辨率越高。
4.横向分辨率
地震勘探中的横向分辨率(空间分辨率)的基本含义是:地震资料在水平方向上所能分辨的最小地质体的能力,又分为水平叠加时间剖面的横向分辨率与叠加偏移剖面的横向分辨率。一般的讨论都限于偏移前,而偏移后的横向分辨率很难讨论清楚。但无论如何,横向分辨率仍是一个空间—时间问题。
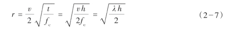
根据惠更斯原理,地面记录到的反射信号应视为反射面上各二次震源发出的振动之和,这说明反射波并不是来自反射面上某一反射点的贡献,而是一个面积上的贡献。第一菲涅耳(Fresnel)带的含义就是,当入射波前与反射面相交形成反射时,波前面相位差在λ/4以内的那些点所发出的二次振动将在接收点形成相长干涉,使记录的能量增强,而在该区以外各点发出的二次振动则相互抵消,这个区域是产生反射的有效面积,即第一Fresnel带。该带直径的一半即为第一Fresnel带半径。如果地质体的宽度比第一Fresnel带小,则反射将表现出与点绕射相似的特征,地质体的宽窄不能被分辨;只有当地质体的宽度大于第一Fresnel带时才能被分辨。所以,第一Fresnel带的大小就成为确定横向分辨率的标准。这个标准也是一个相对的概念,因为它受多种因素的影响。
设界面深度为h,地层为各向同性弹性介质,自激自收的双程时为t,地层速度为,地震波主频fc,通过推导可得横向分辨率r为

由此得到的结论如下。
(1)Fresnel带的大小与地震波频率有关。其直径或半径与地震波主频的平方根成反比。实际上,反射子波包含了不同的频率成分,每个频率成分都有不同的Fresnel带,所以,这种关系对每个频率成分都适用。由于不同频率成分Fresnel带的大小不同,高频成分Fresnel带小,分辨率就高,低频成分Fresnel带大,分辨率就低,因此提高水平分辨率的主要方法之一就是提高反射波的频率。
(2)第一Fresnel带(直径或半径)与深度的平方根成正比。
(3)第一Fresnel带(直径或半径)与速度成正比。
5.空间采样距离
空间采样距离是指采集资料时,对地震波进行接收的空间间隔。当地质体空间的三个正交方向的采样密度均满足要求时,得到的数据体才有意义。因此,为了保证所有反射有意义,在三个方向上都必须有足够的采样密度。空间采样距离,对于二维来说是指道间距Δx,即测线方向的空间采样点距;对于三维来说是指道间距和测线距。根据采样定理,为了使道间距的选择不产生空间假频,在不存在相干噪声的情况下,信号沿测线方向的空间采样间隔Δx应满足:

式中,Δx为可以选用的最大沿测线方向的道间距;λmin为信号的最小视波长(沿测线方向)。
如果存在明显的相干噪声,则对噪声采样不能把噪声的假频引入到信号的频谱中来,其目的是为了能在资料处理中消除面波干扰,即不产生面波的假频。因此要求道间距Δx小于干扰波的最大视波长λ干max的一半,即

由于要求λmin>2λ干max,因此
。
为了计算出不产生假频的最大道间距,需计算出地震信号沿测线的最小视波长,同时也应通过干扰波调查,了解探区的干扰波出现规律和干扰波的最大视波长。假设地震波沿观测测线方向传播的视速度为*,地震信号的最高频率为fmax,则有
(https://www.daowen.com)
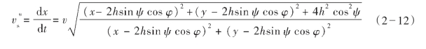
由式(2—10)可以看出,信号的最小视波长与沿观测方向传播的视速度及最高频率fmax有关,在二维情况下,界面反射波的时距曲线方程可以表示为

观测方向是任意给定的方向,即有y=f(x)的任意给定测线,其视速度为

式中,h为法线深度;ψ为地层倾角;φ为x轴方位角。
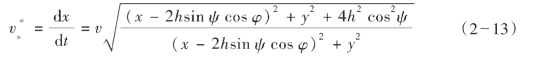
当x方向为上倾方向时,上式变为

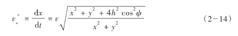
当界面为水平时,即ψ=0时,则有

从而可以得到

因此,地震波视波长不仅与最高频率有关,而且和界面深度、速度、倾角和炮检距有关,一般取最大炮检距,沿下倾方向计算视速度。
6.最大炮检距
最大炮检距指炮点到最远检波点的距离。最大炮检距的限定值与多种因素有关,并受到多种因素的制约,因此应根据工区地质条件和有关地球物理参数综合考虑,一般最大炮检距应当与目的层的最大深度相当。
在三维情况下,炮检距要用它在纵向(沿测线方向,一般称为x方向)和横向(垂直于测线方向,一般称为y方向)的投影来确定,其为
。其中,yh为非纵距;x=Lx+(Bx—1)·Δx;Lx为纵向偏移距;Bx为纵向排列接收道数;Δx为纵向接收道间距。
7.覆盖次数
覆盖次数的高低决定着叠加记录的信噪比,它与压制规则干扰波和随机噪声有密切关系,同时也与速度分析及计算静校正量有关。覆盖次数可以用式(2—16)来计算。

式中,N为覆盖次数;m为炮间距移动的道数;S为激发方式,当S=1时表示单边激发,当S=2时表示双边激发;n是地震仪的接收道数。
覆盖次数与压制随机干扰的关系为:一般来说,若覆盖次数为N,则对于压制随机干扰来说,按照统计效应可以提高信噪比
倍。因此,从统计效应考虑,覆盖次数越高越好;但实际的干扰背景不是很大的时候,过高的覆盖次数是没有意义的。一旦覆盖次数被确定下来后,对于设计观测系统就要求每个面元覆盖次数分布均匀,炮检距也要从小到大分布均匀。
对于线束状三维观测系统(该系统由多条平行的接收排列和垂直的炮点排列组成),先按二维直线观测计算覆盖次数的方法分别计算x方向的覆盖次数Nx和y方向的覆盖次数Ny,最终三维覆盖次数为N=Nx Ny。根据二维观测系统,定义x方向观测系统,把炮点线与接收点线的交点作为激发点,接收点线为接收排列。定义y方向观测系统,把炮点线与接收点线的交点作为激发点,把炮点线上炮点作为接收点。则有

式中,Nx为x方向覆盖次数;mx为炮线距除以道间距;S为激发方式,当S=1时表示单边激发,当S=2时表示双边激发;n是排列线上道数。

式中,Ny为y方向覆盖次数;L为同一炮线上的炮点数;my为相邻检波点线的距离除以同一炮线上炮间距。
8.偏移孔径
偏移孔径是指倾斜地层、断层、绕射点正确归位的距离。为了使倾斜地层和断层归位,在三维勘探设计时,必须考虑到偏移孔径,倾斜地层需要的偏移孔径公式为
![]()
式中,MA为偏移孔径;Z为深度;θ为倾角。
根据经验,偏移孔径一般选下列二者中的较大者:① 地质上估计的每个倾角的横向偏移距离;② 收集30°出射角范围内的绕射能量所需要的距离,决不能小于第一菲涅耳(Fresnel)带的半径。
9.覆盖次数渐减带
它是勘探工区边缘未达到满覆盖的区域。一般的经验是,在水平层状介质假设下,覆盖次数斜坡带大约是目标深度的20%。
10.记录长度
要求能够记录到最深的感兴趣层位的绕射,并使绕射有一个偏移孔径宽度的多道记录,使绕射在偏移中正确成像。更为直观的估计是深层大倾角反射的旅行时深度。
11.面元
面元是三维勘探中的术语。面元的大小与勘探工作量成平方关系。因此,在满足勘探任务的前提下,应尽可能采用大的面元。决定面元的因素有三个方面:第一是勘探目标,要能够分辨一个小目标,最少要有三个记录道数,因此,勘探中分辨最小目标的三分之一,即是对面元大小的基本估计;第二是无混叠频率产生,它依赖于地层的倾角、地层的层速度和最大有效频率,地层的倾角越大、最大有效频率越高,面元就越小,地层的层速度越快,面元就越大;第三是横向分辨率,如果空间两个绕射点间的距离小于最高频率的一个空间波长,它们就不能分辨开。因此,要满足横向分辨率的需要,要求对每个优势频率的波长取两个样点,此距离即面元的长度。