4.2.2 地应力
1.地应力及其评价方法
页岩气储层开发的关键在于水平井和水力压裂技术的应用,而水平井和水力压裂技术的关键在于对地下应力场的认识,当沿最小水平主应力方向钻进时钻井容易,且在之后的储层改造中容易形成与井轴垂直的裂缝面(如图4—19(a)所示),这是一种最好的开发方式;而在压裂过程中,控制合适的泵压及排量对压裂的成功至关重要(如图4—19(b)所示)。

图4—19 (a)水平井方向、压裂裂缝与地下应力关系;(b)水力压裂过程示意图
在使用测井信息求解地下应力的过程中,无论是简单的单轴应力模型,还是复杂的莫尔—库伦模型和黄氏模型,杨氏模量和泊松比都是最为关键的输入数据,其准确与否直接决定了应力求解的准确性。在有偶极子测井资料时,可以比较准确地得到纵横波速度,进而得到杨氏模量和泊松比。但是,由于成本的限制,大部分井中是不测偶极子的,尤其是在一些老的开发区中,基本是没有横波资料的。通过常规测井资料得到横波资料的办法有两种:经验公式法与岩石物理模型法。一般来说,经验公式都是从某些地区的数据中拟合出来的结果,由于地质情况的复杂性,这些公式代表的仅是特定区域的特征,因此利用经验公式进行速度预测时必须非常谨慎。关于这一点,许多学者都从不同角度进行了阐述(Xu和White,1995;Wang等,2009)。使用基于一定假设的表征岩石本质弹性模量的岩石物理模型,可以求得比较准确的岩石纵、横波速度(Wang等,2011;Sun等,2012)。
地应力既有大小,又有方向;既有垂直地应力,又有水平地应力。描述水平地应力时用到最大水平地应力、最小水平地应力、水平地应力方向三个地质概念。
地应力方向很难由地震资料、测井资料通过数值方法求得,只能通过岩心的变形、井壁的崩塌、成像测井资料上裂缝的信息、地层倾角测井等得到。而地应力的数值主要可以通过实验室的应力测量及模型计算得到。理论上来说,实验室测量可以得到精度较高的应力数值,但是却存在明显的不足,即岩心的稀缺性和测量费用的高昂,不能够得到井中的应力剖面。而根据地应力分布规律和影响它的诸多因素分析,充分利用测井资料,基于一定的模型,可以方便、迅速地得到沿深度连续分布的地应力剖面,而且节约了昂贵的地应力测试费用,具有明显的经济意义和实用价值。测井计算的地层应力是原地层应力或扰动地层应力,从时间上看则为现今地层应力。计算的基本方法是:首先得到反映岩石应力的岩石力学弹性参数;其次应用密度测井积分估算出垂直应力;最后根据地层特点选择适当的模型计算水平地层应力。
2.地层应力计算
1)上覆地层压力与孔隙压力
上覆地层压力指地下一点所受的垂直压力,通过对地层密度进行积分计算得到。典型的地层密度通过电缆测井得到,也可以利用岩心的密度(丁世村,2010):
![]()
式中,συ为上覆压力,MPa;ρ(z)为密度测井值,g/cm3;g为重力加速度,m/s2。
孔隙压力评价的目的是为了确定不同深度的地层孔隙中的流体所承载的压力。对于已钻井,可用重复地层测试仪或模块式地层动态测试仪等测得孔隙流体压力,也可由试井得到孔隙流体压力。这种方法得到的数据直接、可靠,但数据点很少,不能得到连续的剖面。这里采取经验公式计算地层孔隙压力(张晋言,2012):
![]()
式中,H为采样点深度值,m。
2)水平主应力
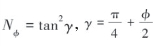
估算水平应力的模型方法是以垂直压力、孔隙压力和弹性参数为基础,分别根据不同的理论假设来计算的。计算水平主应力的模型主要有多种,分别为多孔弹性水平应变模型法、双轴应变模型法、单轴应变模型法、莫尔—库伦应力模型法、一级压实模型、组合弹簧经验关系式、黄荣樽模型(黄氏模型)、单轴应变模型法。其中,莫尔—库伦应力模型法是常用的模型。通过对比研究,页岩气储层选择黄荣樽模型进行应力计算效果较好,并给出该模型与莫尔—库伦应力模型的计算原理和结果的差异。下面进行简单介绍。
(1)莫尔—库伦应力模型
该模型以最大、最小主应力之间的关系给出。其理论基础是莫尔—库伦破坏准则,即假设地层最大原地剪应力是由地层的抗剪切强度决定的。在假设地层处于剪切破坏临界状态基础上,给出了地层应力经验关系式:
![]()
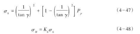
式中,σ1和σ3为最大和最小主应力;C0为岩石单轴抗压强度;Nφ为三轴应力系数。当忽略地层强度C0(认为破裂首先沿原有裂缝或断层发生),且垂向应力为最大主应力时,有:
![]()
进而有:

以上式中,
;φ为岩石的内摩擦角。
在使用该模型求取最大、最小水平主应力的时候需要确定两者之间的关系,使用研究区内的三个点进行拟合,最小应力与最大应力有比较好的线性关系,如图4—20所示。

图4—20 最大与最小水平主应力关系
其关系式为:
(https://www.daowen.com)
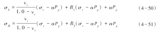
(2)黄荣樽模型
黄荣樽等(1996)提出使用地质构造应力系数计算主应力,该模型认为地下岩层的地层应力主要由上覆地层压力和水平方向的构造应力产生,考虑这两方面的因素,即可得到最小和最大水平主应力:

式中,B1,B2为地质构造应力系数;α为Biot系数;pp为地层孔隙压力,MPa;συ为垂向应力,MPa;σH为最大水平应力,MPa;σh为最小水平应力,MPa;νs为静泊松比。该模型可以得到较为准确的水平主应力。但是,构造应力系数要在实测数据的基础上确定。
(3)多孔弹性水平应变模型法
该模型是水平应力估算最常用的模型,它以三维弹性理论为基础。


式中,σν为垂向应力,MPa;σH为最大水平应力,MPa;σh为最小水平应力,MPa;αvert为垂直方向的有效应力系数(Biot系数);αhor为水平方向的有效应力系数(Biot系数);νs为静态泊松比;pp为孔隙压力;Es为静态杨氏模量;ξh为最小水平主应力方向的应变;ξH为最大水平主应力方向的应变。
(4)单轴应变经验关系式
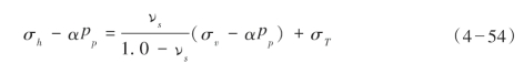
此类经验关系式发展最早,假设由于水平方向无限大,地层在沉积过程中只发生垂向变形,而水平方向的变形受到限制,无应变,水平方向的应力是由上覆岩层重力产生的。主要有尼克经验关系式、Mattews & Kelly经验关系式、Anderson经验关系式、Newberry经验关系式等。近年来,有些研究者试图通过在单轴应变公式的基础上添加校正相来提高最小水平地层应力的预测精度,即

式中,α为Biot系数;σT为构造应力作用的附加项,通过地层应力实测值与按上式计算得出的值的差来校正,且认为在一个断块内σT基本上为一个常数,不随深度的变化而变化。但由实测数据来看,不同深度处的σT是不同的。
本节选取比较常用的莫尔—库伦应力模型法以及单轴应变关系式进行分析,并尝试由极为有限的测量数据求取构造项,进而使用黄荣樽法求取地应力。
图4—21为地应力计算结果,其中水平主应力分别使用黄氏模型和莫尔—库伦应力模型进行分析,莫尔—库伦应力模型还对比了忽略地层强度系数与保持地层强度系数时的结果。可以看出,三个计算结果在整个井剖面上基本趋势一致。不考虑地层强度系数的结果数值上小于考虑地层强度系数的结果;考虑地层系数的莫尔—库伦应力模型计算结果与黄氏模型得到的结果大部分层段数值是一致的,而黄氏模型的数值细节更加丰富,且与该井中的一个实测点(808.8 m)的应力能够比较好地对应。而莫尔—库伦应力模型得到的结果只能反映大范围内的应力变化趋势,细节变化较少。选择黄氏模型作为进一步的研究资料,其准确性需要在更大量的实测数据基础上进行评价。

图4—21 某研究区某井地下应力计算结果
自左至右依次为:地层;地层岩性曲线;深度;录井岩性;气测结果;泊松比(νs);杨氏模量(Es);上覆地层压力(συ为实测值,συ_c为计算结果)与孔隙压力(pP);最小水平应力(σh_c黄氏模型计算结果,σh_Mc1考虑地层系数莫尔—库伦应力模型计算结果,σh_Mc2未考虑地层强度系数莫尔—库伦应力模型计算结果);最大水平应力(σH_c黄氏模型计算结果,σH_Mc1考虑地层系数莫尔—库伦应力模型计算结果,σH_Mc2未考虑地层系数莫尔—库伦应力模型计算结果)
3)地层破裂压力
当井内钻井液柱压力过大时,井壁会出现张性应力,导致井壁岩石发生拉张破裂,出现井漏事故。这种拉张破裂时的井内液柱压力称为地层破裂压力。用拉张破裂准则来描述井壁岩石的拉张破裂,即当井壁上的1个有效主应力达到岩石的抗拉强度时便发生地层破裂,即σ*=—ST。由拉张破裂准则求得直井地层破裂压力计算模型(朱玉林,2007):
![]()
式中,pF为破裂压力;ST为抗拉强度;Fco为内聚力。
内聚力是在同种物质内部相邻部分之间的相互吸引力,这种相互吸引力是同种物质分子之间存在分子力的表现。内聚力的计算模型为:
![]()
式中,Sc为抗压强度,K为体积模量。
最终得到包括静态杨氏模量、泊松比、单轴抗压强度、固有剪切强度、岩石抗张强度、上覆地层压力、孔隙压力、最大和最小水平主应力、破裂压力的综合应力评价图(如图4—22所示)。

图4—22 某页岩气储层研究区某井应力及弹性强度评价
其中自左至右依次为:地层;深度;录井岩性;分层;气测结果;压裂情况;泊松比(νs)& 杨氏模量(Es);出砂指数(BS)& 内摩擦角();抗压强度(Sc)&抗拉强度(ST)&固有剪切强度(SS);体积压缩系数(Cb)&基质体积压缩系数(Cma);最大水平主应力(σH_c)&最小水平主应力(σh_c);破裂压力(Pf);地层坍塌压力(BP)&内聚力(Fco)