4.3.1 地应力与弹性参数
1.岩石弹性力学参数计算
与地应力密切相关的信息为岩石弹性力学参数,这也是可以通过地球物理方法观测到的信息。岩石弹性力学参数主要通过动态法和静态法获得。静态法是通过对岩样进行应力加载测其变形得到的,其参数称之为静态弹性力学参数,与地下原地应力场更加接近;动态法则是通过声波在岩样中的传播速度计算得到的,其参数称之为动态弹性力学参数,可以克服静态弹性参数不连续、费用高的缺点,但是需要使用实测资料确定关系转换到静态参数域内。
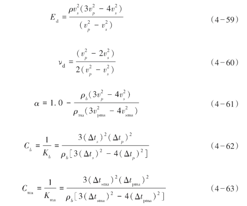
根据弹性波动理论,可以得出地层的弹性模量与声波纵、横波速度的关系:

式中,Ed为动态杨氏模量,GPa;νd为动态泊松比,量纲一;α为Biot系数,量纲一;Cb为总体积压缩系数;Cma为基质体积压缩系数。
利用横波资料计算的弹性力学参数是动态弹性参数,即在岩石快速形变过程中得到的弹性参数。而地下应力场,或者说井眼的变形和破坏是相对较慢的静态过程。在地应力计算的过程中应该使用能够反映岩石受载条件的静态弹性参数,这通常采用实际资料与计算资料的拟合经验关系式。由于没有实际资料,动静态参数的转换采用的是地区经验公式(张晋言和孙建孟,2012)。但是,这个关系式极不稳定。
(https://www.daowen.com)
式中,Es为静态弹性模量,GPa;νs为静态泊松比。
2.岩石弹性强度
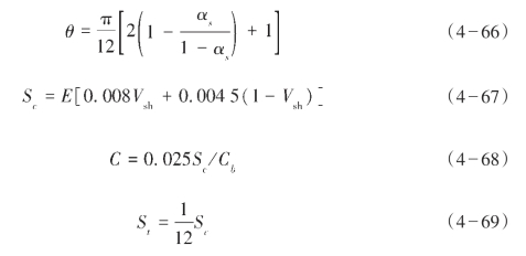
岩石固有强度包括抗压强度、抗张强度和抗剪强度。它们反映了岩石承受各种压力的特性。岩石的抗压强度是指试样在承受单向压缩而破坏时的应力值;岩石的抗张强度是指试样在单向拉伸作用下发生破坏时的应力值,一般抗张强度比其抗压强度低得多,前者为后者的
甚至
;岩石的抗剪强度是岩石力学性质中最重要的特性之一,它反映着岩石抵抗剪切滑动的能力,确切地说,它是岩石样品产生剪断时的极限强度,在数值上等于剪裂面上的切向应力值,即剪裂面上形成的剪切力与破坏面积之比。这三种岩石的固有强度参数可以在实验室测量得到。除此之外,内摩擦角也是确定井眼稳定性的关键参数之一(闫萍等,2006)。利用岩石弹性模量、泥质含量可以确定岩石抗压强度,岩石抗拉强度为抗压强度的函数,利用Biot系数确定内摩擦角。对应的经验公式为(闫萍等,2006;丁世村等,2010;张晋言和孙建孟,2012):


式中,θ为内摩擦角;αs为Biot系数,量纲一;E为杨氏模量;C为固有剪切强度;Cb为体积压缩系数;St为抗拉强度,MPa;Sc为岩石单轴抗压强度,MPa;Vsh为泥质含量;B为出砂指数;K为体积模量;G为剪切模量。