4.3.2 脆性参数与应力参数关系
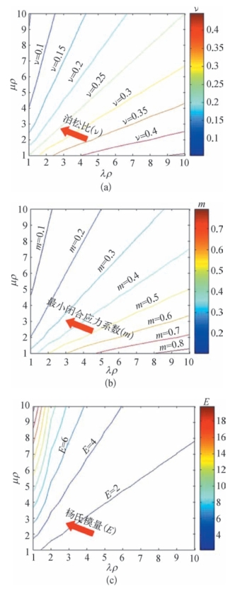
先计算杨氏模量和泊松比,再由杨氏模量和泊松比计算得到脆性指数;或先计算拉梅参数,再由拉梅参数计算得到最小闭合应力系数,都可以对优质的页岩储层进行判断。这两种评价方法本质是一样的,因为杨氏模量与泊松比、拉梅参数都必须由纵、横波速度及密度计算得到。图4—27分析了两者大小趋势的变化,以λρ为横轴,μρ为纵轴做交会图,将整数值的泊松比(ν)、杨氏模量(E)、最小闭合应力系数(m)投到交会图上,观察其规律,发现当λρ减小,μρ增大时,泊松比减小,杨氏模量增大,也就是脆性增大,同时最小闭合应力系数减小,即所需要的压裂能量降低;也就是说,脆性与最小闭合应力系数是一致的。从物理上可以解释这种现象,即脆性增大时,岩体在外力作用下容易开裂,也就是开裂时的最小闭合应力降低。这也就是我们所需要的优质页岩气储层。因此,从理论上来说,在进行弹性数据解释的时候,需要使用低λρ、高μρ、高杨氏模量、低泊松比,也即用高脆性和低闭合应力系数的弹性规律选择有利的页岩气储层位置。
弹性参数的本质是矿物组成成分,矿物组成决定了物体的弹性参数,这两者也是一致的。如图4—28所示,(a)为脆性关系图,(b)为有效闭合应力系数关系图。矿物脆性大小关系为:石英>方解石>干酪根>黏土,即岩石含石英越多,在压裂过程中越容易发生破碎并产生裂缝,当石英含量一定时,含方解石越多脆性越高;最小闭合应力系数关系为:石英>干酪根>方解石>黏土,即岩石含石英越多,压裂所需能量越小,当石英与干酪根含量一致时,方解石的含量越高,压裂所需要的能量越少。因此,从脆性角度来说,我们应当选择石英含量最高的部位压裂,当石英含量一致时,选择方解石含量高的部位,泥岩、页岩含量高的部位不适合压裂;从所需能量少的方面来说,需要选择石英含量高的位置作为压裂区域,其次选择干酪根多的位置,当石英和干酪根含量一致时,选择方解石含量高的位置,含黏土高的位置不适合压裂。

图4—27 弹性参数、最小闭合应力系数及脆性参数之间的关系(https://www.daowen.com)
(a) 泊松比;(b) 最小闭合应力系数;(c) 杨氏模量

图4—28 不同矿物组成时脆性、最小闭合应力系数与弹性参数的关系
(a)杨氏模量—泊松比—脆性—矿物关系图;(b)λρ-μρ—最小闭合应力系数—矿物关系图