习题2.2

习题2.2

1.1)3x2lnx+x2+2cosx;2)24x3-12x2+6x-2;3)978-7-111-33187-2-Chapter07-29.jpg;4)-978-7-111-33187-2-Chapter07-30.jpg;5)-978-7-111-33187-2-Chapter07-31.jpg;6)3x2cosx3;7)3esin3xsin2xcosx8)978-7-111-33187-2-Chapter07-32.jpg;9)978-7-111-33187-2-Chapter07-33.jpg;10)-978-7-111-33187-2-Chapter07-34.jpg;11)978-7-111-33187-2-Chapter07-35.jpg;12)978-7-111-33187-2-Chapter07-36.jpg;13)978-7-111-33187-2-Chapter07-37.jpg;14)978-7-111-33187-2-Chapter07-38.jpg.

2.α>0时,连续;α>1时,可导.

3.978-7-111-33187-2-Chapter07-39.jpg.

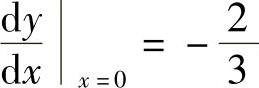
4.978-7-111-33187-2-Chapter07-40.jpgx=0=978-7-111-33187-2-Chapter07-41.jpg.

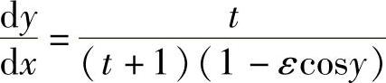
5.978-7-111-33187-2-Chapter07-42.jpg978-7-111-33187-2-Chapter07-43.jpg.

6.978-7-111-33187-2-Chapter07-44.jpg.

7.x-y-4=0.

8.1)978-7-111-33187-2-Chapter07-45.jpg;2)xx(lnx+1).

9.978-7-111-33187-2-Chapter07-46.jpg.

10.978-7-111-33187-2-Chapter07-47.jpg.