习题6.2
1.
;2)
;3)tanxtany=C;4)sinxsiny=C;5)(ex+1)(ey-1)=C;6)
;7)
;
8)y2-1=-(x-1)2.
2.1)
;2)
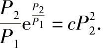
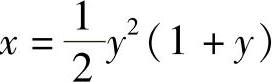
;3)y2=2x2(lnx+2);4)
;
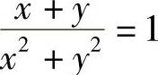
;6)x2-y2=Cy3.
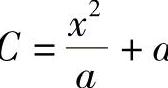
3.
4.
.
5.1)y=(x+C)e-sinx;2)2xlny=ln2y+C;3)y=x2(ex-e);
4)ysinx+5ecosx=5ecos1;5)
.
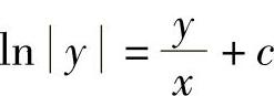
6.
.
7.y=2(ex-x-1).
8.
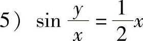
9.1)
;2)
.
10.v=
≈269.3(cm/s).
11.R=R0e-0.000433t,时间以年为单位.
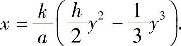
12.取O为原点,河岸朝顺水方向为x轴,y轴指向对岸,则所求航线为
