21.5.6 谱分析中常见问题
1.模态合并方法
GUI:单击Main Menu→Solution→Load Step Opts→Spectrum→PSD→Mode Combine,弹出模态合并方法设置面板,如图21-34所示。

图21-34 模态合并方法设置面板
如图21-34所示该面板包括三个子选项:模态合并方法(Mode Combination)、阈值(SIGNIF)和输出类型(Type of output)。
ANSYS提供了六种模态合并方法,即完全二次方合并方法(CQC)、分组法(GRP)、二倍和方法(DSUM)、方均根方法(SRSS)、NRL求和法(NRLSUM)和Rosenblueth方法(ROSE)。
对于合并模态,这些方法就是计算其系数。合并模态的一般方法就是方均根法,其他方法都是由它变化而来的。方均根的标准形式

式中,Ra为总的模态响应;N为扩展模态的总数;εij为耦合系数,εij=0时表明模态i和j是相互独立的,随着两个模态的相关性增加耦合系数可以达到1;Ri为第i阶的模态响应;Rj为第j阶的模态响应;Ai为第i阶模态的模态系数;Aj为第j阶模态的模态系数;Ψi为第i阶模态振型;Ψj为第j阶模态振型。
Ψi和Ψj可能是自由度响应,反力或应力,而自由度响应,反力或应力可能是位移,速度或加速度,这取决于用户的需求。通过模态合并命令,模态合并数据被写入到File.MCOM。
(1)完全二次方合并方法
该方法是Wilson提出的,即

式中,如果i=j,则k=1;如果i≠j,则k=2。

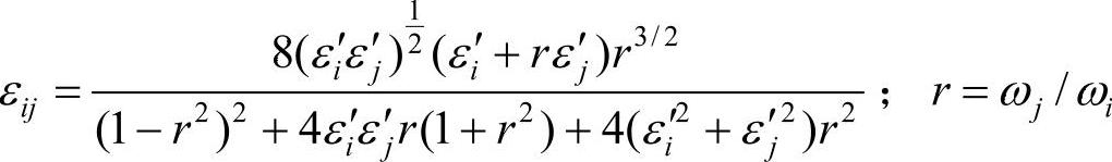
(2)GRP方法

式中,如果
,则εij=1;如果
,则εij=0。
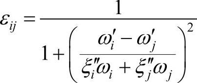
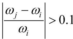
(3)DSUM方法
(https://www.daowen.com)
式中,
;ωi′为第i阶模态考虑阻尼的固有频率;ωi为第i阶无阻尼固有频率;εi′′为第i阶模态修正的阻尼比。
通过下式计算有阻尼固有频率

考虑地震持续时间定义的修正阻尼比

式中,td为地震持续时间。
(4)SRSS方法
The SRSS方法是式(21-18)的简化形式,即

(5)NRL-SUM方法
The NRL-SUM方法计算最大模态响应

式中,Ra1为模型中在某一点的最大模态位移,模态应力或模态反力的绝对值;Rai为来自其他模态中相同点对位移,应力或反力的贡献。
(6)Rosenblueth方法
Rosenblueth方法关联于ROSE命令,它的定义式为

2.谱分析中选项SIGNIF含义求解
图21-34中的SIGNIF选项,用来设置阈值。通过阈值可以控制参与模态合并的数量,即只有模态响应大于设置的阈值的模态才会参与模态合并计算。