21.6.1 输出应力的含义
2026年01月14日
21.6.1 输出应力的含义
如图21-35给出了一个单元的应力矢量图,由图可知单元共有六个应力矢量,分别是σx、σy、σz、σxy、σyz和σxz。
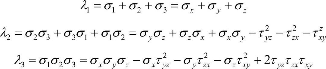
1.主应力
主应力通过求解应力分量的三次方程获得,即

将式(21-27)展开得

式(21-28)即为求解主应力的公式,设σ1,σ2和σ3为三个主应力,则
(σ−σ1)(σ−σ2)(σ−σ3)=0 将上式展开得

对比两式,得

以上三式为三个应力不变量。(https://www.daowen.com)
用σ1,σ2和σ3表示三个主应力在ANSYS以S1,S2,S3输出。把主应力进行排序以便使得σ1大多数情况为正值(拉应力),σ3大多数情况负值(压应力)。

图21-35 单元的应力矢量图
2.应力强度
应力强度σI在ANSYS中以SINT,它的计算式为

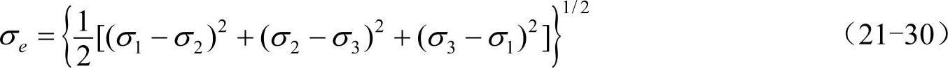
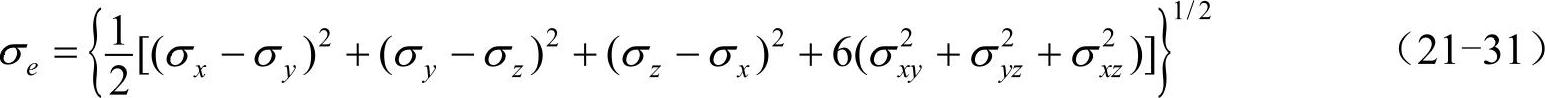
3.等效应力
von Mises应力或等效应力σe(ANSYS里以SEQV形式输出)的计算式

或
