21.6.3 失效准则
失效准则被用来估计材料失效的可能性。失效准则可以用于一个方向比另一个方向弱的正交各向异性材料。在POST1中可以用于所有的板、壳和实体结构单元(使用FC命令)。图21-36给出了后处理中可查看的失效模式。下面给读者详细介绍其理论。

图21-36 ANSYS后处理失效准则
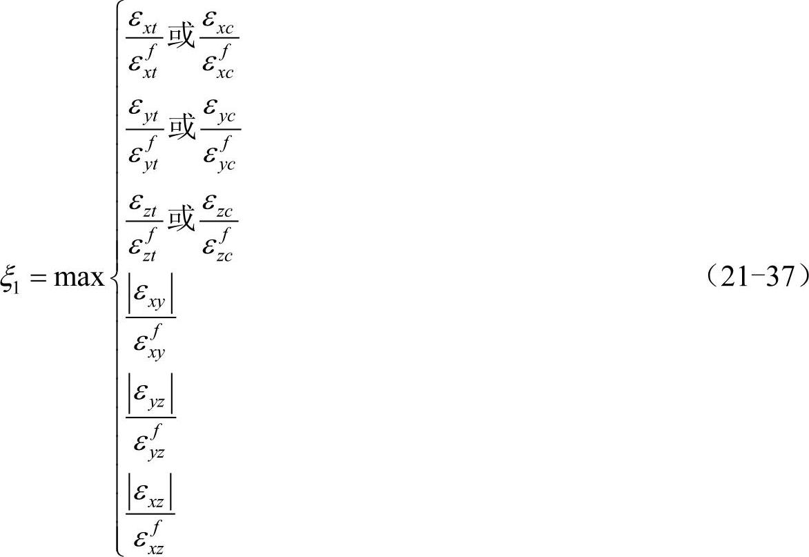
1.最大应变失效准则
该准则对应于后处理失效准则中的Maximum Strain。

式中,ξ1为应变失效准则的最大应变;εxt=max(0,εx);εx为层中x方向上的应变εxc=min(0,εx);εfxt为每一层中x方向拉伸的失效应变;εfxc为每一层中x方向压缩的失效应变;εyt=max(0,εy) ;εy为层中y方向上的应变;εyc=min(0,εy) ;εfyt为每一层中y方向拉伸的失效应变;εfyc为每一层中y方向压缩的失效应变;εzt=max(0,εz) ;εz为层中z方向上的应变;εzc=min(0,εz) ;εfzt为每一层中z方向的拉伸失效应变;εfzc为每一层中z方向的压缩失效应变;
εxy为层中x-y方向的切应变;εfxy为层中x-y方向的失效切应变;εyz为层中y-z方向的切应变;εfyz为层中y-z方向的失效切应变;εxz为层中x-z方向的切应变;εfxz为层中x-z方向的失效切应变。
2.最大应力失效准则
该准则对应于后处理失效准则中的Maximum Stress。

式中,ε2为应力失效准则的最大应力;σxt=max(0,σx);σx为层中x方向上的应力σxc=min(0,σx);σfxt为每一层中x方向拉伸的失效应力;σfxc为每一层中x方向压缩的失效应力;σyt=max(0,σy);σy为层中y方向上的应力;σyc=min(0,σy);σfyt为每一层中y方向拉伸的失效应力;σfyc为每一层中y方向压缩的失效应力;σzt=max(0,σz);σz为层中z方向上的应力;σzc=min(0,σz);σfzt为每一层中z方向拉伸的失效应力;σfzc为每一层中z方向压缩的失效应力;
σxy为层中x-y方向的切应力;σfxy为层中x-y方向的失效切应力;(https://www.daowen.com)
σyz为层中y-z方向的切应力;σfyz为层中y-z方向的失效切应力。
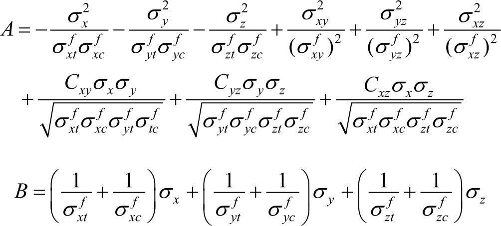
3.Tsai-Wu失效准则
该准则对应于后处理失效准则中的Tsai-Wu Strength Index。
如果用强度下标表示
ξ3=A+B (21-39)
式中,ξ3为Tsai-Wu失效准则值

式中,Cxy、Cyz、Cxz分别代表x-y,y-z,x-z的Tsai-Wu理论耦合系数。
4.强度比准则
该准则对应于后处理失效准则中的Inverse of Tsai-Wu Strength Ratio Index。
如果使用强度比表示
