三、群落多样性
群落多样性指构成某个群落的物种的丰富度和个体分布的均匀度,是反映群落结构和功能的一个重要指数。
(一)群落的多样性及丰富度
1.群落的多样性群落的多样性是群落生态组织水平独特的、反映群落功能的重要特征。它是群落生态学研究中一个极为活跃的领域。物种多样性(species diversity)包括种的丰富性相和异质性两个内容,目前描述群落的多样性常用群落的物种多样性指数。如辛普森指数(Simpson′s index)、香农—威纳指数(Shannon-weiner index)。
多样性指数,包含了群落的两种信息:即种数及各种间个体配置的均匀性。在种数恒定的条件下,各种之间的个体分配越均匀,多样性指数值越大。如果每一个体都属于不同的种,多样性指数最大;如果每一个体都属于同一物种,则多样性指数最小。为了明确表示群落结构的均匀性,可以计算群落的均匀性指数。如用香农—威纳的多样性指数(H)推算出均匀性指数(E),E是H与群落理论上的最大多样性指数(Hmax)的比值。
2.多样性的判别方法群落多样性(community diversity)是群落中包含物种数量和个体在种间的分布,是群落水平的生态特征。
(1)Shannon-weiner指数(H)

公式中:H为多样性指数,S为物种数,Pi为第i鼠种个体数占群落中的比例。对已知物种的群落,当所有的种以相同的比例存在时(种的个体数相等),多样性指数达到最大值,即:。对于物种完全均匀分布的群落,有较对物种的群落多样性高。当考虑分类阶元,如科(F)、属(G)、种(S)时H(FGS)=H(F)+HF(G)+HG(S)。
(2)均匀性指数(E)根据Shannon-weiner指数(H),Pielu(1966)定义均匀性指数为E的取值范围是0~1。

(3)Simpson(1949)集中性概率指标(λ)假设某一群落中有S个物种,共有N个个体,第i种有Ni个个体,抽取2个个体为同一种的概率为:

λ值越大,说明群落的集中性越高,多样性就越低。
Creeberg(1956)提出用作为群落多样性的指标,因为对于一个很大的群落,N和Ni是很难确定的,只能根据调查样本S、N、Ni做有偏估计,Pi=Ni/N。故有:所以,D=1-∑
,是对多样性指数的有偏估计量。根据实际应用,Simpson指数对于稀有种作用较小,而对常见种作用较大。
(https://www.daowen.com)
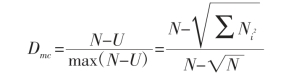
(4)McIntosh(1967)多样性指数(Dmc)McIntosh认为,群落可以看成是S维空间的一个点,每一维的坐标由一个物种的丰富度(个体数)表示。这样由点到S维坐标系原点的距离为:

显然,对于已知的N(N=∑Ni),种数越多,U将越小。当群落中仅包含1个物种时,达到最大值,Umax=N。当每个个体属于不同的种时,达到最小值,
。U是群落一致性的度量,因为多样性是一致性的补集。所以定义:

为多样性指数。0≤Dmc≤1。相应的均匀度(R)为:

其中:N为个体总数,Ni为第i种的个体数,S为物种数。
(5)Whittaker(1978)的夹角余弦群落物种组成相似系数(COS(φ))

(6)阳含熙等(1987)积矩相关系数(r)

式中Xia和Xib分别表示物种在群落a和b中的数量,对COS(φ)进行显著性检验,以95 %的显著水平作为两样地相似标准。然后,参照Fagcr(1975)和梁中宇等(1964)的归群划分法,同一群落的两个样地应当彼此相似,以保证群落内具有最大的同质性。不同群落两个样地组间不应相似。
生态系统中的啮齿动物属消费者,在能流和物流中起重要作用。生态平衡的破坏,引起了啮齿动物危害的发生。有史以来,啮齿动物就与人为敌,给人类带来了巨大的灾难,造成了巨大的经济损失。实现啮齿动物的可持续控制,将产生巨大的社会、生态和经济效益。啮齿动物群落的研究对阐明啮齿动物在生态系统中的地位和作用有着重要的意义,是研究啮齿动物可持续控制及生态控制决策的基础。国内外对啮齿动物群落的研究很多,Grant、Brown、Hafner和钟文勤等分别对草原、荒漠灌丛、高寒草甸、山区、岛屿、荒漠农田及城郊的鼠类群落进行了研究,Huntly、Retchman和夏武平等人先后研究了草原、高寒草甸及荒漠等自然景观中鼠类群落优势种对植物群落演替的作用;Grant、Bowers和刘季科等人从区域尺度验证了鼠类群落结构特征由其栖息环境决定的假设;杨春文、范喜顺和卜书海等人对不同林区的啮齿动物群落结构和演替等进行了研究。韩崇选等(2004)通过对陕西关中北部塬区灌木疏林、荒坡和退耕林地的啮齿动物群落多样性研究,探讨退耕林地与灌木疏林地和荒坡林地啮齿动物群落的演变规律,为林区啮齿动物的生态治理决策提供科学依据。
(二)群落丰富度
群落的丰富度(richenss)是表征群落中包含多少个物种的量度。不同群落给人们的直观印象之一,就是有的群落特别丰富,而有些群落的物种稀少。在地球上群落丰富度最高的也许是热带雨林。伊藤嘉昭(1975)说,当你在亚寒带针叶林中直线行走100 m距离,碰到的高大树种类不过2~3种。而在热带雨林每前进100 m,同种的树却很少出现。在动物中,对鸟类的种类了解得最为清楚,在欧洲和北美等地,鸟的种类几乎已全被记录,因而用鸟的种类来说明这一事实,可靠性很高。Mac Arthur和Wilson(1967)列举了美洲北部区23万km2所繁殖的大陆鸟类:在加拿大的冻土地带鸟类30~50种,在加拿大南部的塔伊加有120~130种,到加利福尼亚南部和墨西哥北部的浓密阔叶灌丛中有160~170种,而到墨西哥南端的热带雨林多达500~600种。