第2章 立体化学
2026年01月14日
第2章 立体化学
问题1 判断下列分子的对称性,具有何种对称元素?有无手性?



问题2 下列分子有无手性碳原子?


问题3 有多少个立体异构体?



习题
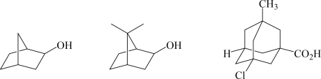
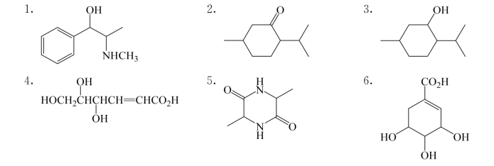
一、下列分子各有多少个立体异构体?标定其R/S.
(https://www.daowen.com)
二、Depudecin(组蛋白脱乙酰酶抑制剂,分离自真菌,已经合成)有几个手性碳原子?有多少立体异构体?

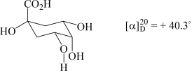
三、菌霉素(Mycomycin,a natural antibiotics,isolated from the bacterium Nocardia acidophilus,[α]D=-130°)理论上有多少立体异构体?
![]()
四、有人曾提出Cordyceptic acid的结构如下:

这个结构是不可能的,为什么?
五、山梗烷啶分离自印度烟叶,已被用作戒烟剂,没有旋光性,也不能拆分,应具有何种可能的立体结构?

六、1,2-二氯乙烷的偶极矩随温度变化如下:
t(K) 223 248 273 298 323
μ(D)1.13 1.21 1.30 1.36 1.42
为什么?