3.1 烯烃
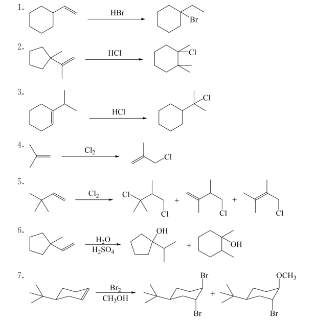
问题1 下述化合物有多少个立体异构体?分别命名.

问题2 回答问题:
(1)分别按照氢化热(从大到小)和相对稳定性(从稳定到不稳定)排序.

(2)按照燃烧热(从大到小)和相对稳定性(从稳定到不稳定)排序.

(3)哪一个较稳定?

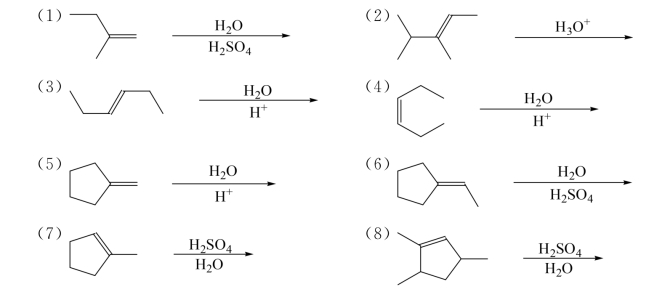
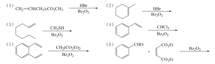
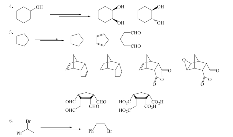
问题3 完成反应:

问题4 如何除去环己烷中微量的烯烃?
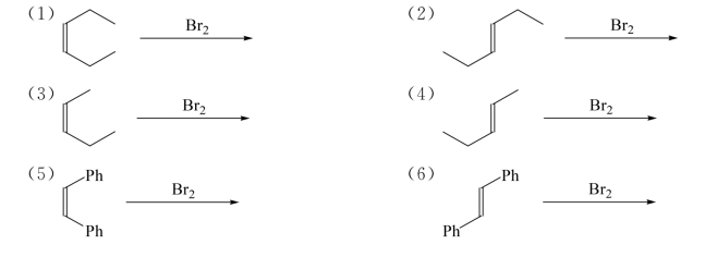
问题5 完成反应:

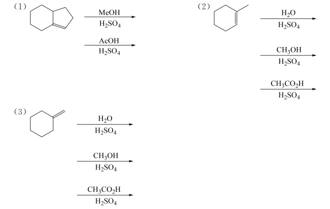
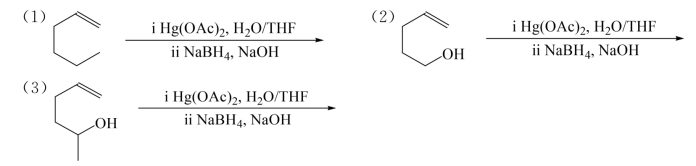
问题6 如何制备乙基叔丁基醚(ETBE)?
问题7 建议机理
双官能团分子,位置适当,可发生内反应,下面就是两个例子,给出反应机理.


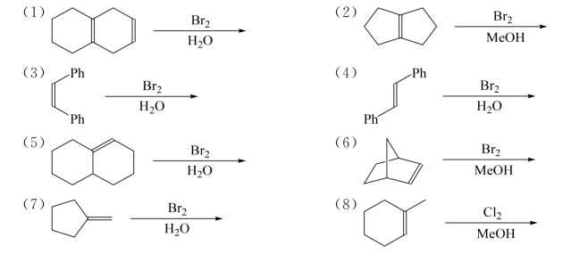
问题8 完成反应

问题9 完成反应

问题10 完成反应

问题11 完成反应

问题12 完成反应

问题13 完成反应

问题14 完成反应

问题15 完成反应

问题16 完成反应

问题17 完成反应(https://www.daowen.com)

问题18 完成反应

问题19 完成反应

问题20 完成反应

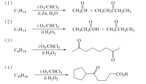
问题21 某烯烃经高锰酸钾氧化后得到如下产物,试推断该烯烃的结构.

问题22 给出反应物的结构


问题23 完成反应

问题24 完成反应

问题25 完成反应

问题26 完成反应

习题
一、完成反应

二、完成转化


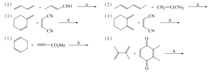
三、建议机理


四、完成反应并建议机理

五、结构推导
1.化合物(C7H14)分别经高锰酸钾氧化和臭氧化水解,发现得到的产物相同.该化合物的结构如何?
2.化合物A(C7H12)与高锰酸钾作用后,得到环己酮.A用酸处理转化成B,B与溴作用,生成化合物C,C与氢氧化钾乙醇溶液共产生D,后者经臭氧化-还原水解,给出丁二醛和丙酮醛.试推导A~D的结构.
3.光活性化合物A(C6H12)催化加氢,旋光消失,经臭氧化分解得B和甲醛,B也有光活性.给出A和B的结构.
4.化合物A(C6H12)与溴的四氯化碳溶液作用,只得到非光学活性也不能拆分的B.A在光照下与溴反应再经催化加氢生成2-溴己烷.推导A和B的结构.
5.化合物A(C5H10)经臭氧化-还原水解生成乙醛和丙醛,与溴反应只得到苏式二溴代物,用稀高锰酸钾处理只得赤式二醇.写出A和B的结构及反应并讨论其光学活性.