一场争论与一个名人
西方古代的数学研究在古希腊的欧几里得和古罗马的阿基米德那里达到了巅峰。罗马帝国崩溃之后,西方历史走入了中世纪,对于数学这是一个黑暗时代,乏善可陈,进入文艺复兴之后,数学才有了一定程度的起色,但成就还是相当有限的,值得一提的主要是两样,分别关乎一场斗争和一个名人。
一场难忘的斗争 这场斗争发生在1515年左右,当时意大利博洛尼亚大学的数学教授费尔洛用代数方法成功地解开了不含有二次项的三次方程,也就是形如x3+mx=n的方程。得到这个重大科研成果后,他没有将之公开发表以得到应有的名誉,而是将它秘藏起来,只传给了自己的学生菲奥尔。
20来年后,另一位意大利人,靠自学成才的塔尔塔利亚公开宣称他发现了不含一次项的三次方程的解法,即x3+mx=n。听到这个消息,菲奥尔向塔尔塔利亚提出了挑战。塔尔塔利亚接受了挑战。两人约定在规定的时间内解相同数量的方程,结果塔尔塔利亚因为能够解开两种形式的方程而获胜。获胜之后,塔尔塔利亚在数学界声誉鹊起,这时便发生了后来成为西方数学史上最大悬案之一。
就在他比赛胜利之后不久,一天来了个米兰人卡尔达诺,他很可能在解三次方程的方法上请教了塔尔塔利亚,据说还发誓保守秘密,塔尔塔利亚便将解法的秘密教给了他。
又过了10来年,到1545年,卡尔达诺出版了《大衍术》,其中包括了三次方程的解法。塔尔塔利亚知道这件事后便公开指责卡尔达诺违背了保守秘密的誓言。卡尔达诺好像倒没怎么样,但他的学生费拉里却站起来为师傅辩护,他说卡尔达诺根本没起过这样的誓,也没有从塔尔塔利亚那里获知解题的秘密,他是通过某第三人从费尔洛那里得到帮助的。他又反过来指责说是塔尔塔利亚从费尔洛那里搞了剽窃。这位费拉里也不是等闲之辈,他原来只是卡尔达诺的仆人,后来也成为了不起的数学家,在其师等人之上更发现了四次方程的解法,这也包括在《大衍术》中。
费拉里和塔尔塔利亚的争执在数学界乃至当时的社会上引起了广泛的争执。两人争执的最高潮是费拉里和塔尔塔利亚1548年在米兰展开了一场充满火药味的公开大辩论。辩论之后,双方都声称赢得了胜利,但究竟孰胜孰负就不得而知了。
这场争论在数学史上留下了浓重的一笔,也许是中世纪和文艺复兴给数学史留下的最深刻的印迹了。
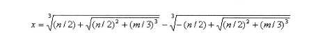
卡尔达诺1501年出生于米兰,是个私生子,但极富天才,不但是杰出的数学家,他的《大衍术》是代数学的奠基性著作之一,不仅如此,他在医术上也誉满欧洲。后来他又出版了《博弈之书》,在其中首创了概率论。还曾写了一本《事物之精妙》,其中包括了他的许多物理发现和多项发明。对于在三次方程的解法上,现在的求解公式仍然被称为“卡尔达诺-塔尔塔利亚公式”,即:

韦达 中世纪和文艺复兴时期西方最著名的数学家是韦达。大家现在从课本上看到的数学公式,例如ax2+bx+c=0之类,满是各种各样的符号,代表各种各样的意义。这些意义与符号本身之间并没有必然的联系,只是一个代号而已,就像人的名字一样。在数学上,我们像能够用公式表达这些数字与符号一样也能够用文字去表达之。例如对于ax2+bx+c=0这个方程,我可以用文字这样表达:“某一个已知数乘以某一个未知数的平方然后加上另一个已知数乘以该未知数再加上某一个已知数最后的结果是什么也没有。”(https://www.daowen.com)
怎样?也能表达吧?虽然啰唆了点。您可不要对这种啰唆的表达法感到好笑,要知道从欧几里得到阿基米德,这些伟大的数学家就是用这种啰唆法子来表述数学命题的呢!一个典型的例子是古代西方一位文法学家所编写的数学著作《选集》,它是这样表述下面的数学问题的:某人一生,童年占四分之一,青年占五分之一,壮年占三分之一,还有十三年是老年。请问他活了多少岁?这个问题您解得出吗?试试看。
到另一个著名的古代数学家丢番图时,情形有了很大改变,他将几乎是纯粹文字的代数学变成了一种简写的代数学,比原来的形式要简明多了。在他的名著《算术》中,用了某些符号来代替文字。例如,他用Δγ来表示某个未知数的平方,用Kγ来表示某个未知数的立方等等。虽然不那么容易看懂,但形式上比纯粹文字的数学表达要简单不少。
丢番图给人印象最深的是其墓志铭,上面这样写道:“丢番图的一生,幼年占1/6,青少年占1/12,又过了1/7才结婚,5年后生子,子先父4年而卒,寿为其父之半。”
您能算出来他活了多少岁吗?
数学表达方式的第三个时代就是符号数学的时代,这也是我们所处的时代,就是用ax2+bx+c=0来表达方程的时代。
对这个时代的到来做出最大贡献的就是韦达。韦达是法国人,生于1540年,死于1603年。在家乡丰特奈—勒孔特接受早期教育后到了法国中西部的普瓦提埃大学学法律,后来成了一名律师。他既非职业数学家,又没有受过正规的数学教育,只在业余时间研究些数学,成就完全是靠自己的天才加勤奋获得的。
韦达对数学最大的贡献是提出了一种崭新的数学公式表达法。他对代数学中的已知量与未知量的表达方式进行了统一,用元音字母来表示未知量,而用辅音字母来表示已知量。韦达主要用元音字母A来表示未知数,而用BCD等来表示已知量。对于同一个问题中的同一个未知量或者已知量,他就用同一个字母来表示。当然,韦达并没有将代数式完全改成今日的模样,有些他也仍然用上了文字,典型者如平方、立方等。
例如他用A、A quadratum、A cubum分别表示未知数A的一次方、平方与立方。像“a3+3a2b+3ab2+b3=(a+b)3”这个式子,韦达就写成:a cubus+b in a quadr.3+a in b quad.3+b cubo=qualia
cubo,这也很复杂,后来又有许多数学家对这种表示法进行了完善,才达到今日的模样。
