伟大的新发明
文艺复兴期间或之后不久,数学领域诞生了三个伟大的发明:对数、解析几何和微积分。
奇妙的对数 对数的形式很简单:logab=c,读为“以a为底b的对数是c”。它又可以写成这样的形式:ac=b。用一个具体的数来说吧,我们知道,102=100,这个式子可以写成这样的形式:log10100=2,称为“以10为底100的对数是2”。由此可见,在指数与对数之间存在着密切的联系,它们的实质是一样的,只是表达的形式不一样,就像我们说“阿基米德是伟大的物理学家”,又说“阿基米德是伟大的数学家”一样,两种说法实际上指的是同一个人——阿基米德,他既是物理学家,又是数学家,两句话只是着重点和表达的形式不一样而已。
对数最基本的功能之一是化乘为加、化除为减。变成公式就是:logb(xy)=logbx+logby,logb(x/y)=logbx-logby。
举个例子吧,现在我们要算16×64,如果像惯常的做法一样用乘法去算,除了心算能力很强的人,都得用笔来慢慢地乘一番,那结果还得小心出错。现在我们用对数来算算吧!
根据上面的公式,log216·64=log216+log264
我们又知道,log216=4,即24=16,log264=6,即26=64,这是不用算就知道的。这样,log216+log264=4+6=10。到这里后,我们就知道了,16×64以2为底数的对数是10,它是多少呢?您不用计算,只要拿出“对数表”来一查就知道了,这个值是1024。
我们所用的对数表一般称为“常用对数表”,就是用10为固定底数的对数表,标记为log,log66用普通的记法就是log1066。用它几乎可以查到我们实际上需要的任何对数。
我们所求的任何乘法或者除法,即使对于那些不是我们所知道的某一个数的几次方的数,也可以通过常用对数的方法求出其积或者商。例如像4368×91756这样的大数相乘的例子,通过常用对数表也可以很方便地算出其积是400790000。同样,像73958÷2539这样的数,我们通过常用对数表也可以很快算出其商是29。根本用不着笔。是不是又快又好?
这里要强调的一点是,通过常用对数表求出来的值基本上是近似值,例如上面的两个值都显然不是精确值。但这并不重要,因为在我们的实际计算工作中,特别是对于动辄就用几万几百万的大数的天文学家们来说,这样的近似值就足够了。事实上,不仅对天文学家们如此,对于我们的实际生活,那样的近似值通常也足够了。
所以,对数诞生之后,就赢得了科学家们尤其是天文学家们的赞美甚至崇拜,它实在太有用了,就像伟大的天文学家兼数学家拉普拉斯所言,对数的发明“以其节省劳力而使天文学家的寿命延长了一倍”。
事实上,它不但使天文学家们的寿命增加了一倍,还使得任何需要进行大量计算工作的人们的寿命都增加了一倍。因为,对于那些需要大量乘除法计算的人,他们每天的工作时间完全可能有一半花在不需要天才,然而必不可少的繁复计算之上,而在天文学里这样的计算最多,这就是为什么天文学家们特别赞美对数的原因。
对数的发明者叫内皮尔,或者也译作耐普尔。内皮尔是英国人,1550年出生于苏格兰爱丁堡附近的默奇斯顿城堡。他出身高贵,父亲阿契伯德·内皮尔爵士是默奇斯顿城堡的第七代领主,他自己后来成了第八代领主。内皮尔13岁时入圣安德鲁斯大学,先后娶了两个妻子,给他生了12个孩子,不过对于拥有庞大地产的内皮尔爵士来说养活这么一大家子并不困难。早在第一次婚姻后不久,他就开始了数学的研究与发现,并且萌发了对数的观念,1614年出版了《神妙的对数规则之描述》,向世人公布了他的伟大发明。
哲学家发明了解析几何 笛卡尔首先是伟大的哲学家,就像黑格尔在其名著《哲学史讲演录》中所言:“勒内·笛卡尔事实上是近代哲学的创始人。”关于他的人生我们在前面的哲学卷中已经讲述了,这里不再赘述。
笛卡尔对数学的主要贡献是创立了解析几何。解析几何最大的特色是引入了坐标。我们知道,坐标有横轴与纵轴,分别称为X轴与Y轴,通过它们可以表示各种平面几何图形,图形中每一个点在坐标轴上都可以找到相应的数值与之对应。

笛卡尔
由此可见,解析几何的主要特点是将几何学中的基本元素点与代数学中的基本元素数结合起来。不但几何图形可以通过坐标来表示,方程也可以通过坐标来表示,例如方程y=3+x,每一个x取值与相应的y值都是在坐标上的一个点,这些点就构成了一条直线。不但直线可以,曲线与曲面同样可以找到对应自己的方程。就像下面的例子一样:

以上就是一个坐标,包括X轴和Y轴,即横轴和纵轴,它也是方程y2=2px(p>0)的坐标图。
解析几何如今是数学一个极为重要的分支,它的主要创立者就是笛卡尔。1637年,笛卡尔以“Levre Premier”的笔名出版了三部论文,分别是《折光学》《论流星》《几何学》。
《几何学》共分三卷,第一卷讨论如何用直尺和圆规作图,第二卷中讨论了用“不确定的代数方程”表示并研究几何曲线,这也就是他的解析几何思想,第三谈立体与“超立体”的作图问题。
笛卡尔认为以前的数学是一种分裂的数学,甚至古希腊的数学也束缚了人们的想象力。因此,他决心要建立起一种“普遍的数学”,在这里,算术、代数、几何都是统一的。他熟悉地理学,知道很早以前人们就已经知道了经纬度的问题。通过经纬度,大地上的每个点都可以用一对数字(x,y)来表示。那么,在纸上任何一个数字当然也能够。他又想到在方程中也是两个数:一个自变量对应一个因变量,即一个x对应于一个y,这不也像地图上一样构成了一对数字(x,y)吗?不是同样能在一个平面上将之表示出来吗?他又进一步想到,所有的x值及对应的y值所代表的点(x,y)是不是能够形成某一种图形呢?他更进一步地想到,平面上的每个点,甚至平面上的某种图形,例如直线与曲线,应该同样可以用方程来表示。凭直觉,笛卡尔相信这是可以的。于是他便将这思想在《几何学》中表达了出来。
在他的《几何学》第二卷里,笛卡尔说明曲线可以用方程来表示后,做出了这样一个图:

我们可以看到,上面有一条虚线,笛卡尔经过一番证明之后,得出结论说,上面那段曲线可以用方程
来表示,这样就在曲线与方程之间建立了直接的联系。这就是解析几何的基本特质。
最伟大的数学发明 微积分有两个发明者,一个是牛顿,另一个是莱布尼茨。
牛顿的主要身份是物理学家,但也是伟大的数学家,关于他的生平我们在后面讲物理学时再说,这里只谈谈他的发明微积分。(https://www.daowen.com)

年轻时的牛顿
大约在1665年,牛顿22岁的时候,已经对微积分有了相当深的认识。这时候他用“0”表示无限小的增量,已经有了极限的含意。他同时还能够求出某个函数的瞬时变化率,它其实也就是导数。例如对于自由落体,下降距离y与时间t之间的函数关系式是
,它的导数、瞬时变化率与瞬时速度三者是同一的。在这里t是变量。牛顿就把这种函数中的变量称为流量,而瞬时变化率称为流数,将其整体称为“流数术”。
1669年左右时,他在朋友们中间散发了一本《运用无穷多项的分析学》,这是第一部关于微积分的专著,但这本书直到40余年后才正式出版。此外他还写过一些关于微积分及其应用的文章之类,不过大都直到他死也没有正式出版或者发表,他只是在与朋友们的通信中透露出一鳞半爪,或者纯粹是锁在抽屉里的手稿,因此知道的人自然很少。
博学的莱布尼茨 微积分另一个发明者是莱布尼茨。莱布尼茨被认为是整个西方历史上最博学的人物之一,《不列颠百科全书》以这样简短而强烈的语言表达了他惊人的渊博:莱布尼茨是“德国自然科学家、数学家、哲学家。他广博的才能影响到诸如逻辑学、数学、力学、地质学、法学、历史学、语言学以至神学等广泛领域”。
莱布尼茨1646年出生于德国莱比锡一个满室书香之家,他父亲是德意志名校莱比锡大学的道德哲学教授,母亲也来自教授家庭。15岁时入莱比锡大学就读,学习法律,并通晓了多国语言。
莱布尼茨立志从政,1672年进入美因茨候选的政府,不久就因才华卓著得以担任重要的外交工作,并被派往巴黎。次年又以外交使节的身份出使伦敦,在那里与许多著名的学者有过交流,例如伟大的化学家波义耳和英国皇家学会的秘书奥顿伯格等。他将自己发明的一台“计算机”(它不但会算加减乘除,甚至还会算开方立方)献给了皇家学会,被接纳为会员。
从英国回到巴黎后,莱布尼茨不久转投不伦瑞克-吕内堡公爵手下,并应公爵之邀移居其首府汉诺威,从此这里成了他的永久居住地。他在这里为公爵服务了整整三代,凡40年。
前两代公爵在位期间,莱布尼茨因其才华与勤奋备受器重与礼遇。他曾一度准备为公爵编写家族史,并为这个目的在欧洲各处旅行。但他旅行的目的与其说是为了编史,不如说更是为了倡导建立科学院。他也收到了不少成效,例如普鲁士的柏林科学院建立起来了,他荣膺首任院长,后来的维也纳科学院、俄罗斯彼得堡科学院都建立起来了,据说他还曾向康熙大帝写信建议成立科学院。
一方面由于这些工作,另一方面也由于他在科学与哲学方面业已取得的卓越成就,他一度同时被不伦瑞克-吕内堡、维也纳、柏林、彼得堡四个皇室雇佣。1713年,神圣罗马帝国皇帝封他为男爵,这是他一生荣位的顶峰了。
不过这些都并不说明他的日子过得有多好,因为后来继位的新选侯乔治·路易斯很不信任莱布尼茨,更不予重用。莱布尼茨的地位江河日下,在这种情形之下,莱布尼茨想去找个新主人,不过他的努力并没有成功,再没有一个宫廷愿意接纳他。
1714年,汉诺威选侯乔治·路易斯凭着他是詹姆士一世外孙的身份继承了英国王位,称乔治一世,是英国汉诺威王朝的建立者。这个消息传来时,莱布尼茨正在外地,于是他匆匆赶回汉诺威,然而三天前英国新王乔治一世已经走了。莱布尼茨黯然神伤,后来他又恳求乔治一世在宫廷中给他一个小小的职位,但也被拒绝了。从此这个老人只得待在几乎空无一人的汉诺威宫廷,还得时时遭受敌人的诟病甚至羞辱。
莱布尼茨大约是在1675年左右发明他的“无穷小算法”的,这里面包含了极限的基本含义,同时通过在几何上求曲线切线的方法得出了微积分中有关微分的理论。
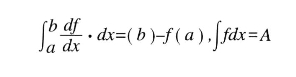
微积分中的基本概念导数是一种瞬时变化率,它其实也可以通过几何图形去看,那时它就成了曲线上某一点的切线的斜率,二者其实是一体的,只是所说的角度不同罢了。莱布尼茨用dy与dx的比值来表示这个切线的斜率,到现在这个“d”还是微分的运算符号。不但如此,莱布尼茨还看到了与“d”相反的另一种运算,即求“∫”,这就是积分。这些我们在前面都已经说过了。
在1676年左右时,莱布尼茨还给出了微积分的基本定理,即:

在这里这个A就是曲线f与下面的坐标横轴围成的曲面的面积。这个定理现在被称为牛顿—莱布尼茨定理。
从上面看得出来,莱布尼茨已经发明了相当完整的微积分,为数学做出了至关重要的贡献,因为微积分被许多数学家认为是有史以来最伟大的数学发明呢。
不过,这一发明并没有给莱布尼茨在世时带来多少荣誉,相反受其累至多,原因就在于他与牛顿之间爆发了激烈的发明优先权之争。
我们前面刚刚说过,大约在1665年左右时,牛顿已经发明了他的流数术,这其实就是微积分。但他的研究工作只有少数几个朋友知道。发明流数术多年以后,一次牛顿通过莱布尼茨在英国皇家学会的朋友奥尔登堡转给莱布尼茨一封信,在信中他简短且含糊地提到了他的发明。莱布尼茨敏锐地感觉到这就是他此时也已经想到的微积分,于是他在回信中也告诉了牛顿自己的成果。
此后,莱布尼茨的微积分方法在欧洲的数学家们中间开始流传,并由于其实用性引起了极大的反响。到1684年,莱布尼茨在一篇名叫《求不局限于分数或无理数量的极大、极小和切线的新方法以及它们异常的计算类型》的论文中正式公布了他的发明。
过了三年,牛顿在他的巨著《论自然哲学的数学原理》的注释中提到了与莱布尼茨通信的事。于是争论立即爆发了。
由于是不同国家的人,两人之间的争论便成了国家与民族的荣誉之争。结果莱布尼茨失败了,至少在他有生之年如此。因为除了他的同胞,没有人承认他是微积分的发明者,瑞士数学学会甚至公开指称莱布尼茨是剽窃者。这令他一生蒙羞。当然,现在数学史家们已经得出了结论:微积分是莱布尼茨与牛顿共同发明的,牛顿发明较早,但莱布尼茨公布较早。
1716年,晚景凄凉之极的莱布尼茨在胆结石和痛风及其引起的腹绞痛的折磨之下离开了人世,终年70岁。
他的葬礼同样寂寥,据说聊聊几名送葬者中的一个不由喟然长叹:“他其实是这个国家的荣耀,但今天却像个强盗般入土。”
令人感到不胜惊讶的是,莱布尼茨虽然有数不清的工作要做,却还能进行广泛且深入的科学与哲学研究,并且在许多方面都取得了杰出的成就,其中最重要的哲学成就是提出了单子论、科学成就则是发明了微积分。