第2章 数字的样式
第2章 数字的样式
我们来考虑一个数,找一个看起来有趣点的,比如说135792468。我们的问题是:有多少种将这个数的各位数字重新排列的方式?排出的数中又有多少个恰好可以被3整除?也就是说,除以3时能够除尽,或者说余数为零?
以上两个问题的答案都相当简单。包括原来的数在内,重新排列的数之第一个数字有9种选择。第二个数字的选取在第一个已经选定之后,因此总共有8种选择。相似地,第三个数字有7种选择,如此等等。因此我们可以得到,所有排列方式的总数等于
9×8×7×6×5×4×3×2×1=362880。
第二个问题是,这些数中有多少个可以被3整除?答案同样很简单:全部都可以!
那么,怎么判断一个数是不是可以被3整除呢?大家也许已经知道有这么一个简单的判别方法:一个数可以被3整除当且仅当它的各位数字之和可以被3整除。
由于从1到9这九个数字的和等于45,而45是可以被3整除的,所以由1,2,3,4,5,6,7,8,9这九个数字以任何顺序排列出的九位数都可以被3整除——很明显,无论这些数字是怎么排列的,它的各位数字的和都不会改变,一样都等于45。
计算从1到9这九个数字的和时,大家可能会用一种简单的计算方法——将这些数从两端依次配对:
1+9=10,
2+8=10,
3+7=10,
4+6=10。
由于我们总共有奇数个数,所以处于最中间的5没有可以配对的数。但这样做的计算也已经很简单了——答案等于4个10加上一个5。
我们也可以换一种方式。考虑两个从1到9九个数字序列的和,但第二个我们用反顺序排列,并且逐项与第一个序列配对,即计算:
1+9=10,
2+8=10,
3+7=10,
4+6=10,
5+5=10,
6+4=10,
7+3=10,
8+2=10,
9+1=10。
现在问题好像变得更加简单:我们所要求的和数的两倍等于90,因此所求的答案是45!
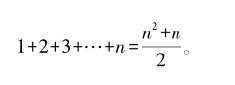
对连续N个自然数求和,乃至对一个等差数列的连续N项求和,都可以用上述这种算法。根据对上述算法的观察,我们很容易证明这样一个公式:
等差数列连续若干项的和=(首项+末项)×项数÷2。
高斯也许是历史上最伟大的数学家,他在年幼的时候就表现出不凡的算术能力。下面这个故事是人们所熟知的:
高斯九岁的时候,一位专横的教师打算让学生们做一个冗长的加法练习,他布置了这样一道题:“求前100个自然数的和”。这对于教师而言当然是简单的,因为他知道等差数列的求和方法,然而他的学生们并不知道这种方法。年幼的高斯同样不知道这种方法,但是他很快就发明了一种算法,用这种办法心算出答案,并且把答案写下来交给了老师。过一个小时之后,所有的同学终于做完了这道练习题。而老师发现,除了高斯之外,其他所有同学的答案都是错的!
据文献记载,高斯不是用我们介绍的求和公式,他的做法是我们更早一点介绍的那种简单配对——高斯在1到100的数列前面添上一个0,成为101项,然后他把这101个数首尾配对成为和数等于100的50个数对,再加上位于正中间无法配对的50,于是快捷地得到正确答案:5050。
高 斯
约翰·卡尔·弗里德里希·高斯(1777—1855),德国数学家、物理学家、天文学家、大地测量学家。高斯是历史上最重要的数学家之一,有“数学王子”之称。在各种数学家排行榜中,高斯通常都名列前三位。
高斯小时候家里很穷,他父亲也不认为学问有用,但高斯很喜欢读书,并且从小就表现出过人才智。高斯父亲为了节省照明用油,总是要求儿子早早上床睡觉,但高斯常常用自己做的灯,躲起来偷偷读书。
高斯发明的最小二乘法,后来成为统计与工程中最重要的数学工具之一。他提出正态分布曲线(高斯钟形曲线),其相应的函数是概率论中最重要的概率分布函数。
高斯总结了复数的应用,严格证明了代数基本定理。他证明二次互反律,为数论的继续发展提供了重要基础。非欧几里得几何学是爱因斯坦广义相对论的数学基础,而高斯是这种几何学三位独立发明者之一(其他两个是俄国数学家罗巴切夫斯基与匈牙利数学家波尔约)。
在24岁时,高斯用他的数学知识,计算出了小行星谷神星的运行轨迹,轰动了整个天文学界。为了向高斯致敬,德国天文学家海因里希·欧伯斯在发现新的小行星后,主动将这颗小行星的命名权献给高斯,高斯则将它命名为灶神星。
高斯知道他很多数学思想超越时代,很可能不会被时代所接受,因此他将很多研究结果留在自己的文稿里,而不向外界公开。高斯的非欧几里得几何学,就是在他未发表的文稿里发现的。
高斯在19岁时用尺规作图构造出了圆内接正17边形,他对自己的这个小成就非常满意。根据他的遗言,他的墓碑上雕有从正十七边形派生出来的正十七角星。
话说回头,为什么上文提到的那个古老而熟悉的、检验一个数能否被3整除的方法是正确的呢?检验一个数是否被9整除的方法与之相似,我们在这里可以一并讨论。
我们考虑一个四位自然数,按其各位数字记为abcd。这个表示式所表示的数等于是
1000a+100b+10c+d。
因此,这个数可以写成如下两部分的和:
(1) 999a+99b+9c,
(2) a+b+c+d。
很显然,无论a,b,c,d是什么数字,第一部分都可以被9整除,因而也可以被3整除。所以,整个数能够被9或者被3整除的充分必要条件是:其第二部分可以被9或者被3整除。四位的自然数是这样,其他所有自然数理所当然也一样。
检验一个数是否可以被11整除的方法比以上做法略为复杂一点。同样考虑四位数abcd,我们也可以将它写成两部分的和:
(1) 1001a+99b+11c,
(2) -a+b-c+d。
这样,我们很容易发现,原数可以被11整除当且仅当以上的第二部分,即(-a+b-c+d),可以被11整除。这个括号里的数是整数,但它未必是正数,它可能是负数或者恰好等于零。通过这个简单的分析,我们可以得到这样的判别法则:
一个数可以被11整除,当且仅当它的奇数位置的数字和与偶数位置的数字和之差是11的整数倍。
得到这条判别法的思考过程是简单的,但写成完整而严谨的证明却相当啰唆,因而我们不提供正式的证明。然而这条判别法还是很好用的,对7744或123321这样的数,我们都很容易知道它们可以被11整除。
一个数可以被2整除当且仅当它是一个偶数。那么什么时候一个数可以被4整除呢?这个问题也不困难——我们再来观察四位数abcd,同样也将它写成两部分的和:
(1) 1000a+100b,
(2) 10c+d。
第一部分是100的倍数,因此它可以被4整除。这样一来,看一个数是否可以被4整除,只要看它的最后两位就可以了。如果十位数字c是一个偶数,那么10c就是4的倍数,此时abcd可以被4整除当且仅当个位数等于0、4或者8。简单的分析不难发现:如果十位数字c是一个奇数,则abcd可以被4整除的条件是它的个位数等于2或者6。
再进一步,一个数什么时候可以被8整除?它的判别法则可以有不同的陈述方式,这里我们指出一种:首先,这个数必须可以被4整除。其次,如果这个数的百位是偶数,那么它末尾的两位数必须是8的倍数;而如果它的百位数是奇数,则末尾的两位数必须是4的倍数但不是8的倍数。
我们举几个例子。1234不能被8整除,因为它不能被4整除。1236也不能被8整除,因为它虽然可以被4整除,但它的百位数是偶数,而末尾的两位数36却不是8的倍数。而根据上述判别法,1232和1336都可以被8整除。
所有人都知道,一个数可以被5整除的充分必要条件是它的个位数等于0或者5。一个数可以被6整除的充分必要条件是它同时可以被2和3整除。至此我们发现:除了n=7之外,对一个数是否可以被12以内的某个正整数n整除的问题,我们都有比较简单的判别法。
“小数字定律”
事实上,人类善于总结关于小数字的规律,例如五味、五色、五方、五大行星、五种正多面体等等,或者三世(过去、现在、未来)、三才(天、地、人)、三教(儒、道、释),甚至纪传、编年、纪事本末三种史书编写方法等等。由于这些总结大多局限于三、四、五、七、九这样的小数字,数目相等的集合极其常见,这是不可避免的现象。因此,每一个重要事物集合都会与某个其他重要集合具有相同的数目,这是一种必然现象,可以称为“小数字定律”。认为它们之间必有数目之外的“内在”联系,通常只不过是胡乱联想。
在自然科学中,人们非常相信“归纳”,即从特殊到一般的推理方法。然而在数学中,我们不能依赖这种推理过程。
有人说,对如下前n个偶数之和
2+4+6+……+2n,他有一个公式。他声称,以上这个和的结果等于
Y(n)= n5-15n4+85n3-224n2+275n-120。
这个公式的意思是说,把自然数n代入Y(n),则公式右边计算得到的结果就是前n个偶数的和。我们试算前几个,发现Y(1)= 1-15+85-224+275-120=2。相似地可以算得: Y(2)= 6,Y(3)= 12,Y(4)= 20,Y(5)= 30。由于

因此这个公式看起来似乎是正确的。假如我们此时停止复杂的验算,我们能不能因为该公式对前五个自然数正确而推出它对所有自然数也正确呢?NO!我们不可以。例如当n=6时,Y(6)= 162,而2+4+6+8+10+12= 42,两数并不相等。事实上,这个所谓“公式”在n大于5之后就再也没有正确过。
好奇的读者也许会想:上面这个似是而非的“公式”是怎么弄出来的呢?我们这就来做一个解答——
首先,我们那个和式是一个等差数列的前n项和,所以我们很容易算出,它真正的公式是S(n)= n2+n。接下来我们构造一个多项式F(n),要求F(n)在n=1到n=5时都等于0。这个要求等于说要求n = 1,2,3,4,5都是方程F(n)= 0的解。很显然,符合条件的最简单的多项式F(n)就是F(n)= (n-1)(n-2)(n-3)(n-4)(n-5)。所以,只要把S(n)和F(n)加起来,我们就可以得到一个仅仅在n小于或等于5时成立的所谓“公式”了。
一个大于1的自然数,如果除了自身与1之外没有任何因数——也就是说不能被其他任何自然数整除,则它被称为素数。大于1而又不是素数的数则被称为合数。2与47是两个素数的例子,而20是一个合数,因为它等于2×2×5。
在数论中一般讨论的对象是正整数,因此在讨论数论问题时如果我们只简单地说“数”,那么我们的意思通常就是正整数。我们相信,读者根据上下文可以确知“数”的真正意思,所以今后在讨论数论问题时我们经常会用这样的“简称”。
初等数论中经常出现两个著名的一元二次式,它们是:
(1) n2-n+41,
(2) n2-79n+1601。
第一个算式当n取前40个数时,它的值都是素数,而当n= 41时则是合数,它的值等于412,即1681。第二个算式对n从1至79所得的值都是素数,但当n=80时,它的值也不是素数,而且恰巧也等于1681。
两个式子共同的特点是:当n取前几十个自然数时,算式的结果都是素数,但当n再大时则不尽然。
如果一个理论被几十个实验所验证,就算实验数目不到40个,物理学家大多也选择相信那个理论。但对数学而言,40个验证不够,79个验证不够,再加上一百万个也不行。数学需要另外一种证明方法。
大家可能听说过,有一种重要的推理方法叫“数学归纳法”,它是极为有用的证明方法。在说清楚这种方法是什么之前,我们最好确信自己明白它不是什么。
有些人认为,数学归纳法就是在一系列的检验之后推断出结论的方法。这种理解是不对的。观察以下等式序列:

在上述序列中,右边都等于完全平方数。然而,这能够保证此后所有无穷多个相似的等式都正确吗?还不能。不管有规律的序列形式上看起来有多么让人坚信不疑,在得到证明之前是不能被承认为定律的。
我们想要证明的是:前n个奇自然数的和总等于n的平方。这需要通过数学归纳法来证明——这是一种与观察加猜测非常不同的方法。这个方法可以比喻为教一个小孩如何攀爬一架无穷的梯子——无论他以前是否以这种方式爬过梯子都没有关系,重要的是这架无穷的梯子可以用这种方式向上爬。首先,将小孩放到梯子的某个梯级。其次,无论处在哪个梯级,教会这个小孩如何从目前的梯级爬到上一个梯级。这样,所有的事情归结到一件事:保证这个小孩找到并爬上第一个梯级。因为,如果他已经爬上第一个梯级,那么按照他学到的方法,小孩就可以爬到第二个梯级,然后第三个梯级,如此不断地沿着这架无穷的梯子向上爬去。
我们先介绍什么叫作“归纳假设”。我们暂且不假定说我们要证明的公式总是正确的。我们现在退一步,假定对某个特定的情况,如n=k时,公式是正确的。这等于是说,我们现在位于梯子的第k个梯级。现在,假定前文关于奇自然数之和的公式在n=k时是正确的,也就是
1+3+5+…+(2k-1)= k2。
倘若这个公式正确,则在其两端同时加上(2k+1)时,即有:

这就是说,如果公式对n = k时是正确的,那么它对n = k+1时也将是正确的。依照爬梯的类比,我们爬到了梯子的第(k+1)个梯级。
当然,现在我们还没有证明整个公式。但我们现在回头去考察n的数值很小的情形——通常考虑n= 1的情形。由于1等于1的平方,所以此时公式的成立是显然的——这好比是梯子的第一个梯级。由于n= 1时公式是成立的,按照归纳假设,n= 2时定理也正确,接下来n = 3时……直至任何自然数n,我们都有
1+3+5+…+(2n-1)= n2。
在上式中如果取n=mp,则我们发现,m2p——一个任意自然数的偶数次方——恰好等于所有从1到2mp-1之间的奇数之和。例如取m=3,p=2,则有
81=34=1+3+5+…+17。
我们还可以证明,对任何正整数m及大于1的正整数次方k,存在一个长度为m的奇数序列(未必从1开始),其和恰好等于mk。例如k=3时,m3总是等于从m2-m+1至m2+m-1之间的m个奇数之和。如果我们取m= 5,则52-5+1 = 21,52+5-1=29,因而
53=21+23+25+27+29。
其实,奇数序列的这个看似神奇的性质并不难证明:起始项为2u+1而长度为m的奇数序列,其最后一项等于2u+ 2m-1。据我们前面提到的等差数列部分和公式,这个序列的和等于[(2u+1)+(2u+2m-1)]×m÷2,化简得到m×(2u+ m)。因此,只要取u=(mk-1-m) /2,则这个和的数值就会等于mk。
需要注意的是,当k>1时,u=(mk-1-m) /2的值总会是一个整数,这点读者不难自己证明。
几乎对所有的数学分支而言,数学归纳法都可以说是极为强有力的证明手段。它只有一个不足之处:它只负责证明定理,并不构建定理本身。然而,如果我们拥有一些线索,再加上智慧的猜测,则可以得到看似正确的陈述。对这个陈述,我们通常可以尝试着用数学归纳法来考察它究竟是不是正确的公式。
“n平方”的本义是以n为边长的正方形的面积,它是一个几何的概念。古人经常以几何的方式来理解完全平方数,这种表达习惯在我们关于次方的术语中仍然存在。即便我们想说的是与几何无关的25这个数值,我们仍然通常说“五的平方”而非“五的二次方”。同样,我们通常也把125说成是5的“立方”而不是5的“三次方”。
古希腊人倾向于以下列图形来思考,图中边长为5的正方形总共包含有25个单位正方形。

正如从国际象棋到中国象棋的变化——国际象棋把棋子放在格子里,而中国象棋则把棋子放在交叉点上——古人也从“方格”转向“点”,将“完全平方数”看作是点的方阵,并且称为“正方形数”:

相似地,所谓“三角形数”“五角形数”“六角形数”也都曾受到数学家或数学爱好者的关注,它们通常都用点阵来描述。例如,前四个“三角形数”可以用如下图形表示:

三角形数与正方形数的一个联系是:任意两个相继的三角形数之和是一个正方形数,对应正方形的边长等于较大的那个三角形的边长。例如:3+6 = 32,6+10= 42,等等。这个事实的代数证明是很简单的——对相继的两个三角形数的和,把它们的代数公式相加,即得到:

然而,这个事实在几何上同样是很显然的。以三角形数6和10为例,把它们的点阵作如下变形:

这样,只要将较小的三角形倒置放在较大的三角形的右上方,就可以得到一个正方形:

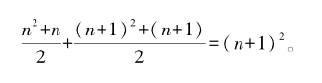
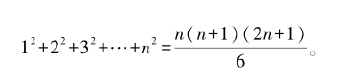
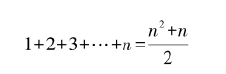
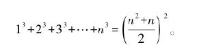
关于前n个正整数之和,我们刚刚使用了如下公式:

这个公式很容易证明,它是自然数列这一特殊的等差数列的前n项和公式。理所当然地,这个公式也给出第n个三角形数。那么,前n个正方形数(即平方数、完全平方数)的和有没有简单的公式呢?当然有,这个公式是这样的:(https://www.daowen.com)

以上公式可以用数学归纳法来证明,具体的证明我们留给读者作数学归纳法的练习。
然而,如果我们事先不知道上述公式的具体表达式,那么怎么能够把它推导出来呢?我们来介绍一个方法:
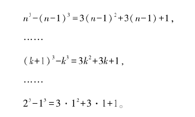
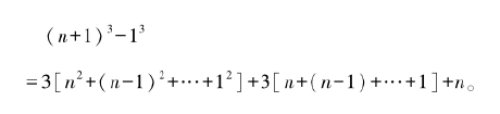
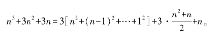
首先,我们知道
(n+1)3=n3+3n2+3n+1,
因此,
(n+1)3-n3=3n2+3n+1。
同理,我们有:

把以上所有这些等式全部加在一起,我们得到:

将公式

代入上式右边,并展开左边的立方和(n+1)3,即有:

对这个等式进行移项和化简整理,我们很快就可以得到前面给出的公式了。
这个证明方法是一种“有限差分法”,用这种办法作例行推导可以解决很多相似的问题。例如,对立方数我们也有公式:

这里出现了一个意料之外的联系:前n个立方数之和等于前n个自然数之和的平方!
n边形数
我们介绍了三角形数和正方形数,其实古人还研究过五边形数、六边形数等等,其中,五边形数和六边形数可以由下列图形表示:


第n个s边形数的公式是:
,有兴趣的读者可以尝试自己证明。
我们再提一个进一步的问题:除了用上述有限差分法来推导前n个立方数之和的公式之外,我们还有没有别的办法?当然,我们还可以换一换思路,我们可以尝试先有理有据地“猜测”出一个“公式”,然后用数学归纳法来证明。
我们观察到:前n个自然数之和的公式是一个n的二次多项式,前n个平方数之和的公式是一个n的三次多项式,我们因此猜测,前n个立方数之和的公式是一个n的四次多项式!这个猜测是正确的,事实上有限差分法已经告诉我们这一点。
不仅如此,我们还发现,所有上述两个已知公式的分子都有n(n+1)作为因子,而k次方数和公式的分母则是1·2·…·k·(k+1)的因子,因此,我们大胆猜测,假设这个四次多项式有如下形式:

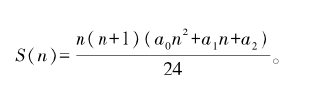
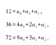
那么,未知的系数们该是什么数值呢?我们可以用“待定系数法”来解决,在上式中右边分别取n= 1,2,3,左边代入相应的前n个立方数的和,则有:

用逐步消去未知元的方法,我们不难解得:
a0=6,a1=6,a2=0。
由此,我们得到了前文给出的公式。注意,因为这个公式的形式有猜测的成分,因此目前得到的公式还未必正确,但它的正确性可以用数学归纳法来证明。
一个正方形数也就是完全平方数,或简称平方数,它有没有可能同时是一个三角形数?当然有可能,因为1就是。问题是还有其他的没有呢?检查平方数序列,我们发现36是下一个同时为三角形数的平方数。如果我们简单地搜索平方数序列,探索过程可能会非常冗长。接下来的三个既是平方数又是三角形数的自然数依次是1 225, 41616,1413721。那么,人们是怎么得到它们的呢?为了回答这个问题,我们需要一些比我们现在拥有的更强有力的数学知识。我们将在第9章再讨论并解决这个问题。
欧几里得与《几何原本》
根据古人记载,欧几里得是活跃于公元前300年前后的古希腊数学家,他以《几何原本》而闻名千古。欧几里得生活的年代晚于墨子,与秦昭王基本同时代。
《几何原本》共有13卷,其主要内容是几何学,但也讨论数论、无理数理论等其他课题,著名的如辗转相除法、素数有无限多个的定理、完全数和梅森素数的关系、有关因式分解的欧几里得引理等。
欧几里得几何学是一套完整的公理体系。公理就是确定的、不需证明的基本命题。欧几里得几何学以五条公理为基础,然后从它们出发,演绎出整个几何学的所有定理。这种公理体系方法,后来成为建立所有科学知识体系的标准方式。
《几何原本》是古希腊数学发展的顶峰,明朝末年徐光启(1562—1633)曾经与传教士利玛窦一起翻译过它的前六卷。
欧几里得平面几何的五条公理
欧几里得平面几何学总共有五条公理(或称“公设”),它们是:
1.从一点向另一点可以引一条直线。
2.任意线段能无限延伸成一条直线。
3.给定任意线段,可以以其一个端点作为圆心,该线段作为半径作一个圆。
4.所有直角都相等。
5.若两条直线都与第三条直线相交,并且在同一边的内角之和小于两个直角,则这两条直线在这一边必定相交。
其中,第五条公理称为平行公理(或平行公设),它可以推导出:“通过一个不在直线上的点,有且仅有一条不与该直线相交的直线。”修改这条公理,可以建立不同的几何学,也就是著名的“非欧几里得几何”。
在古人那里,整个科学和数学都深受哲学与形而上学的渗透与影响,数字被赋予个性,一些几何图形则被错误地赋予神圣的内涵。即便到了1596年,作为现代天文学鼻祖之一的开普勒,还曾经力图捍卫一个荒谬的太阳系模型。在他提出的这个模型中,围绕太阳的所有已知六个行星——即水星、金星、火星、土星、木星和地球——的位置关系由五种正多面体的数学性质所确定。这其中重要的原因之一是:古希腊人证明了正四面体、正六面体、正八面体、正十二面体和正二十面体是仅有的五种正多面体,这个纯粹的数学结果被认为与太阳系的结构有着神秘的联系。同样的道理,古人对某些数的特殊性质感到特别的兴趣,并给予带有神圣意味的称谓。正因此,对于古人将某些自然数称作是“完全”的,我们应该丝毫不觉得奇怪。
言归正传,如果一个数等于其包括1在内的所有真因数——即小于它本身的因数——之和,则古人称它为一个“完全数”。由于6的真因数为1,2,3,而6= 1+2+3,所以6就是一个完全数。继续逐一验算,我们知道下一个完全数是28——28的所有真因数依次是1,2,4,7,14,而28恰好等于它们的和。直到17世纪,仍然只有8个完全数为世人所知,数论学者梅森因此于1644年感慨道:“我们清楚地看到完全数是如此的稀有,因而拿它们与完人相比是如何的恰当。”
所有已知的完全数都是偶数,人们至今不清楚是否存在奇完全数。然而数学家们已经证明,如果奇完全数存在的话,那么它至少大于101 500。人类为研究完全数耗去了非常非常多的时间,一位现代著名的数论专家甚至以完全数为主题写了一大本专著。
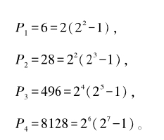
古希腊人知道的完全数有四个:

从这少量的线索中出发,中世纪的学者作出如下猜测:(1)可能每一对相继的两个10的次方数之间都存在一个完全数,因此第n个完全数恰好是一个n位数;(2) 6和8作为完全数的结尾数字交替出现。这里,我们又多了一个以胡乱猜测为依据的“直观归纳”的例子——两个猜想都是错的。首先是不存在五位数字的完全数,第五个完全数是
P5=212(213-1)= 33550336。
其次,虽然上述第五个完全数正好是以6为尾数,但下一个完全数的尾数同样是6,并不以8结尾。偶完全数确实全部以6或者8结尾,但“交替出现”的猜测并不正确。
大家可能已经注意到,我们把给出的每个完全数都写成了如下形式:
2p-1(2p-1),
并且在上述每个完全数表达式中,p都是素数。此外,在p=2,3,5,7之后,我们跳过11,指出p= 13对应着下一个完全数。所有这些事实在完全数的研究中都扮演着重要的角色。
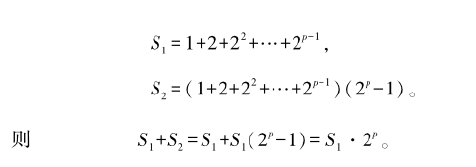
首先我们来证明欧几里得就已经知道的定理:
如果2p-1是一个素数,则N=2p-1(2p-1)。是一个完全数。
证明的方法只是列出N的所有真因数。显然,1,2,22,…, 2p-1都是N的真因数。由于(2p-1)是一个素数,因此N的其他的因数(包括自己)是(2p-1)与上述诸因数的乘积。除了这些之外,N没有其他的因数。我们把这些因数分成两类分别求和:

我们用高中学习到的等比数列求和公式来计算S1,这里的公比等于2:

这样,我们得到:
S1+S2=2p(2p-1)= 2·2p-1(2p-1)= 2N。
这,就是N的所有因数之和。为什么结果不是N而是2N?原因在于我们把N自己包含在上述第二类因数之中了。也就是说,根据上式可知,N的所有真因数之和其实恰好等于N自己,因此N确实是一个完全数。
在以上证明用到了“(2p-1)是一个素数”这一条件,因而下一个问题是:形如(2p-1)的数中,哪些是素数?这种形式的数以17世纪数论学者梅森的名字命名,称为“梅森数”。不难证明,p为素数是梅森数(2p-1)为素数的必要条件,但不是充分条件。我们跳过p=11是正确的,因为211-1是一个合数(它等于23×89),因此210(211-1)不是完全数。
欧拉第一个证明:所有偶的完全数都是以上形式,没有其他可能。也就是说,一个偶数N是完全数的充分必要条件是: N=2p-1(2p-1),并且2p-1是素数。
因此,寻找偶完全数的问题等价于寻找“梅森素数”(即梅森数中的素数)的问题。对这个难题目前仍然没有系统的答案。在很长的时间段里,人们只知道8个梅森素数,而随着计算机计算能力的飞速提高,以及全球数学爱好者利用计算机网络进行的协作努力,目前已知的梅森素数已经达到49个,其中后37个都是最近60多年里用计算机寻找出来的。目前已知的梅森素数之p值依次为:2,3,5,7,13,17,19,31,61,89,107,127,521,607, 1279,2203,2281,3217,4253,4423,9689,9941,11213,19937,21701, 23209,44497,86243,110503,132049,216091,756839,859433, 1257787,1398269,2976221,3021377,6972593,13466917,20 996 011, 24 036 583, 25964951, 30 402 457, 32582657, 37156667,42643801,43112609,57885161,74207281。这些梅森素数中,最后一个发现于2015年9月,它是一个 22338618位数,比3后面接上22338618个零还要大!与它相对应的完全数显然更大,它到底有几位数字?读者可以根据这里给出的数字作出自己的估算。
马林·梅森
马林·梅森(1588—1648),法国神学家、数学家、音乐理论家。
梅森是一位生活在巴黎的天主教神父,同时也热心于科学研究,是一位有造诣、有影响的科学家。从1626年起,他把自己的修道室办成了科学家的沙龙,经常和笛卡儿、费马等数学家在修道室聚会,讨论数学、力学、声学以及音乐等方面的问题,他的修道室因此被称为“梅森学院”。他在1644年出版《物理数学随感》,其中讨论了著名的“梅森数”。而在《宇宙和谐》一书中,梅森为后人留下了关于他那个时代乐器的珍贵史料。
约翰内斯·开普勒
约翰内斯·开普勒(1571—1630),德国天文学家、数学家。开普勒是17世纪科学革命承上启下的关键人物。他最为人知的成就是关于行星运动的开普勒三大定律。开普勒的《新天文学》《世界的和谐》等著作对牛顿影响极大,其三大定律更是为牛顿发现万有引力定律奠定了基础。
开普勒的行星运动三大定律
开普勒第一定律,也称椭圆定律、轨道定律:每一个行星都沿各自的椭圆轨道环绕太阳,而太阳则处在椭圆的一个焦点中。
开普勒第二定律,也称等面积定律:在相等时间内,太阳和运动着的行星的连线所扫过的面积都是相等的。这条定律,实际揭示了行星绕太阳公转的角动量守恒规律。
开普勒第三定律,也称周期定律:各个行星绕太阳公转周期的平方和它们的椭圆轨道的半长轴的立方成正比。从这条定律可以推导出:行星与太阳之间的引力与半径的平方成反比。这是艾萨克·牛顿的万有引力定律的一个重要基础。
开普勒猜想
在一个大容器中装填大小相同的小球,怎么排列才能使装入的小球最多?开普勒猜测说,水果摊上橘子堆叠的方式就是一种最佳的小球排列方式。最佳装填方式中,小球体积占比为π/18(注:最常见的有“面心立方”和“六方最密”堆积两种,它们的平均密度一样。)

从1998年到2014年,托马斯·黑尔斯提出并逐步完善了对开普勒猜想的证明。他的证明利用计算机进行巨量计算,是计算机辅助证明的著名例子之一。
开普勒的“迷信”
在开普勒之前2000年,古希腊人就已经知道正多面体只有五种,即正四面体、正六面体、正八面体、正十二面体以及正二十面体。开普勒曾经迷信地认为这与太阳系有“五大行星”(金、木、水、火、土)必然有关系。他用五个正多面体的内接球、外切球相互套叠,给出水、金、地、火、木、土的轨道模型。但由于与行星运动的实际数据相差过大,开普勒后来不得不放弃了这种联系。
考虑一个数N的真因数之和,我们已经知道,如果这个和等于N自己,则N称为完全数。而如果这个和小于N自己,则我们称这个数N为一个“亏数”;反之,当这个和超过N自身时则称之N为“盈数”。由于完全数的稀有,乐于探索数字中奥秘的人们展开了对这两类数的研究。目前,对这两类数的研究热潮已经过去,但人们也已经得到了一些有趣的结果。
关于盈数,人们首先发现一条非常容易证明的性质:一个完全数乘以任何一个大于1的数所得到的结果必然是盈数。因此,很显然盈数有无穷多个。
由于目前已知的完全数都是偶数,因此上面的性质给出的无穷多个盈数都是偶数,其中最小的盈数是12。那么,有没有奇的盈数呢?有的话有多少?这样的问题也非常简单,只要避开偶因子2,尝试用小的奇素数去构造,我们不难找到奇盈数——考察真因数的构成可以发现:形如3k×Q的奇盈数中,k至少必须等于2,而Q至少需要有两个不同的奇素数因子。因此,最小的奇盈数是945,它等于3×3×5×7。
接着人们发现:盈数的任何整数倍都是盈数。因此,奇的盈数也有无穷多个,因为仅能够被3整除的奇盈数就有无穷多个。所以,人们接下来考虑:既不是2的倍数也不是3的倍数的盈数是什么样的?这个问题解决起来也比较困难,答案是5391411025,它是5×5×7×11×13×17×19×23×29。
关于亏数也有几个有趣的结论。很显然,所有的素数都是亏数,素数的正整数次方也是亏数,因此亏数也有无穷多个。此外,任何完全数的真因数都是亏数,任何亏数的真因数也都是亏数。
给定一个自然数N,如果我们把N所有真因数的和记为s(N),则N为完全数的充分必要条件就是N=s(N)。由于完全数相当罕见,古人很早就开始考虑这样的数对M和N,它们满足条件:
N=s(M),
M=s(N)。
即两个数相互等于对方的真因数之和。这样的一个数对,数论爱好者称之为一对“友好数”或“亲和数”。
第一对友好数在毕达哥拉斯时代就已经为人所知,它们是:220与284。对这样的第一对,我们做一点详细的计算:因为220=2×2×5×11,它的全部真因子是:
1,2,5,11,2×2,2×5,2×11,
5×11,2×2×5,2×2×11,2×5×11。
所以,它的真因子总和等于:
1+2+5+11+4+10+22+55+20+44+110=284。
284更简单,它等于2×2×71,全部真因子只有1,2,71,2×2, 2×71共五个,而它们的和恰好就等于220。
然而,此后将近两千年时间里人们仅发现了少数几对友好数,著名的只有费马发现的17296和18416,以及笛卡尔发现的9363584和9437056。
第一次突破是欧拉做出的,他给出了关于友好数构造的公式,并且在1750年同时公布了数十对友好数!其中最小的两个是2620和2924,以及5020和5564。
在欧拉引起轰动之后到现代计算机发明前夕这大约200年时间里,已知的友好数的数目增加到390个。而计算机的出现让发现友好数的速度大大加快,截至目前,已知的友好数的数目已经超过10亿个。
细心的读者可能已经注意到,上面所列出的友好数对都是偶数对,那么有没有奇数构成的友好数对?有没有一奇一偶的友好数对?第一个问题的答案是“有”,而第二个问题目前还没有答案。最后,友好数对是不是有无穷多个?这个问题目前也还没有得到解决。
毕达哥拉斯
毕达哥拉斯(约前570—前495),古希腊哲学家、数学家和音乐理论家,毕达哥拉斯学派的创立者。
毕达哥拉斯学派认为数学可以解释世界上的一切事物,甚至提出“万物皆数”的观点。此外,毕达哥拉斯第一次提出大地是球体的观念。
毕达哥拉斯也以西方称为“毕达哥拉斯定理”的勾股定理闻名。勾股定理虽然在公元前2000多年就已经为巴比伦人所知,但现存可靠的证明是毕达哥拉斯学派首先做出的。
毕达哥拉斯学派崇拜数字及其比例,曾用简单比例研究乐律,提出“和弦”的概念以及著名的“五度相生律”。“五度相生律”与我国传统的“三分损益法”是等价的,在十二平均律出现之前的2000年间,它是音乐界占主导地位的乐律系统。