阿贝尔与n次方程的代数解
同学们学过一元一次方程
ax=b(a≠0)
它的代数解是:x=
(a≠0)
又学了一元二次方程ax2+bx+c=0(a≠0)
它的代数解(用方程的系数经过若干次代数运算而得到表示根的式子,叫做方程的代数解)是:

这个求根公式看来很简单,也很容易学,但同学们可知道它的发现过程却经历了漫长的历史吗?
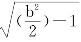
公元前2000年左右巴比伦人的泥板文书中说,求出一个数,使它与它的倒数的和等于一个已知数,即求出这样的一对数x和
,使x·
=1且x+
=b,由此得出关于x的方程是x2-bx+1=0他们作出(
),再作出
,于是得到解答x=
或它的代数解是:
![]()
这实际上是古巴比伦人得到的求根公式。但是当时不承认负数的存在,所以他们回避了负根。
希腊的丢番图(约前246—330年)则只承认一个正根,即使两个都是正根,也只取一个。
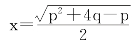
印度的波罗及摩及(约公元598—665年)在公元628年写成的《波罗摩修正体系》中,得到方程
x2+px-q=0的一个根的求根公式是
![]()
到了9世纪乌兹别克数学家花刺子模(约公元780—850年)在他的《代数学》中第一次给出了一般的一元二次方程的解法,他承认有两个根,还允许无理根的存在,但他不认识虚数,所以不承认虚根。
法国数学家韦达(1540—1603年)则知道一元二次方程在复数范围内恒有解。
我国数学家对一元二次方程的研究有特殊的贡献。秦汉时代的《九章算术》就有求方程x2+34x-71000=0的正根记载。
在3世纪,赵爽(约公元222年)注释《周髀算经》时,提出了x2-bx+c=0型的求根公式。也是世界上最早记录了二次方程的求根公式。(https://www.daowen.com)
一般的三次方程的代数解的表达形式经历了800年之久,到了16世纪初,欧洲文艺复兴时代,才由意大利数学家给出。下面的三次方程的代数解公式,一般称为卡丹(1501—1576年)公式:
方程x3+px+q=0的三个根是y1+z1,wy1+w2 z1,w2 y1+wz1,其中(y3)=
,yz=-
,w=-
其实,发现这个公式的并不是卡丹。原来这里还有一段诱人深思的故事呢!
在意大利的波伦亚城有一位数学教授费洛,他首先发现了方程x3+mx=n(m,n为正数)的解法,并于1505年把此方法传授给他的学生弗罗里都斯。
到了1525年,在意大利的威尼斯城举行了一次数学竞赛会,弗罗里都斯的对手塔尔塔里亚已经估计到对方会提出求解三次方程的问题,所以他就全力以赴的研究这个问题,他在比赛前的8天里以惊人的速度解决了800多年来没有解决的问题。在比赛过程,塔氏在两小时内解答了弗氏提出的30个问题,而最终取得了比赛的胜利,而弗氏却以回答不出塔氏的问题而宣告失败。
在这之后,塔氏更是专心致志的研究三次方程的问题,到1541年,他便找到了一般三次方程的代数解。这时卡丹请求塔氏告诉他这个公式,并保证不泄露秘密,于是塔氏便满足了卡丹的要求。但卡丹并没有遵守诺言,在1545年,卡丹在他的《大法》一书中公布了这个解法,所以就一直被误认为是卡丹公式,如果这个故事是真的,卡丹的为人品德也真是令人讨厌!
就在《大法》这本书里,卡丹还公布了他的学生费拉里发现的一般四次方程的代数解。
从二次方程到四次方程,人们通过变换,配方和因式分解等手段解决了一般的二、三、四次方程的代数解问题。例如:
ax2+bx+c=0,将x=y-
代入可求出代数解;
ax3+bx2+cx+d=0,将x=y-
代入可求出代数解;
ax4+bx3+cx2 c+dx+e=0,将x=y-
代入可求出代数解。
于是人们类比联想:一般的n(n≥5)次方程可能求出它的代数解。
从16世纪中叶到19世纪末,当时几乎所有的数学家都坚持不懈地研究这个问题,人们发挥了一切聪明才智,但都没有找到解决问题的办法。
于是人们考虑重新认识这个问题,并且从反面提出问题:“一般n(n≥5)次方程可能没有代数解”,而且持有这种怀疑的人越来越多。
拉格朗日(1736—1813年)在回忆录中写道:“用根号解四次以上的方程的问题是一个不可能解决的问题,虽然,关于解法的不可能性,什么也没有证明。”高斯(1777—1855年)在1801年的《专题论文》中也说过,这个问题也许是不能解决的问题。
拉格朗日有一个学生叫鲁菲尼在1799—1813年之间,曾经多次企图证明n(n≥5)次方程没有代数解,但都没有成功,直到1824年,22岁的挪威数学家阿贝尔(1802—1829年)证明了这个猜想:“n(n≥5)次方程没有代数解”。
值得指出的是,阿贝尔虽然只活了26年零8个月,但在数学上的贡献是巨大的,正如一位数学家所说:“阿贝尔留下了一些思想,可供数学家们工作150年。”他在1823年发表第一篇论文,最先提出对一种积分方程的解法。1824年发表了上述定理的证明,寄给高斯,没有受到重视(当时他的定理的叙述是:高于四次带有任意文字系数的方程不可能用代数一般的解法),1825~1826年,阿贝尔去柏林,在那里结识了工程师、数学家A·L·克列尔,成为他的知交和良师,并在克列尔创办的《纯粹数学与应用数学》杂志第一卷(1826年)上发表阿贝尔关于五次方程研究的详尽内容,当然还有其他方面的论文。
为什么人们经过这么长时间的努力,才证明了“n(n≥5)次的方程没有代数解呢”?是否同不能正确地提出问题和认识问题有关呢?如果能较早地从反面提出问题,也许这个问题的解决会缩短一些时间呢!这个问题是否也给我们这样一个启示:当从正面考虑问题不得其解时,可从反面去思考和研究,这正是“正难则反”的思维策略!