三、套利定价模型
投资者的套利活动是通过买入收益率偏高的证券,同时卖出收益率偏低的证券而实现的,其结果是使收益率偏高的证券价格上升,其收益率相应回落;同时使收益率偏低的证券价格下降,其收益率相应回升。这一过程将一直持续到各种证券的收益率与各种证券对各因素的敏感度保持适当的关系为止。下面就来推导这种关系。
(一)单因素模型的定价公式
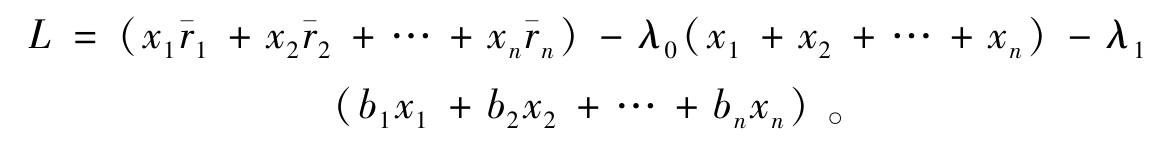
投资者套利活动的目标是套利组合的预期收益率最大化(因为根据套利组合的定义,套利无需投资,也没有风险)。套利组合的预期收益率如公式10-30所示。

但套利活动要受到条件的约束。根据拉格朗日定理,我们可建立如下函数:

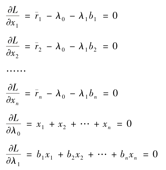
L取最大值的一阶条件是上式对xi和λ的偏导等于零,即:

由此可以得到均衡状态下和bi的关系如公式10-31所示。

这就是单因素模型下的APT定价公式,其中λ0和λ1是常数。
从上式可以看出,和bi必须保持线性关系,否则投资者就可以通过套利活动来提高投资组合的预期收益率。上式可以用图10-5来表示。

图10-5 APT资产定价线
从图10-5可以看出,任何偏离APT资产定价线的证券,其定价都是错误的,这会给投资者提供构建套利组合的机会。以B点所代表的证券为例,该点位于APT资产定价线的上方,这意味着其预期收益率较高,投资者就可以通过卖出S点所表示的证券,同时买入相同金额的B证券,从而形成套利组合。由于买卖证券B和S的金额相同,因此满足套利组合的条件一。由于证券B和S的因素敏感度相等,而买卖金额也相同,因此满足条件二。由于证券B的预期收益率大于证券S,且两者在套利组合中的权重相等,因此满足条件三。
由于投资者买入证券B,其价格不断上升,预期收益率也随之下降,直到回到APT资产定价线为止。此时,证券价格处于均衡状态。
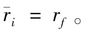
那么,上式中的λ0和λ1代表什么意思呢?我们知道,无风险资产的收益率等于无风险利率,即:由于上式适用于包括无风险证券在内的所有证券,而无风险证券的因素敏感度bi=0,因此,根据上式,我们有:
由此可见:上式中的λ0一定等于rf,因此,上式可以重新表示为公式10-32。

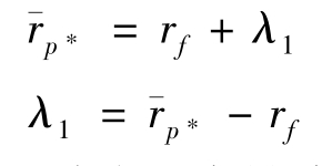
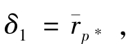
为了理解λ1的含义,我们考虑一个纯因素组合(p*),其因素敏感度等于1,即bp*=1,将其代入公式10-32,可得:

由此可见,λ1代表风险价格,即单位因素敏感度组合的预期收益率超过无风险利率的部分。为表达方便,我们令即δ1表示单位因素敏感度组合的预期收益率,因此可以得到公式10-33。

(二)两因素模型的定价公式
用同样的方法可以得出两因素模型下的APT资产定价公式,如公式10-34所示。

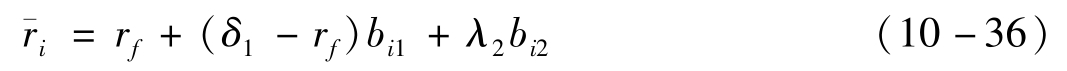
由于无风险证券的收益率为rf,其对第一种和第二种因素的敏感度均为零,根据上式,其预期收益率一定为λ0。由此可知,λ0一定等于rf,如公式10-35所示。

为理解λ1的含义,我们考虑一个充分多样化的组合,该组合对第一种因素的敏感度等于1,对第二种因素的敏感度为0。从公式10-33和10-35可知,该组合的预期收益率(δ1)等于rf+λ1,因此,λ1=δ1-rf。这样,公式10-35可以转变成公式10-36。

为理解λ2的含义,我们考虑另一个充分多样化的组合,该组合对第一种因素的敏感度等于0,对第二种因素的敏感度为1。从上式可知,该组合的预期收益率(δ2)等于rf+λ2,因此,λ2=δ2-rf。这样,公式10-36进一步转变为公式10-37。

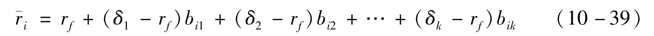
(三)多因素的定价公式
同样道理,在多因素模型下,APT资产定价公式为公式10-38。

如果用δj表示对第k种因素的敏感度为1,对其他因素的敏感度为0的证券组合的预期收益率,可以得到公式10-39。

公式10-39说明,一种证券的预期收益率等于无风险利率加上k个因素的风险报酬。