Black-Scholes期权定价模型
(一)Black-Scholes和Merton对前人工作的改进
1997年的诺贝尔经济学奖被授予两位美国经济学家:美国哈佛大学教授Robert C.Merton和斯坦福大学教授Myron S.Scholes,以表彰他们和已去世的Fischer Black在期权定价理论中所作的贡献。其主要贡献就是提出了复杂的Black-Scholes期权定价模型。
在这之前,期权定价模型可以分为两类:一类是特定模型,即根据实际观测和曲线拟合程度来确定期权价格,这种模型的缺点在于无法反映经济均衡对期权价格的影响;另一类是均衡模型,即根据市场参与者效用最大化来确定期权价格,在这方面最早进行研究的是法国数学家兼经济学家路易丝·巴彻利尔。他在1900年的博士论文《投机的数学理论》中,给出了一个股票期权定价公式,首次提出了确定期权价格的均衡理论方法。但他的公式是建立在一些不现实的假设之上,如利率为零、股票价格可以为负等。遗憾的是其研究成果在随后五十多年里一直未引起经济学家们的注意。进入20世纪60年代,期权定价理论的研究开始活跃起来,Case Sprendle,James Boness等人先后发表文章试图改善Bechelier的公式。这些研究在本质上是一致的,即大多数都根据认股权证的思想方法对期权定价,将期权价格等同于期权期望收益的贴现值;但期权期望收益依赖于未来股票价格的概率分布,期望收益的贴现值依赖于贴现率,而实际中未来股票价格的概率分布和贴现率是无法确定的。1969年Samuelson和Merton在其合作完成的文章中认识到了这一点,他们将期权价格看作是股票价格的函数,并且认为贴现率依赖于投资者所持股票和期权的数量,但是他们导出的公式仍然依赖于特定投资者的效用函数,即投资者是风险厌恶、风险中性,还是爱好风险?其程度怎样?这在现实中无法估算。20世纪70年代以前的期权定价公式所具有的共同不足之处,就是不同程度地依赖于股票未来价格的概率分布和投资者的风险偏好,而风险偏好和股票概率分布是无法预测或正确估计的,因而限制了这些公式在实际中的应用。
(二)Black-Scholes的期权定价思想
Black-Scholes模型奠定了现代期权定价理论的基础,具有重要意义。该模型避免了对未来股票价格概率分布和投资风险偏好的依赖。这是因为Black和Scholes认识到,股票看涨期权可以用来回避股票的投资风险。通过一种投资策略,买入一种股票,同时卖出一定份额的该股票看涨期权,可以构成一个无风险的投资组合,即投资组合的收益完全独立于股票价格的变化。在资本市场均衡条件下,根据资本资产定价模型,这种投资组合的收益应等于短期利率。因此,期权的收益可以用标的股票和无风险资产构造的投资组合来复制,在无套利机会存在的情况下,期权价格应等于购买投资组合的成本,即期权价格仅依赖于股票价格的波动量、无风险利率、期权到期时间、敲定价格、股票时价。上述几个变量,除股票价格波动之外都是可以直接观察到的,而对股票价格波动量的估计也比对股票价格未来期望值的估计简单得多。这就是Black和Scholes的期权定价思想。
(三)Black-Scholes微分方程的推导
首先,假定股票和期权市场的“理想条件”是:
1.股票价格运动是一种“布朗运动”,即在连续时间内股票价格遵循随机漫步,方差率(单位时间的方差)与股票价格的平方根成比例。因而在任何有限时间间隔末,可能的股票价格的分布是对数正态分布。股票收益率的方差率不变。
2.股票不付分红或其他收益。
3.期权为欧式期权,到期日才能履行。
4.买卖股票或期权没有交易成本。
5.无风险利率r为常数且对所有到期日都相同。
6.证券交易是连续的。
7.不存在无风险套利机会。
根据第一个假设,股票价格S遵循数学家ITO提出的ITO过程,如公式10-40所示。

其中:
μ——以连续复利计的年预期收益率,可取为常数;
μS——价格瞬时期望漂移率;
δ——股票价格年波动率,可取为常数;
δS——价格的瞬时方差率的平方根;
dz——维纳过程,z为维纳过程的变量,取极限情形,则有dz=εdt;
ε——标准正态分布(即均值为0,标准差为1的正态分布)中取的一个随机值;
t——时间。
公式10-40中,股票价格S可用瞬时期望漂移率μS和瞬时方差率δ2S2的ITO过程来表达。
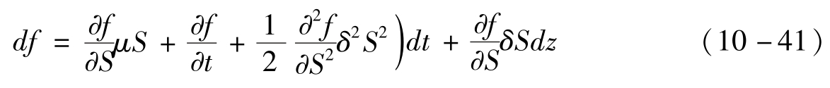
假设f是依赖于S的衍生证券(比如期权)的价格,则变量f一定是S和t的某种函数。从ITO定理得到f遵循的过程如公式10-41所示。

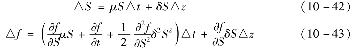
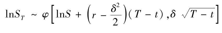
公式10-40和公式10-41的离散形式分别是公式10-42和公式10-43。

其中,f和S遵循的维纳过程相同,即两式中的△z相同,所以选择某种股票和衍生证券的投资组合可以消除维纳过程。设有某投资者卖出1份衍生证券,同时买入数量为的股票,则定义证券组合的价值为∏:

△t时间后,投资组合的价值变化为△∏,如公式10-45所示。

将公式10-43和10-44代入公式10-45后可得公式10-46。

因为这个方差不含△z,经过△t时间后投资组合的价值必定没有风险。当△t无限短时,该投资组合的瞬时收益率与其他短期无风险证券收益率相同。当不存在无风险套利机会时,应该存在如公式10-47的等式。

其中,r为无风险利率。将公式10-44和公式10-46代入公式10-47,并化简可得公式10-48。

公式10-48便是Black-Scholes微分方程。此方程有多个解。其中对于欧式看涨期权的边界条件是:当t=T时,f=max(S-X,0);对于欧式看跌期权的边界条件为:当t=T时,f=max(X-S,0)。其中,X为敲定价格。
公式10-48中的变量包括股票当前价格S、期权合约约定的股票敲定价格X、时间t、股票价格波动标准差δ和无风险利率r,而不包含股票的预期收益μ(μ值依赖于风险偏好)。也就是说,该方程不包含任何受投资者的风险偏好影响的变量,风险偏好对f不产生影响。为了简化分析,Black-Scholes模型假定所有的投资者都是风险中性的,也就是处在风险中性的世界里。在这种假设前提下的定价称为风险中性定价。风险中性定价是基于无套利定价的一种更为简便的定价方法。
3.Black-Scholes风险中性定价计算公式
在风险中性世界里,欧式看涨期权到期日的期望价值为0]。式中,
表示风险中性的期望值,ST为T时刻股票的价格,T为期权的到期时间。
欧式看涨期权的价格C是期望值以无风险利率贴现的结果,如公式10-49所示。

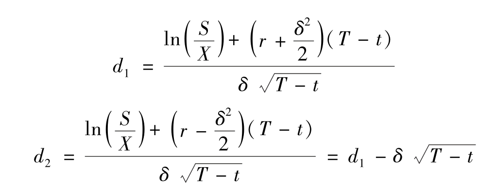
假定股票价格运动是几何“布朗运动”,运用数学上随机变量函数的一些定理,可以得出股票价格的自然对数ln ST服从正态分布,具有下列概率分布:

通过数学上的积分过程对公式10-49的右边求值,可得出公式10-50。

其中,

其中N为标准正态分布的累计概率分布函数(即这一变量小于X的概率)。
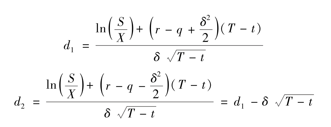
公式10-50就是著名的Black-Scholes公式,在其包含的变量中,股价波动率δ可以通过历史数据进行估算,N(d1)和N(d2)概率分布函数值可以通过查表求得,这样我们就可以算出无风险利率r时的不支付红利股票的欧式看涨期权的价格。欧式看跌期权的价格P可用与欧式看涨期权类似的方式计算出(也可使用看涨期权与看跌期权之间的平价关系来求得),其算式为公式10-51。

Robert C.Merton则注意到,基于一种价格为S,支付连续红利率为q的股票的欧式期权,与基于一种价格为Se-q(T-t),不支付红利的股票的相应欧式期权有相同的价值。因此,Merton将股票现价从S减小到Se-q(T-t),然后代入Black-Scholes定价公式中,便得到了如公式10-52所示的支付红利股票的期权定价公式。

其中,

(四)Black-Scholes公式的性质
对远期合约而言,远期合约多头的价值为远期合约现价减去交割价的贴现值,即f=S-Ke-r(T-t)。式中,f为远期合约多头的价值,S为其标的资产(如股票)的现价,K为远期合约交割价格。
而实际上,对期权而言,当股票价格S变得很大时,看涨期权肯定会被执行,此时,期权就与(交割)价格为X的远期合约非常相似。因为S相当大,d1和d2也变得很大,N(d1)和N(d2)都近似为1.0。这样,Black-Scholes模型就变为如公式10-53所示。

而这就是远期合约价值公式。
公式10-51所表述的Black-Scholes模型,其经济意义就是:欧式看涨期权的价格,等于卖出利率为r的债券Xe-r(T-t)N(d2)份,同时买进价格为S的股票N(d1)份所构成的投资组合的成本。
Black-Scholes期权定价理论的意义在于,它是第一个有实际应用价值的期权定价理论。此后,许多学者对它进行了修正,以使其更为完善;并且,从Black-Scholes的定价思想出发,学者们提出了解决利率期权、期货期权、货币期权以及更为复杂的期权(如新型期权、具有期权特征的衍生证券等)定价的理论与模型。值得一提的是,目前对于美式期权尚无严密逻辑推理下的价格预测方程(也许这样的方程根本就不存在),但是,学者们已经提了一些实用的近似方法,如有限差分方法和二叉树法等。
本章主要包括三个方面的内容:一是资本资产定价模型。从模型的基本假定、资本市场线、证券市场线等内容,引出资本资产定价模型及其实证分析方法。二是套利定价理论。从因素模型和套利组合,引出套利定价模型的基本方法和手段。三是期权定价理论。基于期权概述和期权价格的构成及影响因素,引出期权定价的B-S-M模型。
1.[美]Sheldon M.Ross:《数理金融初步》,冉启康译,机械工业出版社2013年版。
2.张亦春、郑振龙、林海主编:《金融市场学》,高等教育出版社2017年版。
3.李一智主编:《期货与期权教程》,清华大学出版社2017年版。
4.黄贞贞、臧真博主编:《证券投资学》,重庆大学出版社2017年版。
5.周洛华:《金融工程学》,上海财经大学出版社2011年版。
6.Michael J.Brennan,Yihong Xia,“Assessing Asset Pricing Anomalies”,Review of Financial Studies,2001.
7.J.C.Hull,Options,Futures and Other Derivatives,Boston:Prentice Hall,2012.
8.F.Black,M.Scholes,“The pricing of options and corporate liabilities”,Journal of Political Economy,1973.
1.什么是CAPM模型?其应用的前提条件是什么?
2.什么是APT模型?该理论和CAPM模型的区别是什么?
3.资本资产定价模型的主要缺陷是什么?
4.分析影响期权价格的因素。
5.投资者买进可赎回债券与卖出有保护的看涨期权有何相似与不同之处?