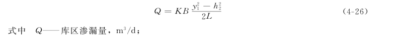
五、库区渗漏量计算
河间地块或分水岭由单薄透水岩层组成,潜水含水层岩性均一,隔水底板水平(图4-16),库区渗漏量按下式计算:

B——水库沿岸渗漏段长度,m;
y1——水库正常蓄水位,m;
h2——邻谷水位或洼地高程,m;
L——河间地块或分水岭平均渗漏途径长度,m。
从坝库区渗漏量公式可以看出,渗漏量与渗透系数、过水断面面积、坝上下游水头差或库水位与邻谷高差成正比。为了减少渗漏量,水利工程技术人员常采用截水槽、防渗墙、帷幕灌浆、防渗铺盖等方法对透水层或透水通道进行处理。目的就是消弱岩土层的渗透性,缩小渗漏面积,延长渗漏途径长度,降低水力坡度,从而使渗漏量减少。