地下水向完整集水井的稳定运动
1863 年法国水力学家裘布依(J.Dupuit)首先应用线性渗透定律,导出了著名的完整井稳定流的涌水量方程式——裘布依公式。裘布依假设抽水井布置在均质等厚、分布宽广、隔水底板水平(若为承压水则顶板也是水平)的含水层中央,抽水前地下水面是静止的水平面,地下水运动符合达西定律,并处于稳定流的条件下,呈层流运动的缓变流。
1.地下水向潜水完整井的稳定运动

图4-12 地下水向潜水完整井的稳定流动
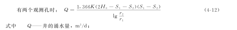
从潜水含水层中抽水时,随着井内水位降低,含水层中的水从井壁流向井内,水井周围的潜水面也随之降低,距抽水井越远,水位下降值越小,到一定远处水位降深等于零。这样潜水面就形成了以抽水井为中心的漏斗状曲面,这个漏斗状曲面称为降落漏斗,如图4-12 所示。在抽水过程中,降落漏斗不断扩大,当井中涌水量和动水位稳定一段时间后,降落漏斗趋于稳定,井内水位也相应在某个高度上稳定下来。此时从井内抽出的水量与流入井中的水量相等,并为定值,属稳定流。从降落漏斗边缘到抽水井中心的距离称为影响半径R。
取隔水底板井径方向为r轴,井轴方向为H轴(图4-12),距井轴r处任一过水断面面积为A(该处过水断面高度为H),水力坡度为i,则
![]()
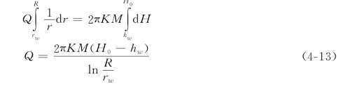
根据达西定律,可写出如下涌水量方程式:
![]()
上式为一阶常微分方程,可用分离变量积分求解。其边界条件为:r=rw时,H=hw;r=R时,H=H0,将此代入式(4-6)后得

式(4-7)即为地下水向潜水完整井稳定运动的裘布依公式。
将自然对数换为常用对数,并用Sw 代表井中水位降深,即Sw=H0-hw,则式(4-7)可写成如下形式:

若涌水量和水位降深已知,根据式(4-8)可导出渗透系数K的计算公式:
![]()
若含水层渗透系数和涌水量已知,根据式(4-8)可导出水位降深计算公式:

当抽水井附近有一或二个观测孔时,改变积分上、下限,可得下列涌水量公式:


K——含水层渗透系数,m/d;
H0——潜水含水层厚度,m;
hw——抽水井动水位(从隔水底板算起),m;
Sw——抽水井水位降深,m;
S1、S2——距抽水井r1、r2 处观测孔1、2 的水位降深,m;
rw——抽水井半径,m;
R——影响半径,m。
2.地下水向承压完整井的稳定运动
根据达西定律,同样可以推导出承压完整井的涌水量公式(图4-13)。距井轴r处任一过水断面面积为A和水力坡度为i,则
(https://www.daowen.com)
图4-13 地下水向承压完整井的稳定流动
![]()
根据达西定律,可写出如下涌水量方程式:
![]()
边界条件为:当r=rw 时,H=hw;r=R时,H=H0,分离变量积分后得:

将自然对数换为常用对数,并用Sw 表示井中水位降深,则涌水量公式为

当抽水井附近有一或二个观测孔时,涌水量公式分别为

式中M——承压含水层厚度,m;
其余符号代表意义同前。
3.关于裘布依公式的几点说明
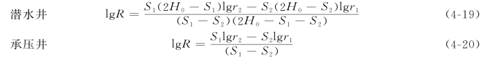
(1)影响半径R 影响半径是稳定流理论的一个重要的水文地质参数,可用经验公式计算其近似值。
潜水含水层可用库萨金公式:
![]()
承压含水层可用吉哈尔特公式:
![]()
式中渗透系数K以m/d为单位,含水层厚度H0 和水位降深Sw 以m为单位。
实际工作中,常用多孔抽水试验资料确定影响半径。如在一个抽水井中抽水,在其周围布置一定数量的观测孔,观测其水位下降值,然后利用裘布依公式计算R。采用两个观测孔的资料时:

(2)水位降深用裘布依公式计算井内水位降深Sw比实测值常偏小,这是因为抽水时地下水向井内运动需要一定水位差,故井内水位要比井壁外水位低,这种现象称为水跃。裘布依公式没有考虑水跃值。为了精确计算井内水位降深或降落曲线,必须考虑水跃问题。阿勃拉莫夫提出计算水跃值的经验公式如下:
![]()
式中Δh——水跃值,即抽水时井管内外的水位差,m;
Q——涌水量,
Sw——井内水位降深,m;
K——渗透系数,m/d;
F——过滤器工作面积,F=πdL,其中d为过滤器直径,L为过滤器有效长度;
a——经验系数,取决于过滤器的结构。网状或砾石过滤器,a=15~25;穿孔、缠丝及金属过滤器,a=6~8。
(3)涌水量从裘布依公式可以看出,涌水量与水位降深成正比,但实际情况并不是水位降深越大,涌水量也越大。只有当水位降深不大或降落漏斗曲线坡度小于15°时,该公式计算结果才符合实际。所以,用公式计算井的最大涌水量时,水位降深Sw宜不大于(1/3~1/2)潜水含水层厚度或承压水井中水柱高度H0。