8.3.1 径流的年内分配
径流的年内分配也叫径流的年内变化或季节分配。径流的季节分配影响到河流对工农业供水和通航时间的长短。天然河流由于受气候因素及与流域调蓄能力有关的下垫面因素的影响,径流量在年内的分配是不均匀的。径流的这种年内变化也是径流补给条件在年内变化的结果。以降雨补给为主的河流,降雨和蒸发的年内变化,直接影响着径流的年内分配;冰雪融水及季节性积雪融水补给的河流,年内气温的变化过程与径流季节分配关系密切;流域内有湖泊、水库调蓄或其他人类活动因素影响的,则使径流的年内变化更为复杂。
1.径流年内分配的分析方法
一般在水文学中,常用方法有以下两种:用月(季或旬)径流量占年径流量的百分比表示和综合反映河川径流年内分配不均的特征值。
在研究径流年内分配时,常采用水文年度。水文年度一般是按照洪、枯水期在一年内的周期变化特点划分的,它的开始时间是枯水期结束(或汛期开始)之日。水文年度的开始日期有两种不同的划分方法:一是以补给河流水源自然转变为起始日期划分,如从专靠地下水源补给转变为以地表水源补给为主的时候;二是根据降水的丰枯,选择降水量极少、地表径流接近停止时刻为开始日期划分。由此可知,不同水文年度的起始日期是不同的,有早有晚,为整理资料的方便,实际划分以某一月的第一日为年度的开始日期,如淮河流域从6月1日开始,东北地区从5月1日开始,南方各地从3月1日或4月1日开始。
当一个地区水文年度确定好后,根据实测径流资料(日平均流量)统计出相应年度内的年径流量。然后确定计算时段(月、季或旬),并根据水文站的径流资料统计出相应时段内的径流量,即可计算出不同时段的径流量占年径流量的百分比。
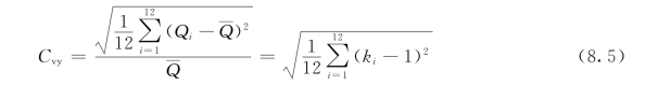
反映径流年内分配不均的特征值较多,主要用径流年内分配不均匀系数Cvy与完全年调节系数。不均匀系数Cvy的计算公式为

式中 Qi——月平均流量,m3/s;
——年平均流量,m3/s;
ki——Qi的模比系数,
。
Cvy是表示径流年内分配不均的一个指标。Cvy越大,表示径流年内分配越不均匀;反之,则径流年内分配越均匀。
由于河川径流年内分配不均,需要修建水库进行调节以满足用水。水库的调节库容为V,坝址断面的年径流量为W,则完全年调节系数Cr可以用下式计算(https://www.daowen.com)

如果修建的水库V足够大,可以对坝址断面的全年径流量W进行调节,使水库均匀下泄水量,也就是说,在一年内,无论是洪水期还是枯水期,水库下泄的流量均是年平均流量(等流量调节),即为完全年调节。因此径流年内分配越不均,进行完全年调节需要的库容V越大,即可用V来反映河川径流年内分配不均匀程度。因为同一断面不同年份的年径流量W不同,需要的调节库容V也就不同,可采用多年平均完全调节系数
表示

式中
——完全年调节库容的多年平均值,万m3或亿m3;
——多年平均年径流量,万m3或亿m3。
2.我国河川径流的季节变化
研究河川径流的季节变化,需要确定统一的季节划分。根据我国气候情况,可以大致划分为:冬季为12—2月,春季为3—5月,夏季为6—8月,秋季为9—11月。
冬季是我国河川径流最枯的季节,称为冬季枯水。因受严寒和冰冻影响,大部分北方河流的冬季径流量低于全年径流量的5%,其中黑龙江省北部和西北地区的沙漠和盆地地区的河流低于全年径流量的2%。但是以地下水补给为主的北方河流,例如,黄土高原北部及太行山区的河流,其冬季径流量能达到全年径流量的10%;另外,新疆的伊犁河,因其水汽来自北冰洋,冬季降水较多,冬季径流能达到年径流量的10%。相对于北方,南方冬季降水较多,但冬季径流量一般仅占全年径流量的6%~8%,只有少数地区大于全年径流量的10%。我国冬季径流量最多的是台湾省,在15%以上,台北甚至在25%以上。
春季是我国河川径流普遍增多的时期,但增长幅度相差悬殊。东北、北疆阿尔泰山区因融雪和解冻,河川径流显著增加,形成春汛,一般可占全年径流量的20%~25%;内蒙古的东北部锡林郭勒,因气温升高,春季融雪径流增加迅速,可占全年径流量的30%~40%,是一年中径流最丰富的季节;江南丘陵地区,开始进入雨季,径流量增加迅速,可占全年径流量的40%;西南地区因受西南季风的影响,降水量较少,春季径流一般只占全年径流量的5%~10%,春旱频繁;华北地区春季径流量不足全年的10%,春旱严重。
夏季是我国河川径流最丰沛的季节,一般称为夏季洪水。由于受东南季风和西南季风的影响,南方季风区夏季的降水量很大,南方河流夏季径流量可占全年径流量的40%~50%;西南地区受西南季风影响,云贵高原夏季径流量占全年径流量的50%~60%,四川盆地可达60%,青藏高原则在60%以上。在北方,因雨量较集中,夏季径流量可占全年径流量的50%以上,其中华北和内蒙古中西部可达60%~70%。我国西北地区,因夏季气温升高,大量高山冰雪融化汇入河道,使夏季径流量高达60%~70%。总之,我国河流夏季普遍进入汛期,是洪水灾害多发季节。
秋季是我国河川径流普遍减少的季节,也称为秋季平水。全国多数地区的秋季河川径流量占全年径流量的20%~30%,其中江南丘陵只有10%~15%,常发生秋旱。海南岛是全国秋季河川径流量丰富地区,可占全年径流量的50%左右,是一年中的丰水季节;其次是秦岭山地及其以南地区,也可达40%左右。
总之,我国绝大部分地区为季风区,雨量主要集中在夏季,径流也如此。而西北内陆河流主要靠冰雪融水补给,夏季气温高,径流集中在夏季,形成我国绝大部分地区夏季径流占优势的基本布局。径流具有年内分配不均、夏秋多、冬春少的特点,与农作物生长与生产生活需水不一致,因此,一方面需要修建大量水库、塘坝,拦蓄部分夏秋径流以缓减冬春用水的紧张;另一方面又必须兴修防洪除涝工程,防止江河泛滥,使洪涝得以迅速排除,以保证工农业稳产高产、工业正常运转。