8.4.1 洪水
1.洪水特征值
当大量径流短时间汇入河网,河流水量迅速增加,水位急剧上涨,而后随着径流汇入量的减少和停止,河道水位、流量又逐渐减少,这一过程就是河道洪水。河道洪水是各类水工建筑物,河道防洪、堤防和各类桥涵设计和管理运行的依据。研究洪水形成及其运动规律,是水文学的重要任务。

图8.1 洪水过程线示意图
通常用洪峰流量、洪水总量和洪水总历时这3个要素来描述洪水特征。图8.1所示为一次洪水过程线,其最大值为洪峰流量,洪水过程线与横坐标所包围的面积即为洪水总量,洪水过程线的底宽即为总历时。洪峰流量为Qm,洪水总量为W,洪水总历时为T。洪水总量W是指在一次洪水过程中通过断面的总水量。

式中 W——洪水总量,m3;
Qi-1、Qi——第i时段初、末流量,m3/s;
Δti——第i时段的时段长,s。
若取等时段,且一般起涨流量和终止流量相对较小,并近似相等,则洪量的计算公式变为

式中 Δt——时段长,s;
Qi——各时段初始时刻流量,m3/s;
其余符号同前。
2.洪水成因
根据洪水的形成原因,洪水主要分为暴雨型洪水和融雪型洪水两种类型。
暴雨型洪水主要发生在热带、亚热带和温带地区的河流。这种类型的洪水,受暴雨量、强度、历时和空间分布的影响,具有多变性。我国洪水主要为暴雨型。暴雨型洪水又可分为:①雷暴雨洪水,也称骤发暴雨洪水。局部地区因强对流作用,挟带水汽的气流急剧上升而产生雷暴雨。由于这种雷暴雨雨强大、历时短、雨区小,常在小流域上形成陡涨陡落、峰高量小的洪水过程,往往造成严重的灾害;②台风暴雨洪水。由于台风能挟带大量降水,常在我国东南沿海登陆,也可深入到湖北、河南东南部。台风暴雨洪水峰高量大,能形成洪水威胁。1975年8月淮河上游发生特大台风暴雨洪水就是一例。与台风暴雨洪水相似的还有大陆上低压涡在移动过程中不断增强,形成暴雨引起洪水,如1963年8月海河流域发生的特大洪水;③锋面暴雨洪水。因受冷暖气团交绥而产生的暴雨所引起的洪水。锋面雨一般历时长,强度较小,降雨总量大,往往造成较严重的洪水灾害。
融雪洪水又可分为两类:①积雪融化洪水,如中国东北部分地区、俄罗斯、北欧、北美部分地区;②融雪与降雨混合,以融雪为主的洪水:这类洪水受积雪场地气候及其他条件的影响,情况比较复杂,其过程与单一融雪洪水大不相同。它可能比纯融雪洪水的洪峰更平缓,历时更长,降雨可能直接加高洪峰,增大洪量。由于融雪范围内热量变化相对较小,暴雨区的暴雨变化大,因此融雪洪水的年际变化和年内变化都较暴雨洪水为小。
3.影响洪水的因素(https://www.daowen.com)
影响洪水的主要因素为天气因素、流域下垫面因素两类。
(1)天气因素。我国河流的大洪水主要是暴雨形成的,而一次暴雨总量、暴雨强度及其时空分布,决定了一个流域的洪水及其特征。决定暴雨特性的天气因素,主要是气流的上升运动强弱及持续性,另外还有水汽输送情况。有利于上述天气因素的天气系统,如气旋波、静止锋、台风等的出现,就易于形成暴雨洪水。
(2)流域下垫面因素。坡度大,植被少,土壤透水性差的流域,易造成陡涨陡落的大洪水。大流域洪水过程线较平缓,而小流域则反之。流域内高大的山脉,对气流有抬升作用,容易形成地形雨。通常迎风坡雨量大,而背风坡雨量小。如河北“63·8”暴雨,中心在太行山东侧,河南“75·8”暴雨,中心在伏牛山余脉东麓,都在山脉的迎风坡。
4.河流洪水波特征值出现次序
稳定流条件下的最大流量、最高水位、最大流速和最大比降等特征值是同时出现的。但洪水波的这些特征值并不出现在同一时刻。现作简要分析。

图8.2 上下断面洪水流量过程线
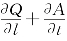
在无支流汇入的河段,上、下两相邻断面的流量过程线如图8.2所示,由图可见涨洪段上游流量大于下游流量,落洪段则是下游流量大于上游流量。由于洪水波的传播及变形,故下游站的洪峰Qm下晚于上游站的洪峰Qm上的出现时间,且Qm上>Qm下。洪峰过后,上游站的流量减少率大,下游站的减少率小,这样使上下断面两过程线的交点k位于两断面的洪峰之后,即交点k的相应时刻tk处,此时两相邻断面流量相等,即流量无沿程变化;即(∂Q/∂l)=0。而由连续方程式
=0可知,当∂Q/∂l=0时,必然有∂A/∂t=B(∂h/∂t)=0,即∂h/∂t=0,这意味着tk时刻水位出现极值,即此刻下断面水位达到最高值。
从图8.2可知,此时下断面洪峰(即最大流量)已先期出现,所以最高水位出现时间稍迟于最大流量。
当最大流量出现时,dQ/dt=0,相当于
![]()
从上述分析得知,出现最大流量时,水位还在上升,这意味着(d A/dt)>0,因此要使式(8.11)等于零,必须有(dv/dt)<0。而这表明,出现最大流量时,流速已在下降阶段,即最大流速出现在最大流量之前。
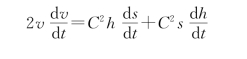
依据谢才公式,
,两边同时平方,有,v2=C2hs,对其两边微分,有

当出现最大流速时,(dv/dt)=0,表明
![]()
而上述分析看出,最大流速出现时水位在上升,即(d h/dt)>0,因而要让上式成立,必须有(ds/dt)<0。于是,可知最大比降出现在最大流速之前。
综上所述,对于单一洪水波,任意断面上洪水波的最大特征值出现次序是:最大比降、最大断面流速、最大流量、最高水位。