9.2.4 推移质(底沙)泥沙运动规律
2026年01月14日
9.2.4 推移质(底沙)泥沙运动规律
推移质常用断面输沙率表示,它是指单位时间内通过河流某断面的推移质重量,以kg/s计。下面主要讲述河流泥沙的启动流速与沙波运动方式。
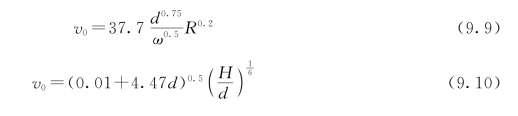
启动流速是使推移质泥沙颗粒由不动到开始滚动的临界流速。在特定水力条件下,低于这一流速时,河床不会冲刷,因此,有时也称作允许流速。启动流速是进行河道整治、渠道设计等的基本要素。启动流速与推移质泥沙的粒径、沉降速度、水深等因素有关。通常应用经验公式估算,如沙玉清公式(9.9)及沙莫夫(Г.И.Щамов)公式(9.10)。

上述二式中 v0——启动流速,m/s;
d——泥沙平均粒径,mm;(https://www.daowen.com)
ω——泥沙颗粒的平均沉降速度,m/s;
R——水力半径,m;
H——水深,m。
沙玉清公式可适用于粗沙及细沙,沙莫夫公式仅适用于粗沙。
河流中泥沙的群体运动,其主要形式像沙海中的波浪,高不足1m的小沙坡称为沙纹,高约3~4m的大沙坡称为沙丘,沙波的波长可达数十至数百米。沙波纵剖面呈三角形,迎水坡比较缓,背水坡则较陡。由于沙波迎水面的流速大,背水面的流速小,并带有横向旋涡,造成迎水面冲刷,背水面淤积,使沙波缓慢向下游移动。沙波的推移过程即为推移质向下游的输沙过程。